Viscosity of titanium slag in separating electric melting of a metallized mixture of perovskite and ilmenite concentrates
- Authors: Vusikhis A.S.1, Tyushnyakov S.N.1, Udoeva L.Y.1, Agafonov S.N.1, Pikulin K.V.1
-
Affiliations:
- Institute of Metallurgy of the Ural Branch of the Russian Academy of Sciences
- Issue: No 4 (2024)
- Pages: 430-441
- Section: Articles
- URL: https://ogarev-online.ru/0235-0106/article/view/267304
- DOI: https://doi.org/10.31857/S0235010624040075
- ID: 267304
Cite item
Full Text
Abstract
To assess the possibility of joint processing of ilmenite (FeTiO3) and perovskite (CaTiO3) concentrates using a duplex process involving solid-phase reduction of iron (metallization) and subsequent separating melting into pig iron and titanium slag, the properties of slag melts were studied. The crystallization beginning point (liquidus temperature) and the corresponding viscosity of titanium slag depend on its chemical composition. The increase in titanium oxides content results in increase of these properties, while the presence of iron and calcium oxides leads to their decrease. During the joint processing of ilmenite (IC) and perovskite (PC) concentrates, the CaO content in the slag can be adjusted by changing their PC/IC ratio, and the FeO fraction is determined by the degree of iron metallization during the preliminary reduction roasting of a concentrate mixture with a carbon reducing agent. To select the optimal PC/IC ratio the temperature dependences of the viscosity of model oxide melts of the TiO2–FeO–CaO–Al2O3–MgO system, similar in composition to the slags formed as a result of melting mixtures of perovskite and ilmenite concentrates within the range of PC/IC ratios equaling to 0.6÷1.4, and the metallization degree from 75 to 95% were determined.
According to the results obtained, within the entire range of studied compositions and temperatures, the viscosity of slag melts does not exceed 0.8 Pa·s. That is to say, such slags will be sufficiently fluid at the tapping point if the melt temperature is higher than liquidus temperature — the crystallization beginning point. Increasing the PC/IC ratios when decreasing the metallization from 95 to 75%, results in a monotonous decrease in liquidus temperature and its corresponding viscosity from 1490 оC and 0.79 Pa·s up to 1270 оC and 0.17 Pa·s, respectively. It is recommended to use a charge containing equal mass fractions of concentrates (PC/IC equal to 1) at the consumption of carbon reducing agent based on metallization of 85% iron. In this case, slags with a relatively low iron oxide content (3.1%) will be fluid (0.38 Pa·s), and have liquidus temperature of 1400 оC which will allow carrying out top and bottom melt at operating temperatures of 1500–1550 оC.
Keywords
Full Text
ВВЕДЕНИЕ
Ильменитовая руда является одним из основных сырьевых источников титанового производства. На ильменит приходится более 90٪ мировых запасов титана [1], из которого менее 5% идет на производство металлического титана и его сплавов, а остальное – на получение пигментного диоксида титана [2]. Для переработки ильменита используют как гидро-, так и пирометаллургические процессы.
Прямое выщелачивание используют преимущественно в технологии богатых ильменитовых руд, обеспечивая производство достаточно высококачественного пигмента TiO2 при низких энергетических затратах. В основе этих методов лежит разложение ильменита минеральными кислотами [3], к примеру серной [4, 5] и соляной [6], либо щелочами [7] с извлечением до 95% титана в виде диоксида c возможностью его переработки на пигмент или титановую губку. Недостатками процессов являются низкая производительность, большой расход кислот и, как следствие, высокие материальные затраты, низкая экологичность процессов, большие потери железа с растворами, которые требуют утилизации либо захоронения, а также высокие требования к чистоте исходного сырья. Для ускорения выщелачивания используют способы Benelite, Ishihara, Murso, Austpac, Becher, предусматривающие предварительный окислительный или восстановительный обжиг ильменита [8].
Пирометаллургический процесс – распространенная схема извлечения титана из ильменитовых концентратов [9]. По схеме, реализованной в ПАО «Корпорация ВСМПО-АВИСМА» [10], ильменит в смеси с углем плавят в высокотемпературных электрических печах закрытого типа, используемых обычно при производстве ферросплавов. При высоких температурах железо восстанавливают до металла с образованием чугуна, а TiO2 переходит в шлак. Получаемый шлак используют для производства титана в виде металла и сплавов, диоксида, карбида и других соединений. Извлечение титана в шлак составляет около 95٪. Достоинствами данного способа являются возможность получения титанистого шлака из бедного сырья, а также извлечение железа в товарный продукт (чугун). Основной недостаток способа – большое энергопотребление. Дуплекс-процесс, реализованный в г. Сорель-Трейси (Канада), предусматривает предварительное твердофазное восстановление железа во вращающейся печи без восстановления титана и разделение металлической и шлаковой фазы в электропечи [11]. Металлизованный концентрат загружается в электропечь в горячем виде, что позволяет снизить энергозатраты. Для повышения эффективности карботермического процесса предложено предварительное окисление ильменитовых концентратов [12–14], а также использование активированного восстановителя – углерода [15].
Физико-химические свойства высокотитанистых шлаков (TiO2 более 40٪) оказывают существенное влияние на режим электроплавки ильменитовых концентратов [16–18]. Полнота разделения образующихся при плавке чугуна и шлака определяется вязкостью, а температура процесса – началом кристаллизации последнего.
Известно [19–21], что в таких шлаках титан находится в четырехвалентном состоянии и существует преимущественно в форме аниона (TiO6)8–, который, являясь единицей вязкого течения, обусловливает их низкую вязкость (менее 0.5–0.7 Па·с). Эти шлаки тугоплавки и при охлаждении расплава имеют короткий температурный интервал затвердевания. Увеличение содержания TiO2 повышает температуру начала кристаллизации шлака. Наличие оксидов титана с низкой валентностью (Ti2O3, Ti3O4, Ti4O5 и др.) влияет аналогично и в большей степени. Присутствие оксидов железа и кальция, наоборот, снижает как температуру ликвидуса, так и вязкость шлаков. Следовательно, при проведении плавки без флюсов для реализации процесса карботермического восстановления ильменита необходима температура выше 1600 оC, а добавлением оксида кальция рабочую температуру можно снизить до 1450–1550 оC.
Регулировать содержание оксидов титана и железа в титанистых шлаках можно изменением температуры процесса и расходом восстановителя – углерода. Источником оксида кальция может быть перовскитовый концентрат, основой которого является минерал перовскит (CaTiO3) [22].
Цель настоящей работы заключалась в оценке влияния соотношения ПК/ИК в исходном шихтовом материале и степени металлизации продуктов восстановления на вязкость и температуру начала кристаллизации титанистого шлака, образующегося в результате дуплекс-процесса – твердофазного восстановления и разделительной электроплавки.
МАТЕРИАЛЫ И МЕТОДЫ ИССЛЕДОВАНИЯ
Вязкость модельных оксидных расплавов системы TiO2–FeO–CaO–Al2O3–MgO, близких по составу шлакам, образующимся при плавке смеси перовскитового и ильменитового концентратов в интервале соотношений 0.6÷1.4 и твердофазной металлизации железа от 75 до 95٪, измеряли с помощью вибрационного вискозиметра, работающего в режиме резонансных колебаний [23, 24] по методике, описанной в работах [25, 26], с фиксацией температуры расплава вольфрам-рениевой термопарой при охлаждении со скоростью 5÷7 град/мин и последующей компьютерной обработкой полученных данных.
Модельные шлаки для исследования готовили из чистых оксидов, смеси брикетировали в таблетки, которые помещали в молибденовый тигель, нагревали в электропечи сопротивления до 1660 оC и измеряли вязкость.
Для получения искомых закономерностей измерения проводили по ортогональному плану двухфакторного эксперимента на трех уровнях 23 [27]. В качестве первого фактора для расчета химического состава модельных шлаков принято массовое соотношение концентратов (ПК/ИК) в исходной смеси, второй фактор – степень восстановления из нее железа, то есть степень металлизации (φмет). План проведения эксперимента приведен в табл. 1.
Таблица 1. План проведения эксперимента
Фактор | Номер опыта | ||||||||
1 | 2 | 3 | 4 | 5 | 6 | 7 | 8 | 9 | |
ПК/ИК, ед. | 0.6 | 1.0 | 1.4 | 0.6 | 1.0 | 1.4 | 0.6 | 1.0 | 1.4 |
φмет, % | 95 | 95 | 95 | 85 | 85 | 85 | 75 | 75 | 75 |
Соотношение компонентов в модельных шлаках рассчитывали следующим образом. Используя приведенные к 100% по содержанию FeO, TiO2, SiO2, Al2O3, CaO составы реальных проб ильменитового и перовскитового концентратов (табл.2), исследованных в работе [28], находили химический состав смесей концентратов при заданном соотношении ПК/ИК в интервале изменений 0.6÷1.4. Далее, в зависимости от степени восстановления железа φмет, изменяющегося от 75 до 95%, рассчитывали долю каждого компонента в шлаках, образующихся в процессе карботермического восстановления смесей концентратов (табл. 3).
Таблица 2. Химический состав ильменитового и перовскитового концентратов
Материал | Содержание основных компонентов, мас. ٪ | ||||||||
TiO2 | Feобщ. | Al2O3 | CaO | MgO | Cr2O3 | CeO2 | SiO2 | Nb2O5 | |
Ильменитовый концентрат | 69.11 | 18.90 | 2.89 | 0.18 | 0.36 | 0.88 | – | 1.92 | – |
Перовскитовый концентрат | 34.66 | 7.23 | 1.34 | 23.49 | 2.77 | – | 0.60 | 11.23 | 1.16 |
Таблица 3. Приведенные составы ИК, ПК и расчетные составы модельных шлаков
Объект | Содержание, мас. ٪ | ||||
FeO | TiO2 | SiO2 | Al2O3 | CaO | |
ПК | 24.63 | 69.97 | 1.92 | 2.93 | 0.18 |
ИК | 21.87 | 36.97 | 11.73 | 1.43 | 25.05 |
Шлак №1 | 1.16 | 70.51 | 7.61 | 5.89 | 13.03 |
Шлак №2 | 1.04 | 65.21 | 9.19 | 5.40 | 16.95 |
Шлак №3 | 0.97 | 61.79 | 10.21 | 5.08 | 19.48 |
Шлак №4 | 3.41 | 68.91 | 7.44 | 5.75 | 12.73 |
Шлак №5 | 3.07 | 63.87 | 9.00 | 5.29 | 16.60 |
Шлак №6 | 2.85 | 60.61 | 10.01 | 4.99 | 19.11 |
Шлак №7 | 5.55 | 67.38 | 7.27 | 5.63 | 12.45 |
Шлак №8 | 5.01 | 62.59 | 8.82 | 5.18 | 16.27 |
Шлак №9 | 4.66 | 59.48 | 9.83 | 4.89 | 18.75 |
РЕЗУЛЬТАТЫ ИССЛЕДОВАНИЙ И ИХ ОБСУЖДЕНИЕ
Проведенные исследования свойств расплавов модельных шлаков в заданных интервалах соотношения ПК/ИК (0.6÷1.4) и степени металлизации концентратов (75–95%) показали, что на графических зависимостях вязкости от температуры (рис. 1) выделяются два характерных участка: в высокотемпературной области снижение температуры сопровождается довольно интенсивным увеличением вязкости, а при дальнейшем охлаждении расплава, вплоть до температуры начала кристаллизации, ее влияние становится не столь значительным.
Рис. 1. Температурные зависимости изменения вязкости шлаков различного состава в соответствии с планом эксперимента (табл. 1): а – опыты 1–3; б – опыты 4–6; в – опыты 7–9.
Обработка результатов экспериментов (табл. 4) с помощью программы STATISTICA позволила определить аналитический вид закономерности изменения температуры ликвидуса модельных титанистых шлаков tл (оC) и соответствующей ей вязкости шлака ηл (Па·с) в зависимости от соотношения ПК/ИК и степени металлизации смеси концентратов, а также рассчитать уравнения регрессии, которые описывают поведение функций отклика – вязкости и температуры ликвидуса, в зависимости от основных факторов.
Таблица 4. Результаты эксперимента
Свойство шлака | Номер опыта | ||||||||
1 | 2 | 3 | 4 | 5 | 6 | 7 | 8 | 9 | |
tл, оC | 1490 | 1430 | 1400 | 1510 | 1400 | 1310 | 1480 | 1370 | 1270 |
ηл, Па·с | 0.79 | 0.52 | 0.46 | 0.50 | 0.38 | 0.35 | 0.52 | 0.42 | 0.17 |
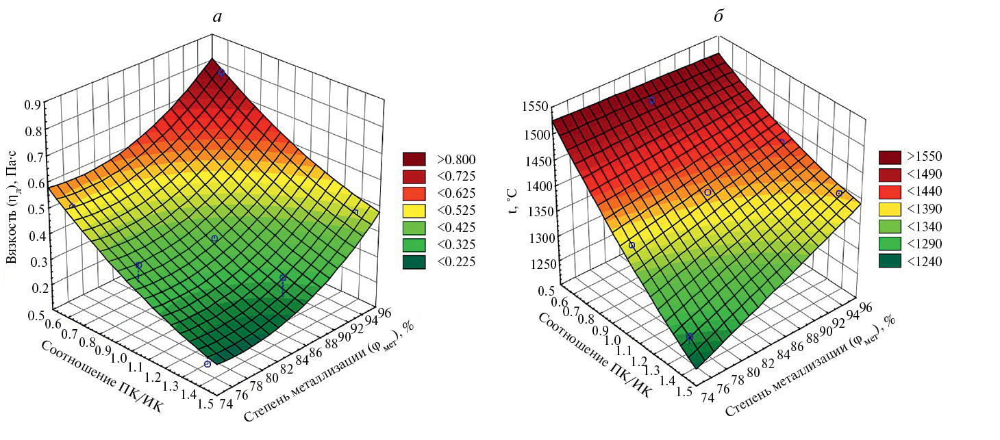
На рис. 2 представлен вид функций отклика – вязкости шлака (рис. 2а) и температуры ликвидуса (рис. 2б), которой она соответствует, в зависимости от соотношения ПК/ИК и степени металлизации смеси концентратов φмет.
Рис. 2. Вид функций отклика – вязкости шлака а и температуры ликвидуса, которой она соответствует б, в зависимости от соотношения ПК/ИК и степени металлизации смеси концентратов.
На рис. 3 представлены изолинии вязкости шлака (рис. 3а) и температуры ликвидуса, которой она соответствует (рис. 3б), в зависимости от соотношения ПК/ИК и степени металлизации смеси концентратов.
Рис. 3. Изолинии вязкости шлака а и температуры ликвидуса, которой она соответствует б, в зависимости от соотношения ПК/ИК и степени металлизации смеси концентратов.
Анализ полученных двухфакторных закономерностей (рис. 2 и 3) показал, что максимальная температура ликвидуса (1490 оC) и соответствующая ей вязкость (0.79 Па·с) шлака могут быть получены в результате разделительной плавки восстановленной до 95٪ смеси концентратов с соотношением ПК/ИК, равным 0.6. В состав этого шлака переходит максимальное количество оксида титана (70.5%) и минимальное – оксидов железа (1.2%) и кальция (13.0%). С увеличением соотношения ПК/ИК до 1.4 ед. и снижением степени металлизации смеси концентратов до 75٪ температура ликвидуса и соответствующая ей вязкость стремятся к минимуму (tл = 1270 оC, ηл = 0.17 Па·с), а полученный при разделительной плавке шлак становится беднее по титану при повышении содержания оксидов железа (4.7%) и кальция (18.0%).
Уравнения регрессии, которые описывают поведение функций отклика, имеют следующий вид:
ηл (Па·с) = 5.3437–0.8003x – 0.1141y + 0.1741x2 + 0.0012xy + 0.0007y2 (1)
tл (оC) = 2025–970.8333x – 4.1667y + 62.5x2 + 7.5xy – 3.4983·10–13y2; (2)
где х – соотношение ПК/ИК, ед., а y – степень металлизации, мас. ٪.
Для проверки адекватности расчетной модели, описанной уравнением регрессии, выполнено сопоставление экспериментальных и расчетных значений вязкости и температуры ликвидуса. Сравнение методом корреляционного анализа результатов прямых измерений и прогнозных расчетов, представленных на рис. 4, показало, что практически все экспериментальные данные располагаются в доверительном интервале, ограниченном эллипсом надежности критерия.
Рис. 4. Диаграмма корреляции экспериментальных (точки) и расчетных ( линии) значений свойств исследованных шлаков: а – вязкости ηл, Па·с; б – температуры ликвидуса tл,.оС.
Проведенные исследования по оценке возможности использования перовскитового концентрата как источника оксида кальция для получения высокотитанистого шлака, пригодного для производства пигментного диоксида титана [18], дали положительный результат. Все рассмотренные составы шлаков в расплавленном состоянии обладают относительно низкой вязкостью (менее 0.8 Па·с). На выпуске разделительной плавки такие шлаки будут в достаточной степени жидкотекучими, но из-за короткого интервала затвердевания их состав следует подбирать таким образом, чтобы температура расплава была достаточной для того, чтобы не происходило кристаллизации шлака. При этом температура шлака должна быть ниже температуры металлического расплава.
ЗАКЛЮЧЕНИЕ
Таким образом, при совместной переработке ильменитовых и перовскитовых концентратов на высокотитанистые шлаки можно ориентироваться на следующие рекомендации. На первой стадии смесь концентратов совместно с твердым углеродсодержащим реагентом следует обжигать при температуре и расходом восстановителя, обеспечивающим максимальное извлечение железа в металл при минимальном восстановлении титана до низших оксидов. Температура плавления металла (чугуна) будет зависеть от содержания в нем углерода, то есть от количества восстановителя в исходной шихте. Соотношением ПК/ИК в смеси концентратов можно регулировать состав шлака и получать требуемую температуру начала его кристаллизации.
Шлаки, полученные в результате плавки смеси концентратов с соотношением ПК/ИК, равным 1, предварительно металлизованной на 85%, при относительно небольшом содержании оксида железа (3.1%) будут жидкотекучими (0.38 Па·с), с температурой начала кристаллизации 1400 оC, что позволит проводить вторую стадию дуплекс-процесса – разделительную плавку, при температуре 1500–1550 оC.
ФИНАНСИРОВАНИЕ
Работа выполнена по государственному заданию ИМЕТ УрО РАН (№ госрегистрации темы 122020100404-2).
About the authors
A. S. Vusikhis
Institute of Metallurgy of the Ural Branch of the Russian Academy of Sciences
Author for correspondence.
Email: vas58@mail.ru
Russian Federation, Yekaterinburg
S. N. Tyushnyakov
Institute of Metallurgy of the Ural Branch of the Russian Academy of Sciences
Email: vas58@mail.ru
Russian Federation, Yekaterinburg
L. Y. Udoeva
Institute of Metallurgy of the Ural Branch of the Russian Academy of Sciences
Email: lyuud@yandex.ru
Russian Federation, Yekaterinburg
S. N. Agafonov
Institute of Metallurgy of the Ural Branch of the Russian Academy of Sciences
Email: vas58@mail.ru
Russian Federation, Yekaterinburg
K. V. Pikulin
Institute of Metallurgy of the Ural Branch of the Russian Academy of Sciences
Email: vas58@mail.ru
Russian Federation, Yekaterinburg
References
- Perks C., Mudd G. A detailed assessment of global Zr and Ti production // Miner Econ. 2021. 34. P. 345–370.
- Zhang W., Zhu Z., Cheng C. Y. A literature review of titanium metallurgical processes // Hydrometallurgy. 2011. 108. P. 177–188.
- Parfenov O.G., Pashkov G.A. Problemy sovremennoj metallurgii titana [Problems of modern titanium metallurgy]. Novosibirsk: Siberian Branch of the RAS Publ. 2008. [In Russian].
- Welham N. J., Llewellyn D. J. Mechanical enhancement of the dissolution of ilmenite // Minerals Engineering. 1998. 11. №9. P. 827–841
- Jia L., Liang B., Lü L., Yuan S., Zheng L., Wang X., Li С. Beneficiation of titania by sulfuric acid pressure leaching of Panzhihua ilmenite // Hydrometallurgy. 2014. 150. P. 92–98.
- Ogasawara T., Veloso de Araujo R.V. Hydrochloric acid leaching of a pre-reduced Brazilian ilmenite concentrate in an autoclave // Hydrometallurgy. 2000. 56. P. 203–216.
- Nayl A. A, Awwad N. S., Aly H. F. Kinetics of acid leaching of ilmenite decomposed by KOH: Part 2. Leaching by H2SO4 and C2H2O4 // Journal of hazardous materials. 2009. 168. № 2–3. P. 793–799.
- Phung T.T., Nguyen N.P. (2021). Becher Method Application for Ilmenite Concentrates of Vietnam. In: Bui, XN., Lee, C., Drebenstedt, C. (eds) / Proceedings of the International Conference on Innovations for Sustainable and Responsible Mining. Lecture Notes in Civil Engineering. 109. Springer, Cham.
- Leont’ev L.I., Vatolin N.A., Shavrin S.L., Shumakov N.S. Pirometallurgicheskaya pererabotka kompleksnyh rud [Pyrometallurgical processing of complex ores]. Moscow: Metallurgy Publ. 1997. [In Russian]
- Zanaveskin K.L., Cherezova L.A., Burmakina O.V. Povysheniye effektivnosti kompleksnoy pererabotki il’menitovykh kontsentratov [Increasing the efficiency of complex processing of ilmenite concentrates] / Problems of geology and subsoil development. Proceedings of the XXI Int. Symposium named after Academician M.A. Usov. Tomsk: National Research Tomsk Polytech. Univ. Publ. 2017. P. 388–389. [In Russian].
- Starikov A. I., Vedeshkin M. V., Monetov G. V. Mirovoy i otechestvennyy opyt pererabotki titansoderzhashchego zhelezorudnogo syr’ya. Problemy kompleksnoy pererabotki titanomagnetitov Yuzhnogo Urala [World and domestic experience in processing titanium-containing iron ore raw materials] / Problems of complex processing of titanomagnetites of the Southern Urals. Magnitogorsk: Dom pechati Publ, 2001. P. 35–47. [In Russian].
- Lv W., Lv X., Xiang J., Wang J., Lv X., Bai C., Song B. Effect of pre-oxidation on the carbothermic reduction of ilmenite concentrate powder // International Journal of Mineral Processing. 2017. 169. P. 176–184.
- Mehdilo A., Irannajad M. Comparison of microwave irradiation and oxidation roasting as pretreatment methods for modification of ilmenite physicochemical properties //Journal of Industrial and Engineering Chemistry. 2016. 33. P. 59–72.
- Gou H.P., Zhang G.H., Chou K.C. Influence of pre-oxidation on carbothermic reduction process of ilmenite concentrate //ISIJ International. 2015. 55. № 5. P. 928–933.
- Gou H.-P., Zhang G.-H., Hu X.-J., Chou K.-Ch. Kinetic study on carbothermic reduction of ilmenite with activated carbon //Transactions of Nonferrous Metals Society of China. 2017. 27. № 8. P. 1856–1861.
- Reznichenko V.A. Elektrotermiya titanovyh rud [Electrothermy of titanium ores.]. Moscow: Nauka Publ. 1969. [In Russian].
- Vasyutinskij N.A. Titanovye shlaki [Titanium slags]. Moscow: Metallurgiya Publ. 1972. [In Russian].
- Reznichenko V.A., Ustinov V.S., Karyazin I.A. and etc. Elektrometallurgiya i himiya titana [Electrometallurgy and chemistry of titanium]. Moscow: Nauka Publ. 1982. [In Russian].
- Slag atlas. 2nd Edition. Düsseldorf: Verlag Stahlissen GmbH. 1995.
- Asanov A.V., Anonkin I.V., Mal’kov N.V. and etc. Vliyaniye khimicheskogo sostava i temperatury na vyazkost’ vysokotitanistykh shlakov [The influence of chemical composition and temperature on the viscosity of high-titanium slags] // Bulletin of South Ural State University. 2008. № 9. P. 7–9. [In Russian].
- Zhang S., Wang Z., Zhanga J., Guo P., Jiang D., Si R. Effect of TiO2 and FeO on viscosity and structure of HIsmelt titanium-containing slag Shushi // Ceramics International. 2024. 50. № 1. Part A. P. 791–798.
- Nikolaev A. I., Gerasimova L.G., Petrov V.B., Majorov V.G. Perovskitovyy kontsentrat — perspektivnoye netraditsionnoye syr’ye dlya proizvodstva titanovoy i redkometall’noy produktsii [Perovskite concentrate is a promising non-traditional raw material for the production of titanium and rare metal products] // Kompleksnoe ispol’zovanie mineral’nogo syr’ya (KIMS) [Complex Use of Mineral Resources (CUMR)]. 2015. № 2. P. 26–34. [In Russian].
- Shtengel’mejer S.V., Prusov V.A., Bochegov V.A. Usovershenstvovaniye metodiki izmereniya vyazkosti vibratsionnym viskozimetrom [Improvement of viscosity measurement method with a vibration viscometer] // Zavodskaya laboratoriya [Industrial Laboratory]. 1985. 51. № 9. P. 56–57. [In Russian].
- Arsent’ev PP., Yakovlev V.V., Krasheninnikov M.G. Fiziko-himicheskie metody issledovaniya metallurgicheskih processov [Physico-chemical methods for studying of metallurgical processes]. Moscow: Metallurgiya Publ. 1988. [In Russian].
- Selivanov E.N., Gulyaeva R.I., Istomin S.A., Belyaev V., Tyushnyakov S., Bykov A. Viscosity and thermal properties of slag in the process of autogenous smelting of copper–zinc concentrates // Mineral Processing and Extractive Metallurgy. 2015. 124. № 2. P. 88–95.
- Vusikhis A.S., Selivanov E.N., Dmitriev A.N., Chentsov V.P., Ryabov V.V. Structure sensitive properties of system B2O3– CaO melts // Defect and Diffusion Forum. 2020. 400. P. 186–192.
- Kuprienko N.V., Ponomareva O.A., Tikhonov D.V. Statistika. Metody analiza raspredeleniy. Vyborochnoye nablyudeniye. [Statistics. Methods for analyzing distributions. Selective observation]. 3rd ed.: textbook. St.Petersburg: Polytechnic. Univ. Publ. 2009. [In Russian].
- Fedorov S.A., Udoeva L.Yu., Pikulin K.V., Vusikhis A.S., Cherepanova L.A. Sovmestnaya pererabotka perovskitovogo i il’menitovogo kontsentratov. Soobshcheniye 1. Khimiko-mineralogicheskaya (veshchestvennaya) kharakteristika perovskitovogo i il’menitovogo kontsentratov [Joint processing of perovskite and ilmenite concentrates. Message 1. Chemical-mineralogical (material) characteristics of perovskite and ilmenite concentrates] // Izvestiya vuzov. Chernaya metallurgiya [Izvestiya. Ferrous metallurgy]. 2024. 67. № 1. С. 27–36. [In Russian].
Supplementary files






