Возможности нейтронно-активационного анализа для исследования коррозионного поведения металлических материалов в расплавах солей
- Авторы: Хвостов С.С.1, Голосов О.А.1, Никитина Е.В.2, Карфидов Э.А.2, Глушкова Н.В.1, Зайков Ю.П.2
-
Учреждения:
- АО “Институт реакторных материалов”
- Институт высокотемпературной электрохимии УрО РАН
- Выпуск: № 6 (2023)
- Страницы: 644-651
- Раздел: Статьи
- URL: https://ogarev-online.ru/0235-0106/article/view/162347
- DOI: https://doi.org/10.31857/S0235010623060038
- EDN: https://elibrary.ru/DLIUGV
- ID: 162347
Цитировать
Полный текст
Аннотация
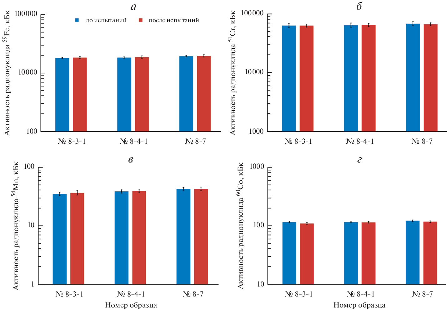
Для реакторной установки БРЕСТ-ОД-300 [1, 2] разрабатывается технология регенерации смешанного нитридного уран-плутониевого отработавшего ядерного топлива (СНУП ОЯТ) [3–9]. Для отделения СНУП ОЯТ от оболочек ТВЭЛов, изготовленных из материала с высокой радиационной стойкостью – ферритно-мартенситной стали ЭП-823 [10–16], предлагается использование пирометаллургических способов “мягкого хлорирования” [17]. При растворении легирующих и примесных элементов стали ЭП-823 в расплавленных солях эвтектиктического состава на основе хлоридов лития и калия будет происходить загрязнение расплава. По этой же причине будет происходить образование летучих соединений с их дальнейшим массопереносом из горячих в холодные участки технологического оборудования. При исследовании коррозионного поведения металлов и сплавов в жидких средах часто возникает задача определения в растворе малых количеств продуктов растворения. Данная задача возникает, например, при исследовании скорости растворения микропримесей. Чувствительность обычных, традиционных методов, используемых при таких коррозионных испытаниях, как определение потерь массы или колориметрическое определение продуктов коррозии в растворе, часто недостаточна для проведения соответствующих измерений. В данных случаях наиболее эффективным оказывается применение радиохимического метода нейтронно-активационного анализа, основанного на качественном и количественном определении химических элементов. Данный метод основан на измерении характеристик излучения радионуклидов, образующихся при облучении материалов нейтронами. В настоящей работе представлены результаты исследования коррозионного поведения и массопереноса продуктов коррозии, предварительно облученной стали ЭП-823 в расплавах солей 2KCl–3LiCl и 2KCl–3LiCl–PbCl2 при температурах 500 и 650°C в течение 24 ч. Показано, что метод нейтронно-активационного анализа может быть применен для исследования коррозионного поведения стали в расплавах солей различного состава.
Ключевые слова
Об авторах
С. С. Хвостов
АО “Институт реакторных материалов”
Автор, ответственный за переписку.
Email: khvostov_ss@irmatom.ru
Россия, Заречный
О. А. Голосов
АО “Институт реакторных материалов”
Email: khvostov_ss@irmatom.ru
Россия, Заречный
Е. В. Никитина
Институт высокотемпературной электрохимии УрО РАН
Email: khvostov_ss@irmatom.ru
Россия, Екатеринбург
Э. А. Карфидов
Институт высокотемпературной электрохимии УрО РАН
Email: khvostov_ss@irmatom.ru
Россия, Екатеринбург
Н. В. Глушкова
АО “Институт реакторных материалов”
Email: khvostov_ss@irmatom.ru
Россия, Заречный
Ю. П. Зайков
Институт высокотемпературной электрохимии УрО РАН
Email: khvostov_ss@irmatom.ru
Россия, Екатеринбург
Список литературы
- Orlov V.V., Filin A.I., Lopatkin A.V. The closed on-site fuel cycle of the BREST reactors // Progressin Nuclear Energy. 2001. 47. № 1–4. P. 171–175.
- Dragunov Y.G., Lemekhov V.V., Smirnov V.S. // Atomic Energy. 2012. 113. № 1. P. 70–77. https://doi.org/10.1007/s10512-012-9597-3
- Salyulev A., Potapov A., Khokhlov V., Shishkin V. The electrical conductivity of model melts based onLiCl-KCl, used for the processing of spent nuclear fuel // Electrochim. Acta. 2017. 257. P. 510–515.
- Zhitkov A., Potapov A., Karimov K., Shishkin V., Dedyukhin A., Zaykov Y. // Nuclear Engineering and Technology. 2022. 52. P. 123–134. https://doi.org/10.1016/j.net.2019.07.006
- Salyulev A., Potapov A. // J. Chem. Eng. Data. 2021. 66. № 12. P. 4563–4571. https://doi.org/10.1021/acs.jced.1c00591
- Salyulev A.B., Shishkin A.V., Shishkin V.Yu., Zaikov Yu.P. // Atomic Energy. 2019. 126. P. 226–229. https://doi.org/10.1007/s10512-019-00541-1
- Zaikov Yu.P., Shishkin V.Yu., Potapov A.M., Dedyukhin A.E., Kovrov V.A., Kholkina A.S., Volkovich V.A., Polovov I.B. // J. Phys.: Conf. Series. 2020. 1475. P. 012027. https://doi.org/10.1088/1742-6596/1475/1/012027
- Adamov E.O., Mochalov Yu.S., Rachkov V.I., Khomyakov Yu.S., Shadrin A.Yu., Kascheev V.A., Khaperskaya A.V. // Atomic Energy. 2021. 130. № 1. P. 29–35.
- https://doi.org/10.1007/s10512-021-00769-w
- Zherebtsov A.A., Mochalov Yu.S., Shadrin A.Yu., Zaikov Yu.P., Gorbachev M.K., Sokolov K.A., Kisly V.A., Goncharov D.A. // J. Phys.: Conf. Series. 2020. 1475. P. 012007. https://doi.org/10.1088/1742-6596/1475/1/012007
- Klueh R.L., Kai J.J., Alexander D.J. Microstructure-mechanical properties correlation of irradiated conventional and reduced-activation martensitic steels // J. Nucl. Mater. 1995. 225. P. 175–186.
- Kai J.J., Klueh R.L. Microstructural analysis of neutron-irradiated martensitic steels // J. Nucl. Mater. 1996. 230. P. 116–123.
- Schaeublin R., Gelles D., Victoria M. Microstructure of irradiated ferritic/martensitic steels in relation to mechanical properties // J. Nucl. Mater. 2002. 307–311. P. 197–202.
- Mathon M.H. Carlan Y., Geoffroy G., Averty X., Alamo A., Novion C.H. A SANS investigation of the irradiation-enhanced α–α׳ phases separation in 7–12 Cr martensitic steels // J. of Nucl. Mater. 2003. 312. P. 236–248.
- Porollo S.I., Dvoriashin A.M., Konobeev Yu.V., Garner F.A. Microstructure and mechanical properties of ferritic/martensitic steel EP-823 after neutron irradiation to high doses in BOR-60 // J. of Nucl. Mater. 2004. 329–333. P. 314–318.
- Dvoriashin A.M. Porollo S.I., Konobeev Yu.V., Garner F.A. Influence of high dose neutron irradiation on microstructure of EP-450 ferritic–martensitic steel irradiated in three Russian fast reactors // J. Nucl. Mater. 2004. 329–333. P. 319–323.
- Gorynin I.V., Karzov G.P., Markov V.G. Structural materials for nuclear reactors with lead-based liquid metal coolants. Radiation materials science and structural strength of reactor materials. St. Petersburg: Publishing House of TsNIIKM “Prometheus”, 2002.
- Шадрин А.Ю., Волк В.И., Полуэктов П.П., Кормилицын М.В. Обращение с ОЯТ быстрых реакторов, использующих плотное топливо // Безопасность ядерных технологий и окружающей среды. 2012. № 1. С. 78–81.
- Голосов О.А., Николкин В.Н., Бахтина Е.А. Модель коррозии сталей в свинце // Инновационные проекты и технологии ядерной энергетики: сб. докладов IV международной научно-технической конференции. 2016. 1. С. 350–362.
- Гума В.И., Демидов А.М., Иванов В.А., Миллер В.В. Нейтронно-активационный анализ. М.: Энергоатомиздат, 1984.
- Бланков Е.Б., Бланкова Т.Н., Русяев В.Г., Якубсон К.И. Нейтронно-активационный анализ в геологии и геофизике. М.: Наука, 1972.
Дополнительные файлы




