STRUCTURE OF MOLTEN MX–NdX3 (M – Na, K, Rb, Cs; X – F, Cl) SALTS: AN ab initio STUDY
- Authors: Stulov Y.V.1, Antipov S.V.1, Kuznetsov S.A.1
-
Affiliations:
- Tananaev Institute of Chemistry – Subdivision of the Federal Research Centre “Kola Science Centre of the Russian Academy of Sciences”
- Issue: No 6 (2023)
- Pages: 590-601
- Section: Articles
- URL: https://ogarev-online.ru/0235-0106/article/view/162323
- DOI: https://doi.org/10.31857/S0235010623060099
- EDN: https://elibrary.ru/YZPSXF
- ID: 162323
Cite item
Full Text
Abstract
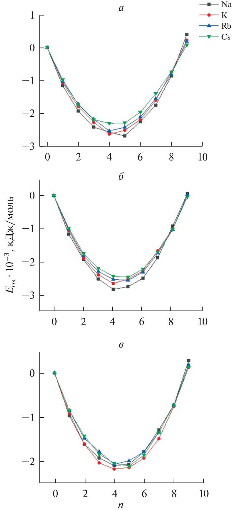
The paper presents an ab initio study of neodymium containing clusters modeling the structure of corresponding molten salts. The relevance of such study is dictated by development of new methodologies and technologies for processing electronic and magnetic wastes, which are a valuable source of rare earth metals. In turn, quantum chemical calculations provide a powerful tool for investigation of structural features of model systems mimicking high temperature molten salts. In the present study, the simulations are performed within the Hartree–Fock and density functional theory approaches using the Firefly 8.20 software package. We propose a methodology for calculation of interaction energies in ternary systems including the neodymium complex, the outer-sphere cation shell, and the rest of the cluster. The interaction energies between the neodymium complex and other parts of a system are calculated. The dependence of interaction energies on the number of outer-sphere cations is investigated and the most stable “neodymium complex + outer-sphere shell” structures are determined. The calculated data are compared to direct spectroscopic investigations available in literature. The obtained interatomic Nd–X (X – F, Cl) distances coincide with experimentally deduced values. The computed Raman spectra for the 18MCl + M3NdCl6 (M – Na, K, Rb, Cs) model systems demonstrate a good agreement between calculated and experimentally observed positions of the most intense peak. Therefore, the chosen systems provide a reliable minimalistic model for quantum chemical investigations of molten salts structure.
About the authors
Yu. V. Stulov
Tananaev Institute of Chemistry – Subdivision of the Federal Research Centre “Kola Science Centreof the Russian Academy of Sciences”
Author for correspondence.
Email: iu.stulov@ksc.ru
Russia, Apatity
S. V. Antipov
Tananaev Institute of Chemistry – Subdivision of the Federal Research Centre “Kola Science Centreof the Russian Academy of Sciences”
Email: iu.stulov@ksc.ru
Russia, Apatity
S. A. Kuznetsov
Tananaev Institute of Chemistry – Subdivision of the Federal Research Centre “Kola Science Centreof the Russian Academy of Sciences”
Email: iu.stulov@ksc.ru
Russia, Apatity
References
- Balaram V. Rare earth elements: A review of applications, occurrence, exploration, analysis, recycling, and environmental impact // Geosci. Front. Elsevier. 2019. 10. № 4. P. 1285–1303.
- Goodenough K.M., Wall F., Merriman D. The Rare Earth Elements: Demand, Global Resources, and Challenges for Resourcing Future Generations // Nat. Resour. Res. 2018. 27. № 2. P. 201–216.
- Sprecher B., Xiao Y., Walton A., Speight J., Harris R., Kleijn R., Visser G., Kramer G.J. Life cycle inventory of the production of rare earths and the subsequent production of NdFeB rare earth permanent magnets // Environ. Sci. Technol. 2014. 48. № 7. P. 3951–3958.
- Wübbeke J. Rare earth elements in China: Policies and narratives of reinventing an industry // Resour. Policy. 2013. 38. № 3. P. 384–394.
- Vander Hoogerstraete T., Blanpain B., Van Gerven T., Binnemans K. From NdFeB magnets towards the rare-earth oxides: A recycling process consuming only oxalic acid // RSC Adv. 2014. 4. № 109. P. 64099–64111.
- Salehzadeh S., Maleki F. New equation for calculating total interaction energy in one noncyclic ABC triad and new insights into cooperativity of noncovalent bonds // J. Comput. Chem. 2016. 37. P. 2799–2807.
- Alkorta I., Blanco F., Deyà P.M., Elguero J., Estarellas C., Frontera A., Quiñonero D. Cooperativity in multiple unusual weak bonds // Theor. Chem. Accounts 2009. 126. № 1. P. 1–14.
- Mó O., Yáñez M., Del Bene J.E., Alkorta I., Elguero J. Cooperativity and proton transfer in hydrogen-bonded triads // Chem. Phys. Chem. 2005. 6. № 7. P. 1411–1418.
- Solimannejad M. // Chem. Phys. Chem., Ltd. 2012. 13. № 13. P. 3158–3162. https://doi.org/10.1002/cphc.201200333
- Li Q.Z., Hu T., An X.L., Gong B.A., Cheng J.B. Cooperativity between the dihydrogen bond and the N···HC hydrogen bond in LiH-(HCN)n complexes // Chem. Phys. Chem. 2008. 9. № 13. P. 1942–1946.
- Kremenetsky V., Kuznetsov S. Comparison of model systems (M+)n · [Cr] and M3CrX6 + 18MX based on quantum-chemical calculations (X: F, Cl) // J. Chem. 2016. № 11. Р. 1–5.
- Kremenetsky V.G., Kremenetskaya O.V., Kuznetsov S.A. The stable complex species in melts of alkali metal halides: quantum-chemical approach // Molten Salts Chemistry and Technology. 2014. P. 193–201.
- Stulov Y.V., Kremenetsky V.G., Kuznetsov S.A. Quantum-chemical study of the titanium complexes stability in the model System M2+[Ti(3)F6]3– + 12MCl2 // ECS Trans. 2018. 86. P. 187–192.
- Popova A.V., Kremenetsky V.G., Kuznetsov S.A. Intervalence charge transfer of the Nb(V)/Nb(IV) redox couple in alkali chloride melts: experiment and quantum-chemical calculations // J. Electrochem. Soc. 2017. 164. P. H5001–H5006.
- Stulov Y.V., Kremenetsky V.G., Kuznetsov S. A. Electrochemical and quantum-chemical studies of chromium (III, II) fluoride complexes in alkali chloride melts // Russ. J. Electrochem. 2014. 50. P. 815–823.
- Kremenetsky V.G., Kuznetsov S.A. Quantum-chemical analysis of the electron transfer mechanism in model system MgNbF7 + 12MgCl2 by the method of frontier molecular orbitals // Russ. J. Electrochem. 2018. 54. P. 676–682.
- Kremenetsky V.G., Nikolaev A.I., Kuznetsov S.A. Analysis of electrochemical electron transfer mechanisms in molten salts by the frontier orbital method // Dokl. Phys. Chem. 2017. 475. P. 122–125.
- Stulov Y.V., Vetrova D.A., Kremenetsky V.G., Kuznetsov S.A. Study of the electron transfer in titanium containing melts by electrochemical and quantum-chemical methods // J. Electrochem. Soc. 2021. 168. P. 046507.
- Granovsky A.A. Firefly version 8. http://classic.chem.msu.su/gran/firefly/index.html
- Schmidt M.W., Baldridge K.K., Boatz J.A., Elbert S.T., Gordon M.S., Jensen J.H., Koseki S., Matsunaga N., Nguyen K.A., Su S., Windus T.L., Dupuis M., Montgomery J.A. General atomic and molecular electronic structure system // J. Comput. Chem. 1993. 14. № 11. P. 1347–1363.
- Feller D. The role of databases in support of computational chemistry calculations // J. Comput. Chem. 1996. 17. № 13. P. 1571–1586.
- Schuchardt K.L., Didier B.T., Elsethagen T., Sun L., Gurumoorthi V., Chase J., Li J., Windus T.L. Basis Set Exchange: A community database for computational sciences // J. Chem. Inf. Model. 2007. 47. № 3. P. 1045–1052.
- Pritchard B.P., Altarawy D., Didier B., Gibson T.D., Windus T.L. New basis set exchange: An open, up-to-date resource for the molecular sciences community // J. Chem. Inf. Model. 2019. 59. № 11. P. 4814–4820.
- Dolg M., Stoll H., Preuss H. A combination of quasirelativistic pseudopotential and ligand field calculations for lanthanoid compounds // Theor. Chim. Acta. 1993. 85. P. 441–450.
- Dolg M., Stoll H., Savin A., Preuss H. Energy-adjusted pseudopotentials for the rare earth elements // Theor. Chim. Acta. 1989. 75. № 3. P. 173–194.
- Fernandez Pacios L., Christiansen P.A. Ab initio relativistic effective potentials with spin-orbit operators. I. Li through Ar // J. Chem. Phys. 1985. 82. № 6. P. 2664–2671.
- Leininger T., Nicklass A., Küchle W., Stoll H., Dolg M., Bergner A. The accuracy of the pseudopotential approximation: non-frozen-core effects for spectroscopic constants of alkali fluorides XF (X = K, Rb, Cs) // Chem. Phys. Lett. 1996. 255. № 4–6. P. 274–280.
- Bergner A., Dolg M., Küchle W., Stoll H., Preuß H. Ab initio energy-adjusted pseudopotentials for elements of groups 13–17 // Mol. Phys. 1993. 80. № 6. P. 1431–1441.
- Kuznetsov S.A., Kremenetsky V.G. Comparison of Some Structural Parameters of the Model Systems nM+[CrX6]3– and 3M+[CrX6]3– + 18MCl (M – Na, K, Cs; X – F, Cl; n = 1–6) // ECS Trans. 2014. 64. № 4. P. 183–188.
- Kremenetsky V.G., Kuznetsov S.A. Anomaly of the charge transfer rate in the CsCl–K3CrF6 melt: Quantum-chemical analysis // Int. J. Electrochem. Sci. 2015. 10. P. 6164–6174.
- Stulov Y.V., Kuznetsov S.A. Quantum chemical investigation of samarium complexes stability in a model system 18MX + M3SmX6 (X = F, Cl and M = Na, K, Rb, Cs) // ECS Trans. 2022. 109. № 14. P. 135–142.
- Iwadate Y., Yamoto H., Fukushima K., and Takagi R. Molecular dynamics study of ionic aggregation in molten SmCl3–NaCl system // J. Mol. Liq. 1999. 83. P. 41–49.
- Aspinall H. C. Chemistry of the f-Block Elements. London: Routledge, 2018.
- Iwadate Y. Structures and properties of rare-earth molten salts // Handbook on the Physics and Chemistry of Rare Earths. Elsevier B.V. 2014. 44. P. 87–168.
- Igarashi K., Kosaka M., Ikeda M., Mochinaga J. X-ray diffraction analysis of NdCl3 melt // Zeitschrift fur Naturforsch. Sect. A J. Phys. Sci. 1990. 45. № 5. P. 623–626.
- Photiadis G.M., Børresen B., Papatheodorou G.N. Vibrational modes and structures of lanthanide halide-alkali halide binary melts: LnBr3–KBr (Ln = La, Nd, Gd) and NdCl3–ACl (A = Li, Na, K, Cs) // J. Chem. Soc. Faraday Trans. 1998. 94. № 17. P. 2605–2613.
- Dracopoulos V., Gilbert B., Papatheodorou G.N. Vibrational modes and structure of lanthanide fluoride–potassium fluoride binary melts LnF3–KF (Ln = La, Ce, Nd, Sm, Dy, Yb) // J. Chem. Soc. Faraday Trans. 1998. 94. № 17. P. 2601–2604.
- Kalampounias A.G. Correlating changes in structure and dynamical properties in LnX3 (Ln = Y, Ho, Dy, Gd, Nd, La and X = Cl, Br) ionic melts // Chem. Pap. 2017. 71. № 8. P. 1529–1539.
Supplementary files





