FORMATION OF NANO-POROUS IRON BY ELECTROCHEMICAL DEALLOYING OF FERROTITANIUM IN MELTED EUTECTIC LiCl–KCl
- Authors: Rozhentsev D.A.1, Tkachev N.K.1
-
Affiliations:
- Institute of High Temperature Electrochemistry, Ural Branch of the RAS
- Issue: No 6 (2023)
- Pages: 570-576
- Section: Articles
- URL: https://ogarev-online.ru/0235-0106/article/view/162316
- DOI: https://doi.org/10.31857/S0235010623060063
- EDN: https://elibrary.ru/DHCMBN
- ID: 162316
Cite item
Full Text
Abstract
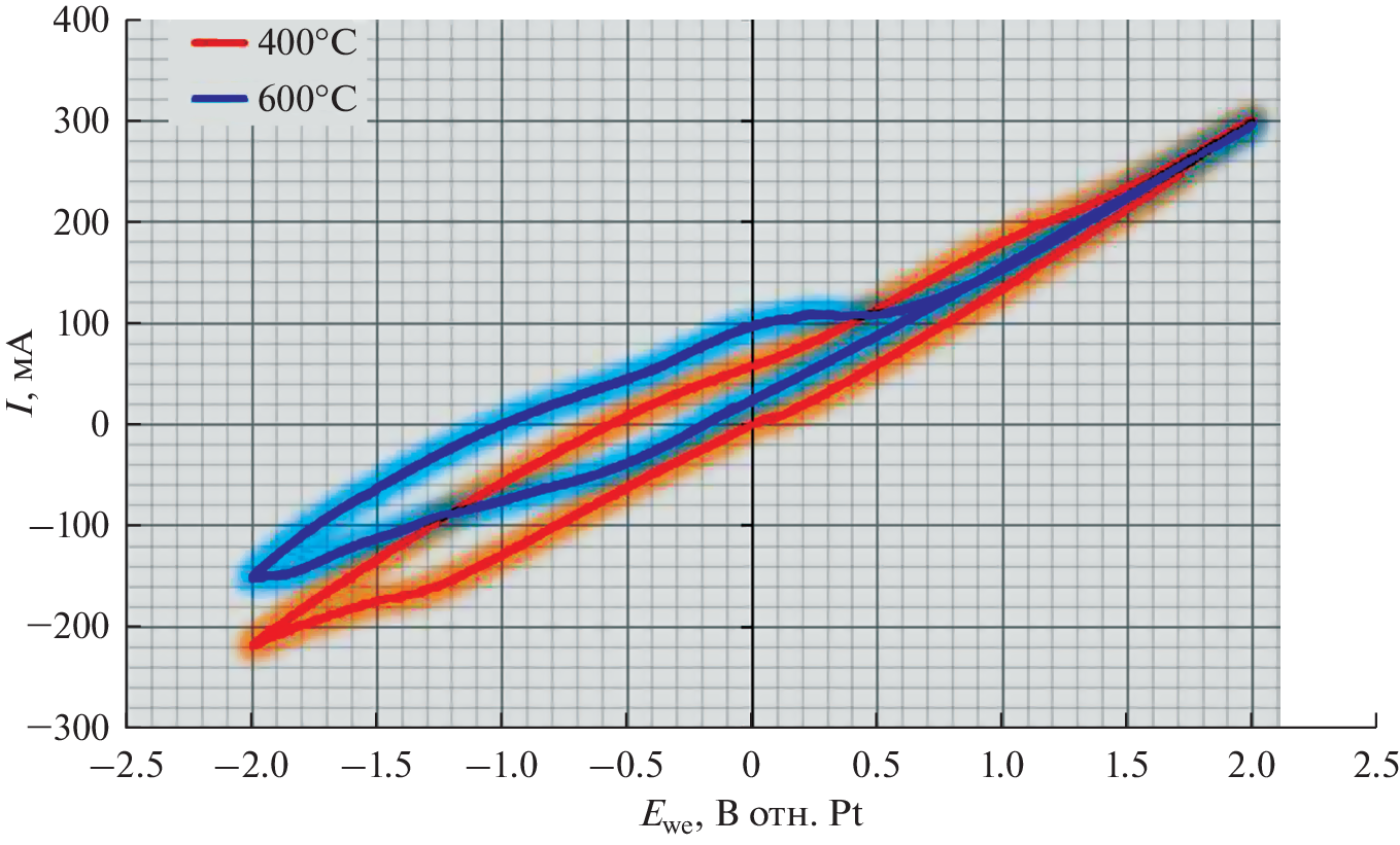
Porous iron is considered one of the most promising biodegradable or resorbable materials in traumatology. To date, only a few works on the preparation of nanoporous iron by dealloying or selective dissolution of ferroalloys are known. Among the promising candidates for precursor alloys, ferrotitanium is of great interest. The difference of iron and titanium release potentials in chloride melts can be about 700 mV. However, two intermetallides are present in the phase diagram: Fe2Ti and FeTi with melting temperatures of 1427 and 1317°C, respectively. A sample of the composition Fe0.6Ti0.4 was melted with the congruent Fe2Ti compound as its base. Dealloying was carried out in the molten chloride eutectic LiCl–KCl at two temperatures of 400 and 600°C in the potentiostatic mode at the following potentials relative to the platinum quasi-electrode –0.23 and +0.1 V, respectively. The potentials were chosen to provide sufficiently large currents at the beginning of the electrode process, but to avoid mechanical cracking of the sample. Bi-continuous iron nanostructure with characteristic pore sizes of the order of 100 nm at dealloying slightly below its recrystallization start temperature (400°C) was obtained. The residual titanium content found by EDS spectroscopy did not exceed 5 at % by surface. At increasing, the process temperature up to 600°C the expected enlargement of pores and ligaments was observed, and extended areas of larger voids appeared – of the order of several microns, arising, apparently, due to more intensive destruction of micro-inclusions of the FeTi phase in the precursor alloy. The XRD of the samples after dealloying unequivocally testifies to the formation of the cermet iron phase on the surface of the samples. The weak XRD reflections of impurities of the defective wustite phase (FeO) are noted, as there is a partial oxidation of the active nanoporous iron surface already after the sample removal and washing in the air at room temperature. The conclusion is made that it is fundamentally possible to obtain nanoporous iron with a bicontinuous pore structure and ligaments (≈100 nm) from ferrotitanium in molten chloride eutectics by electrochemical dealloying at temperatures slightly below the beginning of iron recrystallization (400°C).
About the authors
D. A. Rozhentsev
Institute of High Temperature Electrochemistry, Ural Branch of the RAS
Author for correspondence.
Email: d.a.rozhentsev@mail.ru
Russia, Yekaterinburg
N. K. Tkachev
Institute of High Temperature Electrochemistry, Ural Branch of the RAS
Email: d.a.rozhentsev@mail.ru
Russia, Yekaterinburg
References
- McCue I., Karma A., Erlebacher J. Pattern formation during electrochemical and liquid metal dealloying // MRS Bull. 2018. 43. P. 27–34.
- Zhang J., Li C.M. Nanoporous metals: fabrication strategies and advanced electrochemical applications in catalysis, sensing and energy systems // Chem. Soc. Rev. 2012. 41. P. 7016–7031.
- Weissmüller J., Sieradzki K. Dealloyed nanoporous materials with interface-controlled behavior // MRS Bull. 2018. 43. P. 14–19.
- Wegene B., Sichler A., Milz S. et al. Development of a novel biodegradable porous iron-based implant for bone replacement // Sci. Rep. 2020. 10. P. 9141.
- Shuai C., Li S., Peng S., Feng P., Laid Y., Gao C. Biodegradable metallic bone implants // Mater. Chem. Front. 2019. 3. P. 544–562.
- Heiden M., Johnson D., Stanciu L. Surface modifications through dealloying of Fe–Mn and Fe–Mn–Zn alloys developed to create tailorable, nanoporous, bioresorbable surfaces // Acta Mater. 2016. 103. P. 115–127.
- Darson, J., Mohan, M. Iron Oxide Nanoparticles and Nano-Composites: An Efficient Tool for Cancer Theranostics. London: Intech Open, 2022. P. 1–180.
- Rozhentsev D., Tkachev N. High-temperature electrochemical synthesis of nanoporous iron by dealloying of ferromanganese in a LiCl–KCl eutectic // J. Electrochem. Soc. 2021. 168. Art. № 061504. 4 p.
- Hamer W.J., Malmberg M.S., Rubin B. Theoretical electromotive forces for cells containing a single solid or molten chloride electrolyte // J. Electrochem. Soc. 1956. 103. P. 11–12.
- Murray J.L. The Fe−Ti (Iron-Titanium) system. Bulletin of Alloy Phase Diagrams. 1981. 2. P. 320–334.
- Rozhentsev D.A., Pershina S.V., Petrova S.A., Tkachev N.K. Osobennosti okisleniya nanoporistogo jeleza_ poluchennogo dealloingom ferromarganca v rasplavlennih solyah [Peculiarities of oxidation of nanoporous iron obtained by dealloying of ferromanganese in molten salts] // JOH. 2023. 93. P. 628–634 [In Russian].
Supplementary files






