EFFECT OF THE SUBSTRATE MATERIAL ON THE KINETICS OF SILICON ELECTROREDUCTION IN THE KCl–CsCl–K2SiF6 MELT
- Authors: Gevel T.A.1, Gorshkov L.V.1, Suzdaltsev A.V.1,2, Zaikov Y.P.1,2
-
Affiliations:
- Ural Federal University
- Institute of High-Temperature Electrochemistry UB RAS
- Issue: No 5 (2023)
- Pages: 491-501
- Section: Articles
- URL: https://ogarev-online.ru/0235-0106/article/view/141795
- DOI: https://doi.org/10.31857/S0235010623050055
- EDN: https://elibrary.ru/YUYDCJ
- ID: 141795
Cite item
Full Text
Abstract
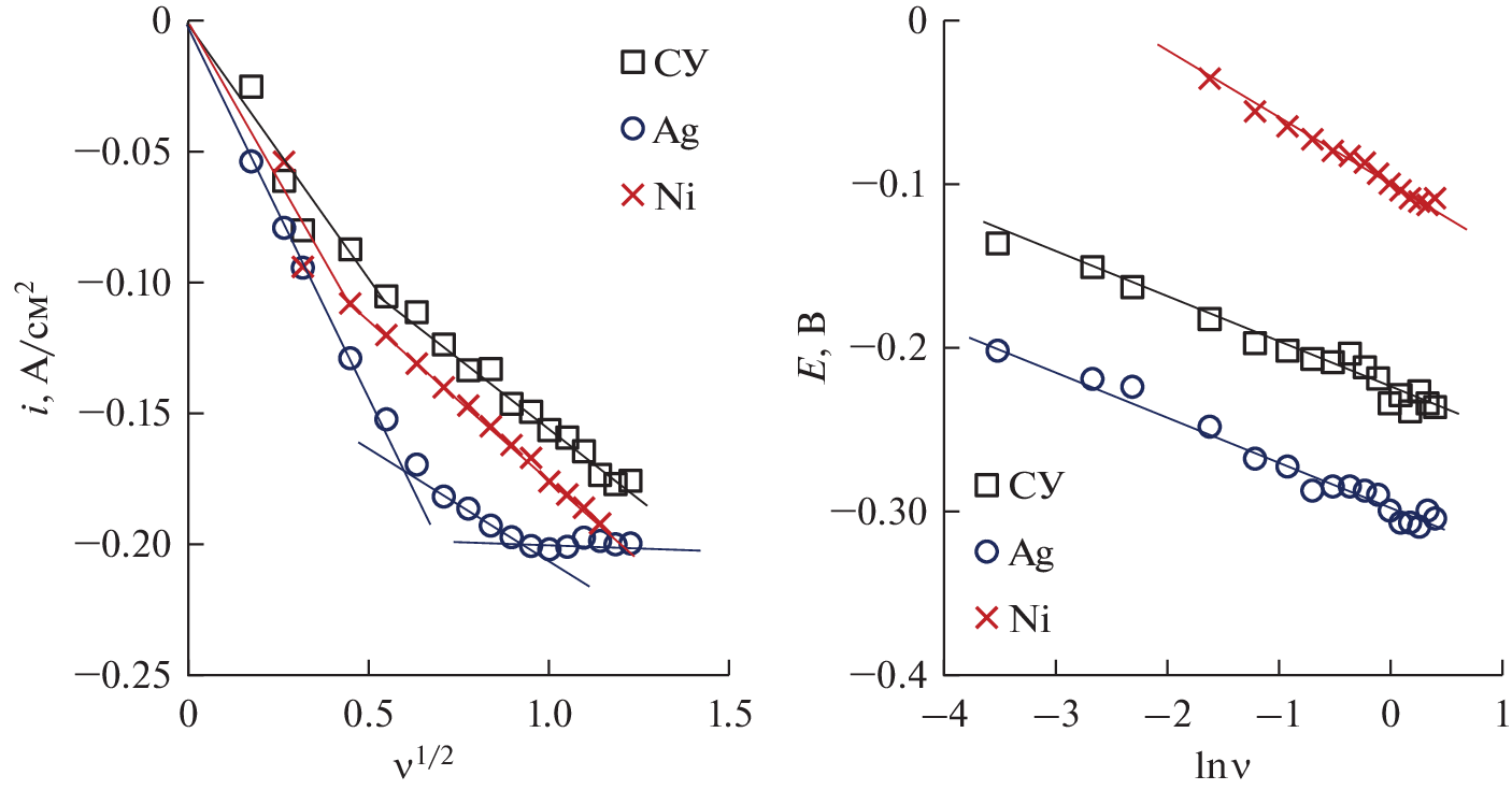
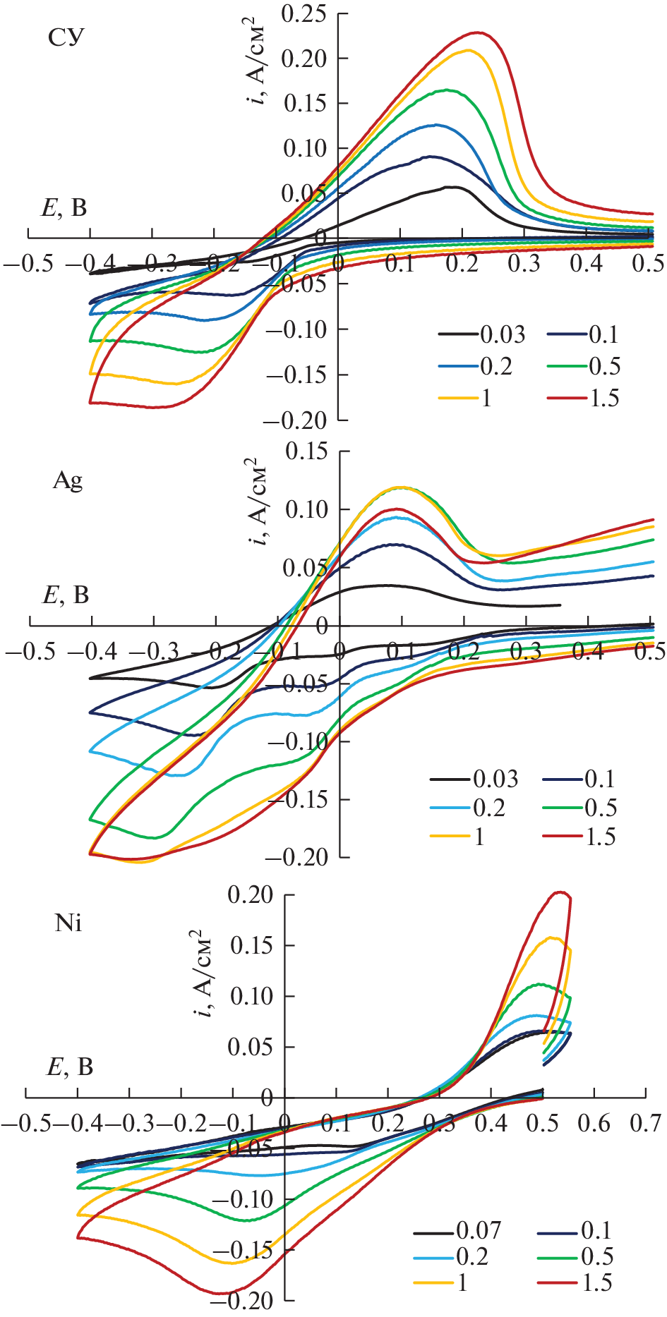
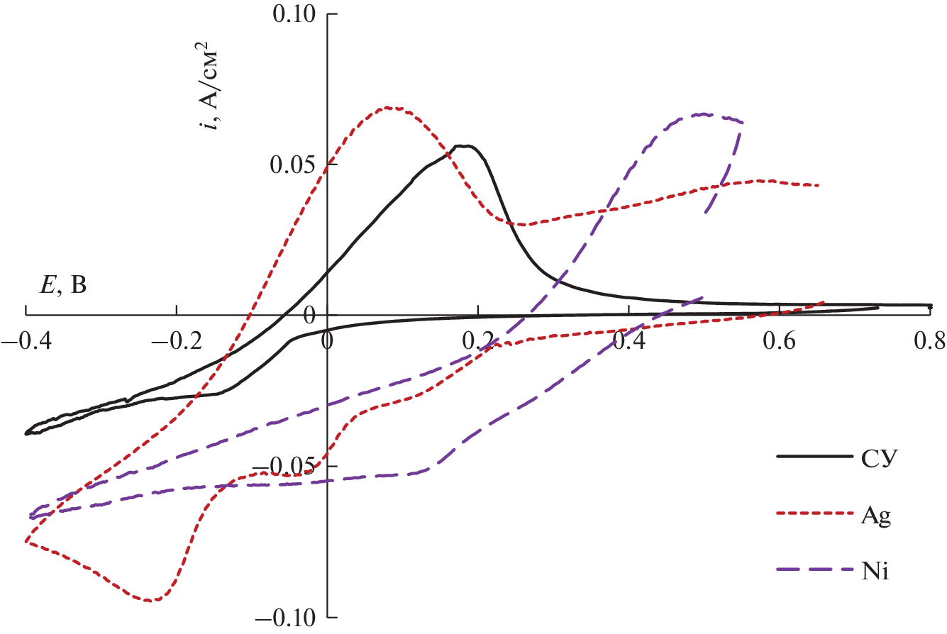
Due to the possibility of controlling composition and morphology, one of the promising methods for obtaining silicon and its materials is the electrolysis of molten salts. However, this requires data on the influence of various factors on the kinetics of silicon electrodeposition. In this work, an effect of the cathode substrate material on the kinetics of electroreduction of silicon ions in a low-fluoride melt (wt %) 57KCl–43CsCl with the addition of 2.8 wt % K2SiF6 at a temperature of 730°C was studied by cyclic voltammetry and chronoamperometry. Interacting and indifferent materials for silicon were chosen as substrates: glassy carbon, silver, and nickel. On the glassy carbon electrode, the electroreduction of silicon ions proceeds in the potential region more negative than –0.05 V, on the silver electrode, more negative than 0.05 V, and on the nickel electrode, more negative than 0.40 V relative to the potential of the silicon quasi-reference electrode. For all the studied substrates, a cathode process is observed, which is not electrochemically reversible. In this case, according to chronoamperometry measurements, the stage of nucleation of a new phase at the cathode does not affect the kinetics of the process under study. Presumably, in the case of glassy carbon and silver, irreversibility can be caused by a delayed discharge, while silicon electrodeposition on a nickel electrode is accompanied by the formation of nickel silicides. From the voltammetric and chronoamperometric dependences, the diffusion coefficient of silicon ions to the glassy carbon electrode was estimated, the values of which were 1.5 · 10–5 and 1.2 · 10–5 cm2/s, respectively.
About the authors
T. A. Gevel
Ural Federal University
Email: a.v.suzdaltsev@urfu.ru
Russia, Yekaterinburg
L. V. Gorshkov
Ural Federal University
Email: a.v.suzdaltsev@urfu.ru
Russia, Yekaterinburg
A. V. Suzdaltsev
Ural Federal University; Institute of High-Temperature Electrochemistry UB RAS
Author for correspondence.
Email: a.v.suzdaltsev@urfu.ru
Russia, Yekaterinburg; Russia, Yekaterinburg
Yu. P. Zaikov
Ural Federal University; Institute of High-Temperature Electrochemistry UB RAS
Email: a.v.suzdaltsev@urfu.ru
Russia, Yekaterinburg; Russia, Yekaterinburg
References
- Kulova T.L. Novyye elektrodnyye materialy dlya litiy-ionnykh akkumulyatorov (Obzor) [New electrode materials for lithium–ion batteries (Review)] // Elektrokhimiya. 2013. 49. P. 1–25. [In Russian].
- Leonova A.M., Bashirov O.A., Leonova N.M., Lebedev A.S., Trofimov A.A., Suzdaltsev A.V. Synthesis of C/SiC mixtures for composite anodes of lithium-ion power sources // Applied Sciences. 2023. 13. P. 901.
- Suzdaltsev A.V., Gevel T.A., Parasotchenko Yu.A., Pavlenko O.B. Kratkiy obzor rezul’tatov ispol’zovaniya elektroosazhdennogo kremniya dlya ustroystv preobrazovaniya i nakopleniya energii [Brief review of the results of using electrodeposited silicon in energy conversion and storage devices] // Rasplavy. 2023. № 1. P. 99–108. [In Russian].
- Isakov A.V., Khudorozhkova A.O., Vovkotrub E.G., Vorob’ov A.S., Redkin A.A., Zaikov Yu.P. Vliyaniye KI na vzaimodeystviya v sistemakh KF–KCl, soderzhashchikh K2SiF6 i SiO2 [Influence of KI addition on the interactions in KF–KCl containing K2SiF6 and SiO2] // Rasplavy. 2021. № 1. P. 65–78. [In Russian].
- Anfimov I.M., Kobeleva S.P., Malinkovich M.D., Shchemerov I.V., Toporova O.V., Parkhomenko Yu.N. Mechanisms of electroconductivity in silicon–carbon nanocomposites with nanosized tungsten inclusions within a temperature range of 20–200°C // Rus. Microelectronics. 2013. 42. P. 488–491.
- Leonova N.M., Leonova A.M., Bashirov O.A., Lebedev A.S., Trofimov A.A., Suzdaltsev A.V. Anody na osnove S/SiC dlya litiy-ionnykh istochnikov toka [C/SiC-based anodes for lithium-ion current sources] // Elektrokhim. energetika. 2023. 23. № 1. P. 41–50. [In Russian].
- Kaibichev A.V., Kaibichev I.A. Osobennosti ochistki tekhnicheskogo kremniya pri plavke v gelii s vozdeystviyem na rasplav elektricheskogo polya na molibdenovom i grafitovom electrode [Features of technical silicon cleaning in melting in helium with impact on electric field melt on molybdenum and graphite electrode] // Rasplavy. 2019. № 3. P. 258–264. [In Russian].
- Stulov Y., Dolmatov V., Dubrovskiy A., Kuznetsov S. Electrochemical synthesis of functional coatings and nanomaterials in molten salts and their application // Coatings. 2023. 13. P. 352.
- Golosov O.A., Khvostov S.S., Staritsyn S.V., Barybin A.V., Pastukhov V.I., Glushkova N.V., Zaikov Yu.P., Nikitina E.V., Kazakovtseva N.A. Skorost’ korrozii stali EP-823 v rasplavakh khloridov shchelochnykh metallov [EP-823 steel corrosion rate in molten chlorides of alkali metals] // Rasplavy. 2023. № 2. P. 203–218. [In Russian].
- Ageeva E.V., Serebrovsky V.I., Sernikova O.S. Optimizatsiya protsessa elektroosazhdeniya kompozitsionnykh pokrytiy iz elektrolitov-suspenziy [Optimization of the process of electrodeposition of composite coatings from electrolytes-suspensions] // Izv. Yugo-Zapadnogo gos. un-ta. Seriya: Tekhnika i tekhnologii. 2023. 13. № 1. P. 32–47. [In Russian].
- Laptev M.V., Isakov A.V., Grishenkova O.V., Vorob’ev A.S., Khudorozhkova A.O., Akashev L.A., Zaikov Y.P. Electrodeposition of thin silicon films from the KF–KCl–KI–K2SiF6 melt // J. Electrochem. Soc. 2020. 167. P. 042506.
- Pavlenko O.B., Ustinova Yu.A., Zhuk S.I., Suzdaltsev A.V., Zaikov Yu.P. Silicon electrodeposition from low-melting LiCl–KCl–CsCl melts // Rus. Met. 2022. № 8. P. 818–824.
- Zaikov Yu.P., Zhuk S.I., Isakov A.V., Grishenkova O.V., Isaev V.A. Elektroosazhdeniye kremniya iz rasplava KF–KCl–KI–K2SiF6 [Silicon electrodeposition from the KF–KCl–KI–K2SiF6 melt] // Rasplavy. 2016. № 5. P. 441–454. [In Russian].
- Malyshev V.V., Kushkhov H.B., Shapoval V.I. High-temperature electrochemical synthesis of carbides, silicides and borides of VI-group metals in ionic melts // J. Appl. Electrochem. 2002. 32. № 5. P. 573–579.
- Dolmatov V.S., Kuznetsov S.A. Katodnyye protsessy i khimicheskiye reaktsii pri elektrokhimicheskom sinteze karbidov tantala i kremniya v solevykh rasplavakh [Cathodic processes and chemical reactions in the electrochemical synthesis of tantalum and silicium carbides in molten salts] // Trudy Kol’skogo nauchnogo tsentra RAN. Khimiya i materialovedeniye. 2015. № 5(31). P. 224–227. [In Russian].
- Zhuk S.I., Gevel T.A., Zaikov Yu.P. Vliyaniye materiala podlozhki na kinetiku i mekhanizm elektroosazhdeniya kremniya iz rasplava KCl–KF–K2SiF6 [Effect of the substrate material on kinetics and mechanism of silicon electrodeposition from the KCl–KF–K2SiF6 melt] // Rasplavy. 2021. № 4. P. 354–364. [In Russian].
- Yasuda K., Maeda K., Nohira T., Hagiwara R., Homma T. Silicon electrodeposition in water-soluble KF–KCl molten salt: Optimization of electrolysis conditions at 923 K // J. Electrochem. Soc. 2016. 163. № 3. P. D95–D99.
- Kuznetsova, S.V., Dolmatov, V.S., Kuznetsov, S.A. Voltammetric study of electroreduction of silicon complexes in a chloride–fluoride melt // Rus. J. Electrochem. 2009. 45. P. 742–748.
- Gevel T.A., Zhuk S.I., Leonova N.M., Leonova A.M., Suzdaltsev A.V., Zaikov Yu.P. Electrodeposition of silicon from the KCl–CsCl–K2SiF6 melt // Rus. Met. 2022. № 8. P. 958–964.
- Zhuk S.I., Minchenko L.M., Suzdaltsev A.V., Isakov A.V., Zaikov Yu.P. Elektroosazhdeniye kremniya iz rasplavov KF–KCl–K2SiF6 i KF–KCl–KI–K2SiF6 Electrodeposition from the KF–KCl–K2SiF6 and KF–KCl–KI–K2SiF6 melts // Izv. vuzov. Tsvet. metallurgiya. 2023. 29. № 3. P. 17–26. [In Russian].
- Gevel T.A., Zhuk S.I., Ustinova Yu.A., Suzdaltsev A.V., Zaikov Yu.P. Elektrovydeleniye kremniya iz rasplava KCl–K2SiF6 [Silicon. Silicon electroreduction from the KCl–K2SiF6 melt] // Rasplavy. 2021. № 2. P. 187–198. [In Russian].
- Roine A. HSC Chemistry® [Software], Outotec, Pori 2018. Software available at www.outotec.com/HSC
- Bard A.J., Faulkner L.R. Electrochemical methods: fundamentals and applications, 2nd ed. – John Wiley & Sons. N.Y. 2001.
Supplementary files






