EP-823 STEEL CORROSION RATE IN MOLTEN CHLORIDES OF ALKALI METALS
- Authors: Golosov O.A.1, Khvostov S.S.1, Staritsyn S.V.1, Barybin A.V.1, Pastukhov V.I.1, Glushkova N.V.1, Zaikov Y.P.2, Nikitina E.V.2, Kazakovtseva N.A.2
-
Affiliations:
- Research Institute of Nuclear Materials, Joint-Stock Company
- High Temperature Electrochemistry of the Ural Branch of the Russian Academy of Sciences
- Issue: No 2 (2023)
- Pages: 203-218
- Section: Articles
- URL: https://ogarev-online.ru/0235-0106/article/view/138593
- DOI: https://doi.org/10.31857/S0235010623020068
- EDN: https://elibrary.ru/MHTYUU
- ID: 138593
Cite item
Full Text
Abstract
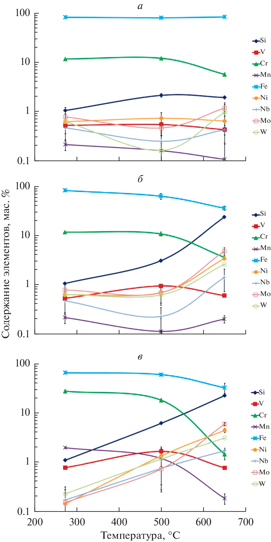
At present, technologies are being developed for the regeneration of mixed nitride uranium-plutonium spent nuclear fuel (MNUP SNF) for the BREST-OD-300 reactor plant, including the use of a pyrochemical method of mild chlorination in alkali metal chloride melts to separate fuel from fuel rod claddings made from high radiation resistance of ferritic-martensitic steel EP-823. The paper gives the results of EP-823 static corrosion tests in KCl–LiCl and KCl–LiCl–nPbCl2 molten salts at the temperature of 500 and 650°С during 24 h. Corrosion behaviour of EP-823 steel in non-oxidized and thermal air oxidized state with oxide film thickness up to ~12.5 µm has been investigated using neutron-activation analysis. EP-823 steel samples, irradiated in IVV-2M reactor up to neutron fluence of ~2.9 · 1017 n/cm2, have been examined. It has been shown that corrosion impact of 2KCl–3LiCl and 2KCl–3LiCl–nPbCl2 molten salts on EP-823 element corrosion is selective. It has been established that EP-823 steel in 2KCl–3LiCl molten salts of eutectic composition is highly corrosion-resistant. An increase in the test temperature and the introduction of PbCl2 into the KCl–LiCl salt melt in the amount of one mole percent leads to an increase in the corrosion rate and the removal of steel corrosion products by almost two orders of magnitude. It has been established that oxide films on EP-823 steel surface does not restrain corrosion rate in 2KCl–3LiCl–nPbCl2 molten salts. The values of the constants given in Table 6, make it possible to calculate the values of the average corrosion rates of EP-823 steel and its components (Fe, Cr, Mn) in molten salts 2KCl–3LiCl and 2KCl–LiCl–nPbCl2 at various temperatures.
About the authors
O. A. Golosov
Research Institute of Nuclear Materials, Joint-Stock Company
Email: khvostov_ss@irmatom.ru
Russia, Zarechny
S. S. Khvostov
Research Institute of Nuclear Materials, Joint-Stock Company
Author for correspondence.
Email: khvostov_ss@irmatom.ru
Russia, Zarechny
S. V. Staritsyn
Research Institute of Nuclear Materials, Joint-Stock Company
Email: khvostov_ss@irmatom.ru
Russia, Zarechny
A. V. Barybin
Research Institute of Nuclear Materials, Joint-Stock Company
Email: khvostov_ss@irmatom.ru
Russia, Zarechny
V. I. Pastukhov
Research Institute of Nuclear Materials, Joint-Stock Company
Email: khvostov_ss@irmatom.ru
Russia, Zarechny
N. V. Glushkova
Research Institute of Nuclear Materials, Joint-Stock Company
Email: khvostov_ss@irmatom.ru
Russia, Zarechny
Y. P. Zaikov
High Temperature Electrochemistry of the Ural Branch of the Russian Academy of Sciences
Email: khvostov_ss@irmatom.ru
Russia,
Yekaterinburg
E. V. Nikitina
High Temperature Electrochemistry of the Ural Branch of the Russian Academy of Sciences
Email: khvostov_ss@irmatom.ru
Russia,
Yekaterinburg
N. A. Kazakovtseva
High Temperature Electrochemistry of the Ural Branch of the Russian Academy of Sciences
Email: khvostov_ss@irmatom.ru
Russia,
Yekaterinburg
References
- Troyanov V.M., Grachev A.F., Zabud’ko L.M., Skupov M.V. Perspektivy ispol’zovaniya nitridnogo topliva dlya reaktorov na bystrykh neytronakh s zamknutym toplivnym tsiklom [Prospects for the use of nitride fuel for fast neutron reactors with a closed fuel cycle] // Innovatsionnyye proyekty i tekhnologii yadernoy energetiki: sb. dokladov III mezhdunarodnoy nauchno-tekhnicheskoy konferentsii. 2014. 1. P. 61–70. [In Russian].
- Porollo S.I., Dvoriashin A.M., Konobeev Yu.V., Garner F.A. Microstructure and mechanical properties of ferritic/martensitic steel EP-823 after neutron irradiation to high doses in BOR-60 // J. Nucl. Mater. 2004. 329–333. P. 314–318.
- Gorynin I.V., Karzov G.P., Markov V.G. i dr. Konstruktsionnyye materialy dlya atomnykh reaktorov s zhidkometallicheskimi teplonositelyami na osnove svintsa. Radiatsionnoye materialovedeniye i konstruktsionnaya prochnost’ reaktornykh materialov [tructural materials for nuclear reactors with lead-based liquid metal coolants. Radiation materials science and structural strength of reactor materials]. SPb: Izd-vo TSNIIKM “Prometey”, 2002. [In Russian].
- Klueh R.L., Kai J.J., Alexander D.J. Microstructure-mechanical properties correlation of irradiated conventional and reduced-activation martensitic steels // J. Nucl. Mater. 1995. 225. P. 175–186.
- Kai J.J., Klueh R.L. Microstructural analysis of neutron-irradiated martensitic steels // J. Nucl. Mater. 1996. 230. P. 116–123.
- Schaeublin R., Gelles D., Victoria M. Microstructure of irradiated ferritic/martensitic steels in relation to mechanical properties // J. Nucl. Mater. 2002. 307–311. P. 197–202.
- Mathon M.H., Carlan Y., Georoy G., Averty X., Alamo A., Novion C.H. A SANS investigation of the irradiation-enhanced α–α' phases separation in 7–12 Cr martensitic steels // J. Nucl. Mater. 2003. 312. P. 236–248.
- Porollo S.I., Dvoriashin A.M., Konobeev Yu.V., Garner F.A. Microstructure and mechanical properties of ferritic/martensitic steel EP-823 after neutron irradiation to high doses in BOR-60 // J. Nucl. Mater. 2004. 329–333. P. 314–318.
- Dvoriashin A.M., Porollo S.I., Konobeev Yu.V., Garner F.A. Influence of high dose neutron irradiation on microstructure of EP-450 ferritic–martensitic steel irradiated in three Russian fast reactors // J. Nucl. Mater. 2004. 329–333. P. 319–323.
- Konobeev Yu.V., Dvoriashin A.M., Porollo S.I., Garner F.A. Swelling and microstructure of pure Fe and Fe–Cr alloys after neutron irradiation to ~26 dpa at 400°C // J. Nucl. Mater. 2006. 355. P. 124–130.
- Dvoriashin A.M., Porollo S.I., Konobeev Yu.V., Budylkin N.I., Mironova E.G., Ioltukhovskiy A.G., Leontyeva–Smirnova M.V., Garner F.A. Mechanical properties and microstructure of three Russian ferritic/martensitic steels irradiated in BN-350 reactor to 50 dpa at 490°C // J. Nucl. Mater. 2007. 367–370. P. 92–96.
- Porollo S.I., Dvoriashin A.M., Vorobyev A.N., Konobeev Yu.V. The microstructure and tensile properties of Fe–Cr alloys after neutron irradiation at 400°C to 5.5–7.1 dpa // J. Nucl. Mater. 1998. 256. Р. 247–253.
- Schäublin R., Spätig P., Victoria M. Chemical segregation behavior of the low activation ferritic/martensitic steel F82H // J. Nucl. Mater. 1998. 258–263. Р. 1350–1355.
- Golosov O.A., Nikolkin V.N., Bakhtina Ye.A. Model’ korrozii staley v svintse [Model of corrosion of steels in lead] // Innovatsionnyye proyekty i tekhnologii yadernoy energetiki: sb. dokladov IV mezhdunarodnoy nauchno-tekhnicheskoy konferentsii. 2016. 1. P. 350–362. [In Russian].
- Zhang J. A review of steel corrosion by liquid lead and lead–bismuth // Corrosion Science. 2009. 51. P. 1207–1227.
- Blankov Ye.B., Blankova T.N., Rusyayev V.G., Yakubson K.I. Neytronnyy aktivatsionnyy analiz v geologii i geofizike [Neutron activation analysis in geology and geophysics]. M.: Nauka, 1972. [In Russian].
- Guma V.I., Demidov A.M., Ivanov B.L., Miller V.V. Neytronno-radiatsionnyy analiz [Neutron-radiation analysis]. M.: Energoatomizdat, 1984. [In Russian].
Supplementary files






