Емкость и импеданс иридиевого электрода в расплавленных хлоридах щелочных металлов
- Авторы: Кириллова Е.В.1
-
Учреждения:
- Институт высокотемпературной электрохимии УрО РАН
- Выпуск: № 1 (2023)
- Страницы: 68-77
- Раздел: Статьи
- URL: https://ogarev-online.ru/0235-0106/article/view/138534
- DOI: https://doi.org/10.31857/S0235010623010048
- EDN: https://elibrary.ru/HIBYAL
- ID: 138534
Цитировать
Полный текст
Аннотация
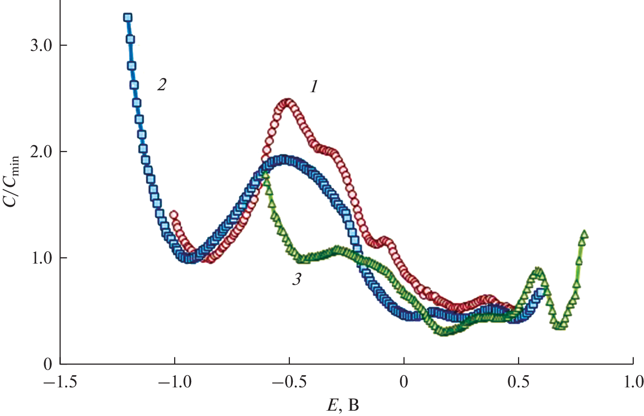
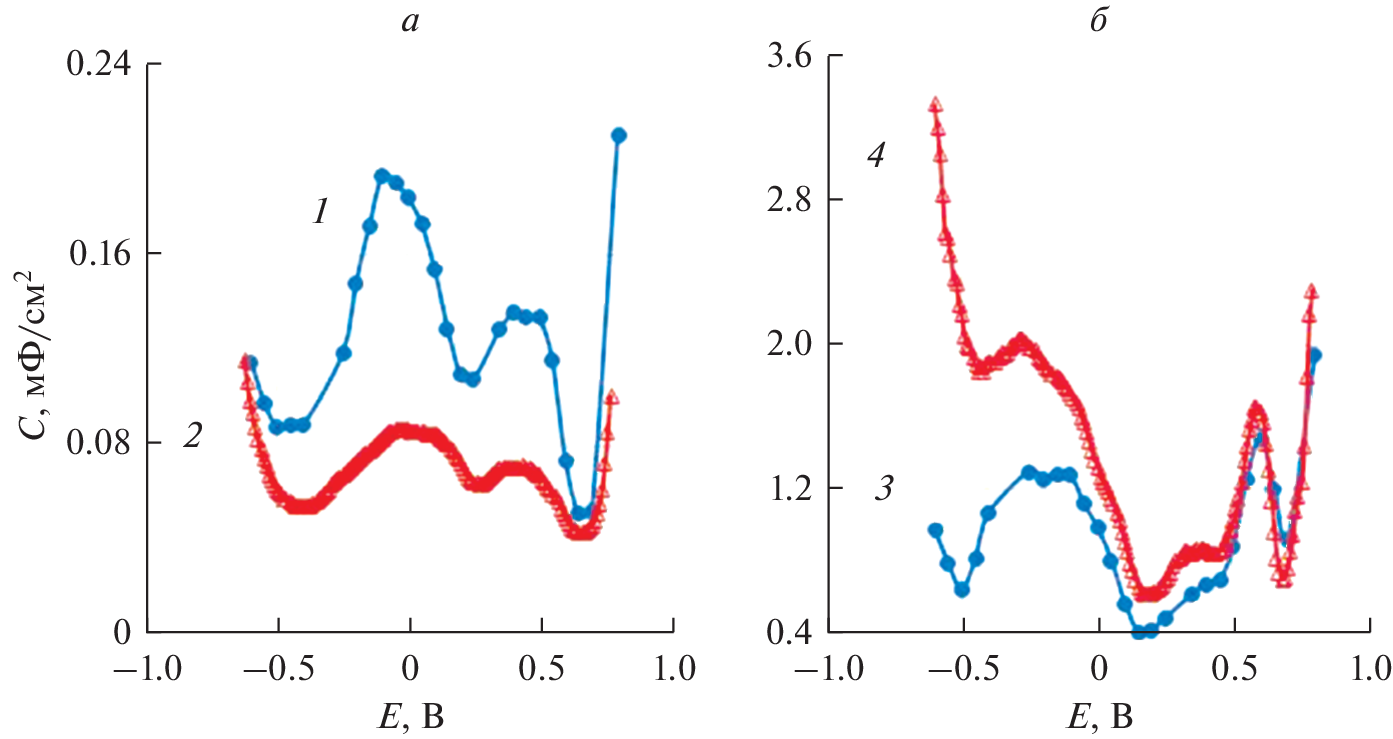
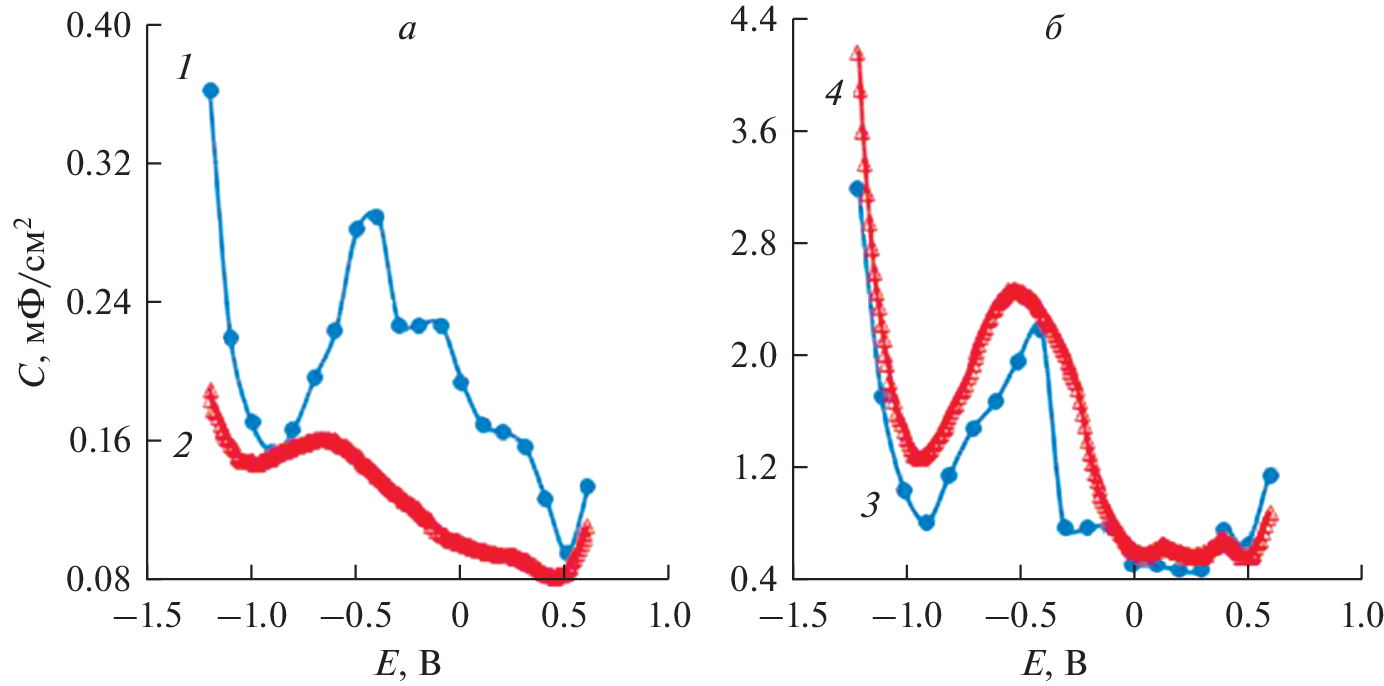
Методом спектроскопии электрохимического импеданса исследованы закономерности поведения емкости иридиевого электрода в зависимости от основных физико-химических параметров: электрического потенциала, температуры, радиуса катиона щелочного металла. Также проведена проверка влияния частоты сигнала, использующегося в переменнотоковых электрохимических методах исследования, на величину емкости и форму емкостной кривой. Данные по емкости иридиевого электрода получены в расплавленных хлоридах натрия, калия и цезия в диапазоне температур 1093–1123 K и диапазоне частоты переменного сигнала 3 · 100–3 · 104 Гц во всей доступной области электрической поляризации. Полученные емкостные кривые имеют два основных минимума с максимумом между ними. Один из этих минимумов (катодный) идентифицирован как классический потенциал минимума емкости. Уменьшение частоты сигнала и температуры эксперимента, а также увеличение радиуса катиона в ряду NaCl–KCl–CsCl приводит к появлению одного или двух дополнительных минимумов в области потенциалов между основными минимумами. Глубина этих промежуточных минимумов возрастает с ростом радиуса катиона щелочного металла солевого электролита, а их потенциал при этом смещается в положительную сторону. Расчетные значения емкости двойного электрического слоя и адсорбционной емкости были получены методом эквивалентных электрических схем. Один из дополнительных минимумов, полученных при прямом измерении зависимости емкости электрода от потенциала на высокой частоте, воспроизводится при расчете емкости двойного слоя. Второй из дополнительных минимумов, полученных на низкой частоте, воспроизводится при расчете адсорбционной емкости.
Ключевые слова
Об авторах
Е. В. Кириллова
Институт высокотемпературной электрохимии УрО РАН
Автор, ответственный за переписку.
Email: e.kirillova@ihte.uran.ru
Россия, Екатеринбург
Список литературы
- Катализ в промышленности. Под ред. Б. Лича. М.: Мир, 1986.
- Zheng J., Sheng W., Zhuang Z., Xu B., Yan Y. Universal dependence of hydrogen oxidation and evolution reaction activity of platinum-group metals on pH and hydrogen binding energy // Sci. Adv. 2016. 2. e1501602.
- Rasten E., Hagen G., Tunold R. Electrocatalysis in water electrolysis with solid polymer electrolyte // Electrochim. Acta. 2003. 48. P. 3945–3952.
- Huang Y., Wu K., Hao R. et al. Iridium doping boosting the electrochemical performance of lithium-rich cathodes for li-ion batteries // ACS Appl. Energy Mater. 2021. 4. № 3. P. 2489–2495.
- Lin F., Bachman B.F., Boettcher Sh.W. Impact of Electrocatalyst Activity and Ion Permeability on Water-Splitting Photoanodes // J. Phys. Chem. Lett. 2015. 6. P. 2427–2433.
- Bause S., Decker M., Gerlach F. et al. Development of an iridium-based pH sensor for bioanalytical applications // J. Solid State Electrochem. 2018. 22. P. 51–60.
- Audichon T., Mayousse E., Morisset S. et al. Electroactivity of RuO2–IrO2 mixed nanocatalysts toward the oxygen evolution reaction in a water electrolyzer supplied by a solar profile // Int. J. Hydrogen Energy. 2014. 39. P. 16785–16796.
- Papaderakis A., Tsiplakides D., Balomenou S. et al. Electrochemical impedance studies of IrO2 catalysts for oxygen evolution // J. Electroanal. Chem. 2015. 757. P. 216–224.
- Изотопы: свойства, получение, применение / Под ред. Ю. Баранова. М.: ФИЗМАТЛИТ, 2005.
- Wu W., Chen Z., Wang, L. Oxidation behavior of multilayer iridium coating on niobium substrate // Prot. Met. Phys. Chem. Surf. 2015. 51. P. 607–612.
- Zhu L., Bai S., Zhang H. et al. Long-term high-temperature oxidation of iridium coated rhenium by electrical resistance heating method // Int. J. Refract. Met. Hard Mater. 2014. 44. P. 42–48.
- Huang Y., Bai S., Zhang H. et al. Oxidation of iridium coating on rhenium coated graphite at elevated temperature in stagnated air // Appl. Surf. Sci. 2015. 328. P. 436–443.
- Huang Y., Bai S., Zhang H. et al. Oxidation of iridium coatings on rhenium substrates at ultrahigh temperature in stagnant air: Its failure mechanism and life model // Surf. Coat. Technol. 2016. 288. P. 52–61.
- Toenshoff D., Lanam R., Ragaini J. et al. Iridium coated rhenium rocket chambers produced by electroforming // Proceedings of the 36th AIAA/ASME/SAE/ASEE Joint Propulsion Conference and Exhibit. Las Vegas, NV, USA. July 2000. AIAA 2000–3166.
- Mefford J., Rong X., Abakumov A. et al. Water electrolysis on La1 – xSrxCoO3 – δ perovskite electrocatalysts // Nat. Commun. 2016. 7. P. 11053.
- Bernt M., Siebel A., Gasteiger H.A. Analysis of voltage losses in PEM water electrolyzers with low platinum group metal loadings // J. Electrochem. Soc. 2018. 165. F305–F314.
- Millet P., Mbemba N., Grigoriev S.A. et al. Electrochemical performances of PEM water electrolysis cells and perspectives // Int. J. Hydrogen Energy. 2011. 36. P. 4134–4142.
- Bernt M., Hartig-Weiß A., Tovini M.F. et al. Current challenges in catalyst development for PEM water electrolyzers // Chemie-Ingenieur-Technik. 2020. 92. P. 31–39.
- Isakov A.V., Apisarov A.P., Nikitina A.O. Electrowinning and annealing of Ir–Re–Ir material // Nonferrous metals. 2017. 11. P. 55–60.
- Салтыкова Н.А., Печорская Л.С., Барабошкин А.Н. и др. Солевая пассивация при анодном растворении иридия в хлоридных расплавах // Электрохимия. 1986. 22. С. 579–584.
- Weiland R., Lupton D.F., Fischer, B. et al. High-temperature mechanical properties of the platinum group metals // Platinum Met. Rev. 2006. 50. № 4. P. 158–170.
- Докашенко С.И., Степанов В.П., Кириллова Е.В. Импеданс границы раздела поликристаллического золота с расплавленным хлоридом калия // Расплавы. 2004. 4. С. 47–61.
- Iridium: compounds information // URL: https://www.webelements.com/iridium/compounds.html.
- Stepanov V.P., Dokashenko S.I., Kirillova E.V. Frequency dependence of potentials of minimum capacitance for electrodes of copper subgroup metals in alkali halide melts // Russ. J. Electrochem. 2012. 48. P. 1005–1010.
- Kirillova E.V. Capacitance and impedance of rhenium in molten alkali metal chlorides // Russian Metallurgy. 2018. № 2. P. 123–127.
Дополнительные файлы











