HIGH-TEMPERATURE PASSIVATION OF THE SURFACE OF CANDIDATE MATERIALS FOR LSR BY ADDING O2– TO THE SALT PHASE OF THE HALIDE MELT
- Authors: Karfidov E.A.1, Zaikov Y.P.1, Nikitina E.V.1, Seliverstov K.E.1
-
Affiliations:
- Institute of High-Temperature Electrochemistry, Ural Branch of the Russian Academy of Sciences
- Issue: No 1 (2023)
- Pages: 39-47
- Section: Articles
- URL: https://ogarev-online.ru/0235-0106/article/view/138531
- DOI: https://doi.org/10.31857/S0235010622040065
- EDN: https://elibrary.ru/DHSZUO
- ID: 138531
Cite item
Full Text
Abstract
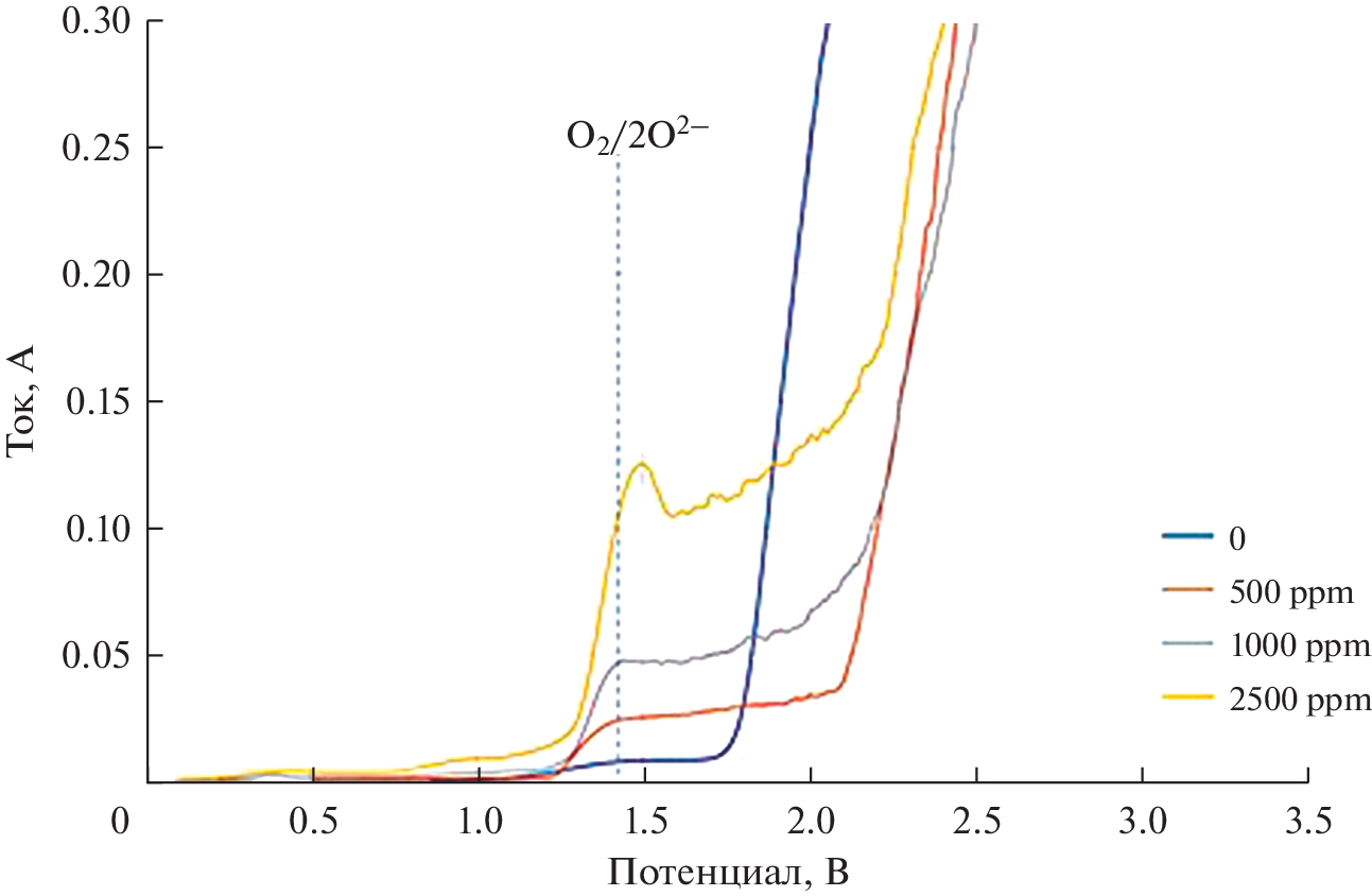
Experiments were carried out to determine the corrosion rate of stainless steel AISI 316 in a fluoride melt with different concentrations of O2– (by adding lithium oxide to the melt in the concentration range from 0 to 5 wt %). The corrosion rate decreases by an order of magnitude at an oxygen anion concentration in the melt from 0.2 to 0.4 wt %, which may indicate the detection of the phenomenon of high-temperature passivation of the material due to the modification of the composition of the fluoride melt and a decrease in its corrosion activity. In addition, the type of intergranular and pitting corrosion typical of stainless steels in fluoride melts, which is the most dangerous from the point of view of the structural reactor material, changes to continuous when lithium oxide is added due to the “healing” of individual corrosion centers with excess oxygen-containing compounds. The formation of a protective layer of the spinel type with a thickness of 1 μm was established.
About the authors
E. A. Karfidov
Institute of High-Temperature Electrochemistry, Ural Branch of the Russian Academy of Sciences
Email: neekeetina@mail.ru
Russia, Yekaterinburg
Yu. P. Zaikov
Institute of High-Temperature Electrochemistry, Ural Branch of the Russian Academy of Sciences
Email: neekeetina@mail.ru
Russia, Yekaterinburg
E. V. Nikitina
Institute of High-Temperature Electrochemistry, Ural Branch of the Russian Academy of Sciences
Author for correspondence.
Email: neekeetina@mail.ru
Russia, Yekaterinburg
K. E. Seliverstov
Institute of High-Temperature Electrochemistry, Ural Branch of the Russian Academy of Sciences
Email: neekeetina@mail.ru
Russia, Yekaterinburg
References
- Komarov V.Ye, Smolenskiy V.V., Afonichkin V.K. Perspektivy ispol’zovaniya rasplavlennykh soley v radiokhimicheskikh tekhnologiyakh [Prospects for the use of molten salts in radiochemical technologies] // Rasplavy. 2000. № 2. P. 59–65. [In Russian].
- LeBlanc D. // Nucl. Eng. Des. 2010. 240. Р. 1644–1656. https://doi.org/10.101j.nucengdes.2009.12.033
- Khokhlov V., Ignatiev V., Afonichkin V. Evaluating physical properties of molten salt reactor fluoride mixtures // Journal of Fluorine Chemistry. 2009. 130. Р. 30–37.
- Barnes J., Coutts R., Horne T., Thai J. Characterization of molten salts for application in molten salt reactors. PAM Review. 2019.
- Magnusson J., Memmott M., Munro T. Review of thermophysical property methods applied to fueled and un-fueled molten salts // Annals of Nuclear Energy. 2020. 146. Р. 107608.
- Serp J., Allibert M., Benes O. Delpech S., Feynberg O. and other. The molten salt reactor (MSR) in generation IV: overview and perspectives // Prog. Nucl. Energy. 2014. 77. Р. 308–319.
- Williams D.F. Assessment of candidate molten salt coolants for the advanced highi-temperature reactor (AHTR), 2006.
- Yadernyye reaktory. Ch. 3. Materialy dlya yadernykh reaktorov [Materials for nuclear reactors]. M.: Izd-vo inostrannoy literatury, 1956. [In Russian].
- Menli V., Kubs D., de Van D, Duglas D., Inui KH., Petriarka P., Roch T., Skott D. Metallurgicheskiye problemy, svyazannyye s ispol’zovaniyem rasplavlennykh sistem ftoridov [Metallurgical problems associated with the use of molten fluoride systems] // Yadernoye goryucheye i reaktornyye materialy. 1959. P. 36–52. [In Russian].
- Manly W.D., Adamson G.M., Coobs J.H., DeVan J.H., Douglas D.A., Hoffman E.E., Patriarca P., Aircraft reactor experiment-metallurgical aspects. ORNL-2349, 1957.
- Ignat’yev V.V., Kryukov O.V., Khaperskaya A.V. i dr. Zhidkosolevoy reaktor dlya zamykaniya yadernogo toplivnogo tsikla po vsem aktinoidam [Liquid-salt reactor for closing the nuclear fuel cycle for all actinides] // Atomnaya energiya. 2018. 125. № 5. P. 251–255. [In Russian].
- Young D.J. High Temperature Oxidation and Corrosion of Metals. Elsevier Science, 2016.
- Guo S., Zhang J., Wub W., Zhou W. Corrosion in the molten fluoride and chloride salts and materials development for nuclear applications // Progress in Material Science. 2018. 97. Р. 448–487.
- Wang Y., Zhang S., Ji X., Wang P., Li W. Material corrosion in molten fluoride salts // Int. J. Electrochem. Sci. 2018. 13. Р. 4891–4900.
- DeVan J.H., Evans R.B. Corrosion behavior of reactor materials in fluoride salt mixtures. ORNL-TM-328, 1962.
- Janz G.J. // Molten Salts Handbook. 1967. P. 383–387. https://doi.org/10.1016/B978-0-12-395642-2.50032-0
- Olson L.C., Ambrosek J.W., Sridharan K., Anderson M.H., Allen T.R. Materials corrosion in molten LiF–NaF–KF salt // J. Fluorine Chem. 2009. 130. P. 67–73.
- Kelleher B.C., Dolan K.P., Brooks P., Anderson M.H., Sridharan K. // J. Nucl. Eng. Radiat. Sci. 2015. 1. № 4. Р. 041010. https://doi.org/10.1115/1.4030963
- Zheng G., Kelleher B., Cao G., Anderson M., Allen T., Sridharan K. // J. Nucl. Mater. 2015. 46. Р. 143–150. https://doi.org/10.1016/j.jnucmat.2015.03.004
- Yang X., Zhang D., Liu M., Feng S. and other // Corrosion Sci. 2016. 109. Р. 62–67. https://doi.org/10.1016/j.corsci.2016.03.029
- De Van J.H. Effect of alloying additions of corrosion behavior of nickel-molybdenum alloys in fused fluoride mixtures. ORNL TM-2021, 1969.
- Ozeryanaya I.N. Corrosion of metals by molten-salts in heat-treatment processes // Met. Sci. Heat Treat. 1985. 27. № 3–4. Р. 184–188.
- Fabre S., Cabet C., Cassayre L., Chamelot P., Delepech S., Finne J., Massot L., Noel D. Use of electrochemical techniques to study the corrosion of metals in model fluoride melts // J. Nucl. Mater. 2013. 441. Р. 583–591.
- Delpech S., Cabet C., Slim C., Picard G.S. Molten fluorides for nuclear applications // Mater. Today. 2010. 13. № 12. Р. 34–41.
- Raiman S.S., Lee S. Aggregation and data analysis of corrosion studies in molten chloride and fluoride salts // J. Nuclear Materials. 2018. 511. P. 523–535.
Supplementary files








