Различение гребенчатых спектров у испытуемых с ослабленным слухом при двух схемах эксперимента
- Авторы: Нечаев Д.И.1, Милехина О.Н.1, Томозова М.С.1, Супин А.Я.1
-
Учреждения:
- Федеральное государственное бюджетное учреждение науки Институт проблем экологии и эволюции им. А.Н. Северцова РАН
- Выпуск: Том 37, № 3 (2023)
- Страницы: 269-280
- Раздел: СЛУХОВАЯ И ВЕСТИБУЛЯРНАЯ СИСТЕМЫ
- URL: https://ogarev-online.ru/0235-0092/article/view/138235
- DOI: https://doi.org/10.31857/S023500922303006X
- EDN: https://elibrary.ru/UGPERQ
- ID: 138235
Цитировать
Полный текст
Аннотация
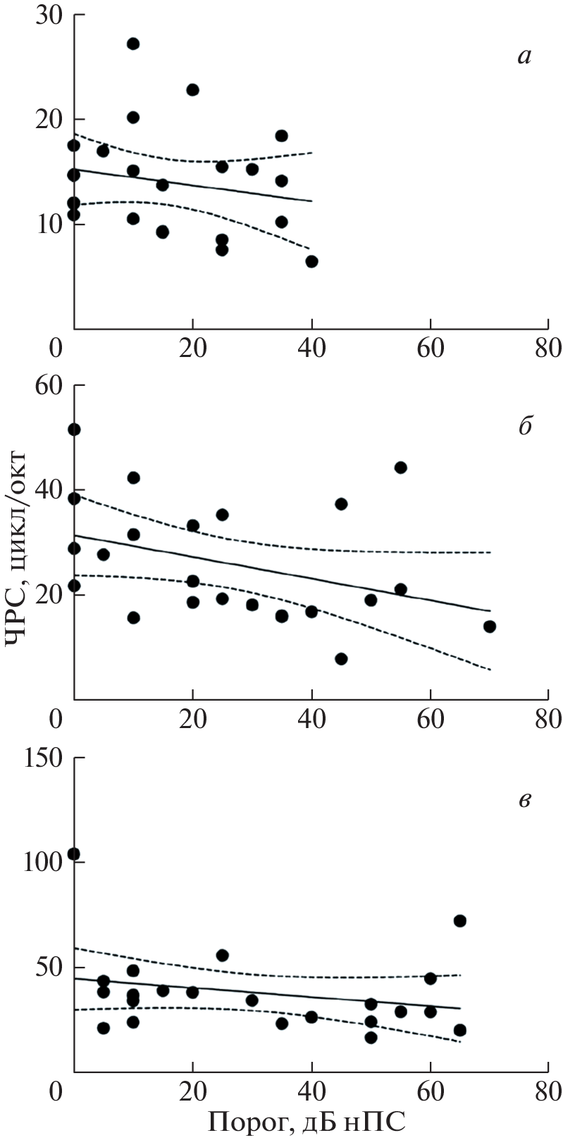
У испытуемых в возрасте от 30 до 82 лет измеряли частотную разрешающую способность (ЧРС) слуха как предельную плотность (цикл/окт) гребней спектра, при которой сигнал с гребенчатым спектром отличался от сигнала с другим расположением гребней на частотной шкале либо от сигнала с “плоским” (без гребенчатого рисунка) спектром. Сигналы имели либо спектральную полосу шириной 2 окт, центрированную на частотах 1, 2 или 4 кГц, либо широкую спектральную полосу (6 окт, от 0.125 до 8 кГц). Испытуемые старше 60 лет обнаруживали значительное повышение порогов обнаружения тонов по сравнению с нормой (тугоухость). Наблюдали корреляцию ЧРС с порогами обнаружения тона: чем выше порог, тем ниже ЧРС, если задача испытуемого состояла в различении сигналов с разным расположением гребней на шкале частот. Зависимость была статистически достоверной и составляла от –0.04 до –0.07 (цикл/окт)/дБ как для 2-окт, так и для 6-окт сигналов. Предполагается, что в этом случае различение двух сигналов было обусловлено преимущественно спектральным механизмом и зависело от соотношения плотности гребней в спектре сигнала и остроты настройки слуховых фильтров. Если задача состояла в различении гребенчатого и плоского сигналов, для 2-октавных сигналов связь между ЧРС и порогами обнаружения тона не была статистически достоверной. Для широкополосных сигналов связь была статистически достоверной и составляла –1.23 (цикл/окт)/дБ. Предполагается, что различение между сигналами с гребенчатым и плоским спектром обусловлено преимущественно временным анализом и зависело от того, насколько широкий диапазон звуковых частот доступен для восприятия.
Ключевые слова
Об авторах
Д. И. Нечаев
Федеральное государственное бюджетное учреждение науки Институт проблем экологии и эволюцииим. А.Н. Северцова РАН
Автор, ответственный за переписку.
Email: dm.nechaev@yandex.ru
Россия,
119071, Москва, Ленинский проспект, д. 33
О. Н. Милехина
Федеральное государственное бюджетное учреждение науки Институт проблем экологии и эволюцииим. А.Н. Северцова РАН
Email: dm.nechaev@yandex.ru
Россия,
119071, Москва, Ленинский проспект, д. 33
М. С. Томозова
Федеральное государственное бюджетное учреждение науки Институт проблем экологии и эволюцииим. А.Н. Северцова РАН
Email: dm.nechaev@yandex.ru
Россия,
119071, Москва, Ленинский проспект, д. 33
А. Я. Супин
Федеральное государственное бюджетное учреждение науки Институт проблем экологии и эволюцииим. А.Н. Северцова РАН
Email: dm.nechaev@yandex.ru
Россия,
119071, Москва, Ленинский проспект, д. 33
Список литературы
- Anderson E.S., Oxenham A.J., Nelson P.B., Nelson D.A. Assessing the role of spectral and intensity cues in spectral ripple detection and discrimination on cochlear-implant users. J. Acoust. Soc. Am. 2012. V. 132. P. 3925–3934. https://doi.org/10.1121/1.4763999
- Bernstein J.G.W., Golbarg M.G., Shamma S., Gallun F.J., Theodoroff S.M., Leek M.R. Spectrotemporal modulation sensitivity as a predictor of speech intelligibility for hearing-impaired listeners. J. Am. Acad. Audiol. 2013. V. 24. P. 293–306. https://doi.org/10.3766/jaaa.24.4.5
- Bilsen F.A., Ritsma R.J. (1970) Some parameters influencing the perceptibility of pitch. J. Acoust. Soc. Am. 1970. V. 47. P. 469–475. https://doi.org/10.1121/1.1911916
- Chi T., Gao Y., Guyton M.C., Ru P., Shamma S. (1999). Spectro-temporal modulation transfer functions and speech intelligibility. J. Acoust. Soc. Am., 1999. V. 106. P. 2719–2732. https://doi.org/10.1121/1.428100
- Davies-Venn E., Nelson P., Souza P. Comparing auditory filter bandwidths, spectral ripple modulation detection, spectral ripple discrimination, and speech recognition: Normal and impaired hearing. J. Acoust. Soc. Am. 2015. V. 138. P. 492–503. https://doi.org/10.1121/1.4922700
- Festen J.M., Plomp R. Relations between auditory functions in impaired hearing. J. Acoust. Soc. Am. 1983. V. 73. P. 652–662. https://doi.org/10.1121/1.388957
- Glasberg B.R., Moore B.C.J. Auditory filter shapes in subjects with unilateral and bilateral cochlear impairments. J. Acoust. Soc. Am. 1986. V. 79. P. 1020–1033. https://doi.org/10.1121/1.393374
- He N., Mills J.H., Ahlstrom J.B., Dubno J.R. Age-related differences in the temporal modulation transfer function with pure-tone carriers. J. Acoust. Soc. Am. 2008. V. 124. P. 3841–3849. https://doi.org/10.1121/1.2998779
- Henry B.A., Turner C.W., Behrens A. Spectral peak resolution and speech recognition in quiet: Normal hearing, hearing impaired, and cochlear implant listeners. J. Acoust. Soc. Am. 2005. V. 118. P. 1111–1121. https://doi.org/10.1121/1.1944567
- Hopkins K., Moore B.C.J. (2011) The effects of age and cochlear hearing loss on temporal fine structure sensitivity, frequency selectivity, and speech reception in noise. J. Acoust. Soc. Am. 2011. V. 130. P. 334–349. https://doi.org/10.1121/1.3585848
- Horbach M., Verhey J.L., Hots J. On the pitch strength of bandpass noise in normal-hearing and hearing-impaired listeners. Trends in Hearing. 2018. V. 22. P. 1–14. https://doi.org/10.1177/2331216518787067
- Krumbholz K., Patterson R.D., Nobbe A. Asymmetry of masking between noise and iterated rippled noise: Evidence for time interval processing in the auditory system. J. Acoust. Soc. Am. 2001. V. 110. P. 2096–2107. https://doi.org/10.1121/1.1395583
- Leek M.R., Summers V. Auditory filter shapes of normal-hearing and hearing-impaired listeners in continuous broadband noise. J. Acoust. Soc. Am. 1993. V. 94. P. 3127–3137. https://doi.org/10.1121/1.407218
- Leek M.R., Summer V. Pitch strength and pitch dominance of iterated rippled noises in hearing-impaired listeners. J. Acoust. Soc. Am. 2001. V. 109. P. 2944–2954. https://doi.org/10.1121/1.1371761
- Levitt H. Transformed up-down methods in psychoacoustics. J. Acoust. Soc. Am. 1971. V. 49. P. 467–477. https://doi.org/10.1121/1.1912375
- Litvak L.M., Spahr A.J., Saoji A.A., Fridman G.Y. Relationship between the perception of spectral ripple and speech recognition in cochlear implant and vocoder listeners. J. Acoust. Soc. Am. 2007. V. 122. P. 982–991. https://doi.org/10.1121/1.2749413
- Mehraei G., Gallun F.J., Leek M.R., Bernstein J.G. Spectrotemporal modulation sensitivity for hearing-impaired listeners: Dependence on carrier center frequency and the relationship to speech intelligibility. J. Acoust. Soc. Am. 2014. V. 136. P. 301–316. https://doi.org/10.1121/1.4881918
- Milekhina O.N., Nechaev D.I., Supin A.Y. Rippled-spectrum resolution dependence on frequency: Estimates obtained by discrimination from rippled and nonrippled reference signals. J. Acoust. Soc. Am. 2019. V. 146. P. 2231–2239. https://doi.org/10.1121/1.5127835
- Moore B.C.J., Vickers D.A., Plack C.J., Oxenham A.J. Inter-relationship between different psychoacoustic measures assumed to be related to the cochlear active mechanism. J. Acoust. Soc. Am. 1999. V. 106. P. 2761–2778. https://doi.org/10.1121/1.428133
- Nambi P.M.A., Sangamanatha A.V., Vikas M.D., Bhat J.S., Shama K. Perception of spectral ripples and speech perception in noise by older adults. Ageing International. 2016. V. 41. https://doi.org/10.1007/s12126-016-9248-4
- Narne V.K., Sharma M., Van Dun B., Bansal S., Prabhu L., Moore B.C.J. Effects of spectral smearing on performance of the spectral ripple and spectro-temporal ripple test. J. Acoust. Soc. Am. 2016. V. 140. P. 4298–4306. https://doi.org/10.1121/1.4971419
- Nechaev D.I., Milekhina O.N., Supin A.Y. Estimates of ripple-density resolution based on the discrimination from rippled and nonrippled reference signals. Trends in Hearing. 2019. V. 23. https://doi.org/10.1177/2331216518824435
- Patterson R.D., Nimmo-Smith I., Weber D.L., Milory R. The deterioration of hearing with age: Frequency selectivity, the critical ratio, the audiogram, and speech threshold. J. Acoust. Soc. Am. 1982. V. 72. P. 1788–1803. https://doi.org/10.1121/1.388652
- Patterson R.D., Handel S., Yost W.A., Datta A.J. The relative strength of the tone and noise components in iterated rippled noise. J. Acoust. Soc. Am. 1996. V. 100. P. 3286–3294. https://doi.org/10.1121/1.417212
- Plomp R. Auditory handicap of hearing impairment and the limited benefit of hearing aids. J. Acoust. Soc. Am. 1978. V. 63. P. 533–549. https://doi.org/10.1121/1.381753
- Souza P.E., Boike K.T., Witherell K., Tremblay K.L. Prediction of speech recognition from audibility in older listeners with hearing loss: Effects of age, amplification, and background noise. J. Am. Acad. Audiol. 2007. V. 18. P. 54–65. https://doi.org/10.3766/jaaa.18.1.5
- Stein A., Ewert S.D., Wiegrebe L. Perceptual interaction between carrier periodicity and amplitude modulation in broadband stimuli: A comparison of the autocorrelation and modulation-filterbank model. J. Acoust. Soc. Am. 2005. V. 118. P. 2470–2481. https://doi.org/10.1121/1.2011427
- Supin A.Ya., Popov V.V., Milekhina O.N., Tarakanov M.B. Ripple depth and density resolution of rippled noise. J. Acoust. Soc. Am. 1999. V. 106. P. 2800–2804. https://doi.org/10.1121/1.428105
- Supin A.Ya., Milekhina O.N., Nechaev D., Tomozova M. Ripple density resolution dependence on ripple width. PLoS ONE. 2022. V. 17. e0270296. https://doi.org/10.1371/journal.pone.0270296
- Yost W.A. The dominance region and ripple noise pitch: A test the peripheral weighting model. J. Acoust. Soc. Am. 1982. V. 72. P. 416–425. https://doi.org/10.1121/1.388094
- Yost W.A. Pitch strength of iterated rippled noise. J. Acoust. Soc. Am. 1996. V. 100. P. 3329–3335. https://doi.org/10.1121/1.416973
- Yost W.A., Patterson R.D., Sheft S. (1996). A time domain description for the pitch strength of iterated rippled noise. J. Acoust. Soc. Am. 1996. V. 99. P. 1066–1078. https://doi.org/10.1121/1.414593
- Yost W.A., Patterson R., Sheft S. The role of the envelope in processing iteration rippled noise. J. Acoust. Soc. Am. 1998. V. 104. P. 2349–2361. https://doi.org/10.1121/1.423746
- Zwicker E. Masking and psychophysical excitation as consequences of the ear’s frequency analysis. Frequency analysis and periodicity detection in hearing. Eds. Plomp R., Smoorenburg G.F. Leiden, the Netherlands: Sijthoff, 1970. P. 376–394.
Дополнительные файлы









