Компрессия в слуховой системе
- Авторы: Нечаев Д.И.1
-
Учреждения:
- Федеральное государственное бюджетное учреждение науки Институт проблем экологии и эволюции им. А.Н. Северцова РАН
- Выпуск: Том 37, № 2 (2023)
- Страницы: 119-129
- Раздел: ОБЗОРЫ
- URL: https://ogarev-online.ru/0235-0092/article/view/138216
- DOI: https://doi.org/10.31857/S0235009223010067
- EDN: https://elibrary.ru/XZTJZE
- ID: 138216
Цитировать
Полный текст
Аннотация
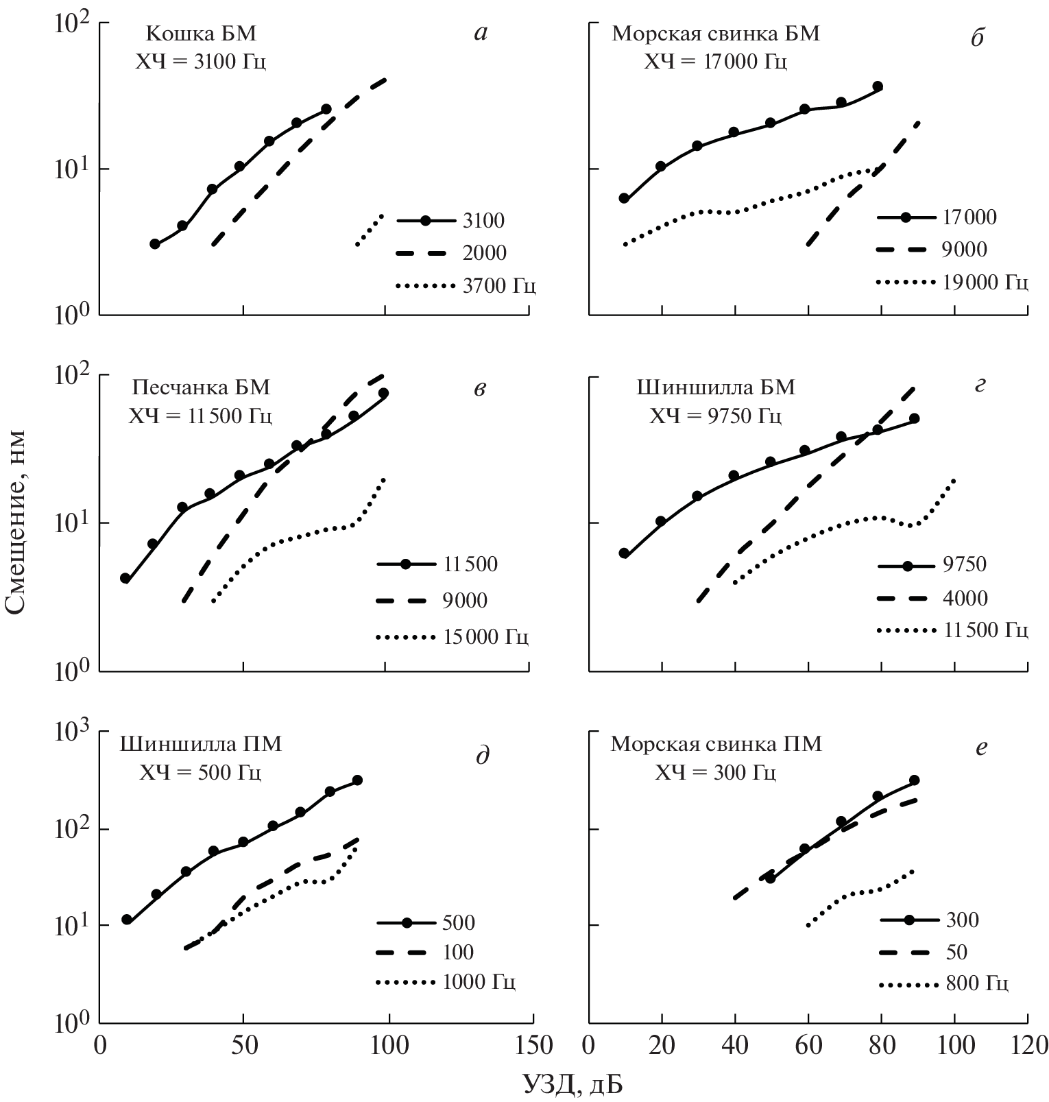
Обзор посвящен механизму компрессии в слуховой системе млекопитающих. Данный механизм обеспечивает высокую чувствительность при широком динамическом диапазоне системы, а также обостряет частотную настройку. В обзоре обсуждаются три основных способа выявить компрессию: прямая регистрация колебаний базилярной мембраны; регистрация слухового нерва; психоакустические исследования. В конце обзора будет кратко затронут вопрос морфофункциональной основы компрессии в слуховой улитке
Ключевые слова
Об авторах
Д. И. Нечаев
Федеральное государственное бюджетное учреждение наукиИнститут проблем экологии и эволюции им. А.Н. Северцова РАН
Автор, ответственный за переписку.
Email: dm.nechaev@yandex.ru
Россия,
119071, Москва, Ленинский проспект, д. 33
Список литературы
- Bacon S.P., Boden L.N., Lee J., Repovsch J.L. Growth of simultaneous masking for f < f effects of overall frequency and level. J. Acoust. Soc. Am. 1999. V. 106. P. 341–350.
- Bekesy G. Experiments in Hearing, Columbus, OH: McGraw-Hill. 1960.
- Brownell W.E., Bader C.R., Bertrand D., Ribaupierre Y.D. Evoked mechanical responses of isolated cochlear outer hair cells. Science. 1985. V. 227. P. 194–196.
- Chan D.K., Hudspeth A.J. Ca2+ current-driven nonlinear amplification by the mammalian cochlear in vitro. Nat. Neurosci. 2005. V. 8. P. 149–155.
- Cheatham M.A., Huynh K.H., Gao J., Zuo J., Dallos P. Cochlear function in prestin knockout mice. J. Physiol. 2004. V. 560. P. 821–830.
- Cheatham M.A., Low-Zeddies S., Naik K., Edge R., Zheng J., Anderson C.T., Dallos P. A chimera analysis of prestin knock-out mice. J. Neurosci. 2009. V. 29. P. 12000–12008.
- Cooper N.P. Compression in the peripheral auditory system. Compression: From Cochlea to Cochlear Implants. New York. Springer-Verlag. 2004. P. 62–106.
- Cooper N.P., Yates G.K. Nonlinear input-output function derived from the responses of guinea-pig cochlear nerve fibers: variations with characteristic frequency. Hearing Research. 1994. V. 78. P. 221–234.
- Cooper N.P., Dong W. Sound-evoked shifts in the baseline position of the apical cochlear partition. Assoc. Res. Otolaryngol Abstr. 2001. V. 24. P. 228.
- Cooper N.P., Rhode W.S. Basilar membrane mechanics in the hook region of cat and guinea-pig cochleae: sharp tuning and nonlinearity in the absence of baseline position shifts. Hearing Research. 1992. V. 63. P. 163–190.
- Cooper N.P., Rhode W.S. Mechanical responses to two-tone distortion products in the apical and basal turns of the mammalian cochlea. J. Neurophysiol. 1997. V. 78. P. 261–270.
- Dallos P., Wu X., Cheatham M.A., Gao J., Zheng J., Anderson C.T., Jia S., Wang X., Cheng W.H., Sengupta S., He D.Z., Zuo J. Prestin-based outer hair cell motility is necessary for mammalian cochlear amplification. Neuron. 2008. V. 58. P. 333–339.
- Frank G., Hemmert W., Gummer A.W. Limiting dynamics of high-frequency electromechanical transduction of outer hair cells. Proc. Natl. Acad. Sci. 1999. V.96. P. 4420–4425.
- Gold T. Hearing. II. The physical basis of the action of the cochlea. Proceedings of the Royal Society of London B: Biological Sciences. 1948. V. 135. P. 1386–1391.
- Guinan Jr J.J., Salt A., Cheathnam M.A. Progress in cochlear physiology after Bekesy. Hearing research. 2012. V. 293. P. 12–20.
- Hicks M.L., Bacon S.P. Psychophysical measures of auditory nonlinearities as a function of frequency in individuals with normal hearing. J. Acoust. Soc. Am. 1999. V. 105. P. 326–338.
- Johnson S.L., Beurg M., Marcotti W., Fettiplace R. Prestin-driven cochlear amplification is not limited by the outer hair cell membrane time constant. Neuron. 2011. V. 70. P. 1143–1154.
- Kemp D.T. Stimulated acoustic emissions from within the human auditory system. J. Acoust. Soc. Am. 1978. V. 64. P. 1368–1391.
- Liberman M.C. The cochlear frequency map for the cat: labeling auditory nerve fibers of known characteristic frequency. J. Acoust. Soc. Am. 1982. V. 72. P. 1441–1449.
- Liberman M.C., Gao J., He D.Z., Wu X., Jai S., Zuo J. Prestin is required for electromotility of the outer hair cell and for the cochlear amplifier. Nature. 2002. V. 419. P. 300–304.
- Nelson D.A., Schroder A.C., Wojtczak M. A new procedure for measuring peripheral compression in normal-hearing and hearing-impaired listeners. J. Acoust. Soc. Am. 2001. V. 110. P. 2045–2064.
- Oxenham A.J., Plack C.J. A behavioral measure of basilar-membrane nonlinearity in listeners with normal and impaired hearing. J. Acoust. Soc. Am. 1997. V. 101. P. 3666–3675.
- Oxenham J., Bacon S.P. Psychophysical manifestations of compression: normal-hearing listeners. Compression: From Cochlea to Cochlear Implants. New York. Springer-Verlag. 2004. P. 18–61.
- Popov V.V., Nechaev D.I., Sysueva E.V., Supin A.Ya. The rate of cochlear compression in a dolphin: a forward-masking evoked-potential study. J. Comparative Physiology A. 2020. V. 206. P. 757–766.
- Rhode W.S. Observations of the vibration of the basilar membrane in squirrel monkeys using the Mossbauer technique. J. Acoust. Soc. Am. 1971. V. 49. P. 1218–1231.
- Rhode W.S., Recio A. Study of mechanical motions in the basal region of the chinchilla cochlear. J. Acoust. Soc. Am. 2000. V. 107. P. 3317–3332.
- Ruggero M.A., Rich N.C., Recio A., Narayan S.S., Robleas L. Basilar membrane response to tones at the base of the chinchilla cochlea. J. Acoust. Soc. Am. 1997. V. 101. P. 2151–2163.
- Ruggero M.A., Robles L., Rich N.C., Recio A. Basilar membrane responses to two-tone and broadband stimuli. Philos. Trans. R. Soc. Lond. B. Biol. Sci. 1992. V. 226. P. 307–315.
- Sachs M.B., Kiang N.Y.S. Two-tone inhibition in auditory nerve fibers. J. Acoust. Soc. Am. 1968. V. 43. P. 1120–1128.
- Spoendlin H. The innervation of the organ of Corti. J. Laryngol. Otol. 1967. V. 81. P. 717–738.
- Yates G.K. Basilar membrane nonlinearity and its influence on auditory nerve rate-intensity functions. Hearing Research. 1990. V. 50. P. 145–162.
- Yates G.K., Winter I.M., Robertson D. Basilar membrane nonlinearity determines auditory nerve rate-intensity function and cochlear dynamic range. Hearing Research. 1990. V. 45. P. 203–220.
- Zenner H.P., Zimmermann U., Schmitt U. Reversible contraction of isolated mammalian cochlear hair cells. Hearing Research. 1985. V. 18. P. 127–133.
- Zheng J., Shen W., He D.Z., Long K.B., Madison L.D., Dallos P. Prestin is the motor protein of cochlear outer hair cells. Nature. 2000. V. 405. P. 149–155.
Дополнительные файлы














