Рeculiarities of control commands generation for oculographic interfaces under the conditions of vestibular impacts
- Autores: Turovsky Y.A.1,2, Alekseev V.Y.1, Muradova L.G.1, Mironkin A.P.1
-
Afiliações:
- Voronezh State University
- V. A. Trapeznikov Institute of Control Sciences of Russian Academy of Sciences
- Edição: Volume 37, Nº 1 (2023)
- Páginas: 49-59
- Seção: ЗРИТЕЛЬНАЯ СИСТЕМА
- URL: https://ogarev-online.ru/0235-0092/article/view/138103
- DOI: https://doi.org/10.31857/S0235009223010080
- EDN: https://elibrary.ru/AUFZKR
- ID: 138103
Citar
Texto integral
Resumo
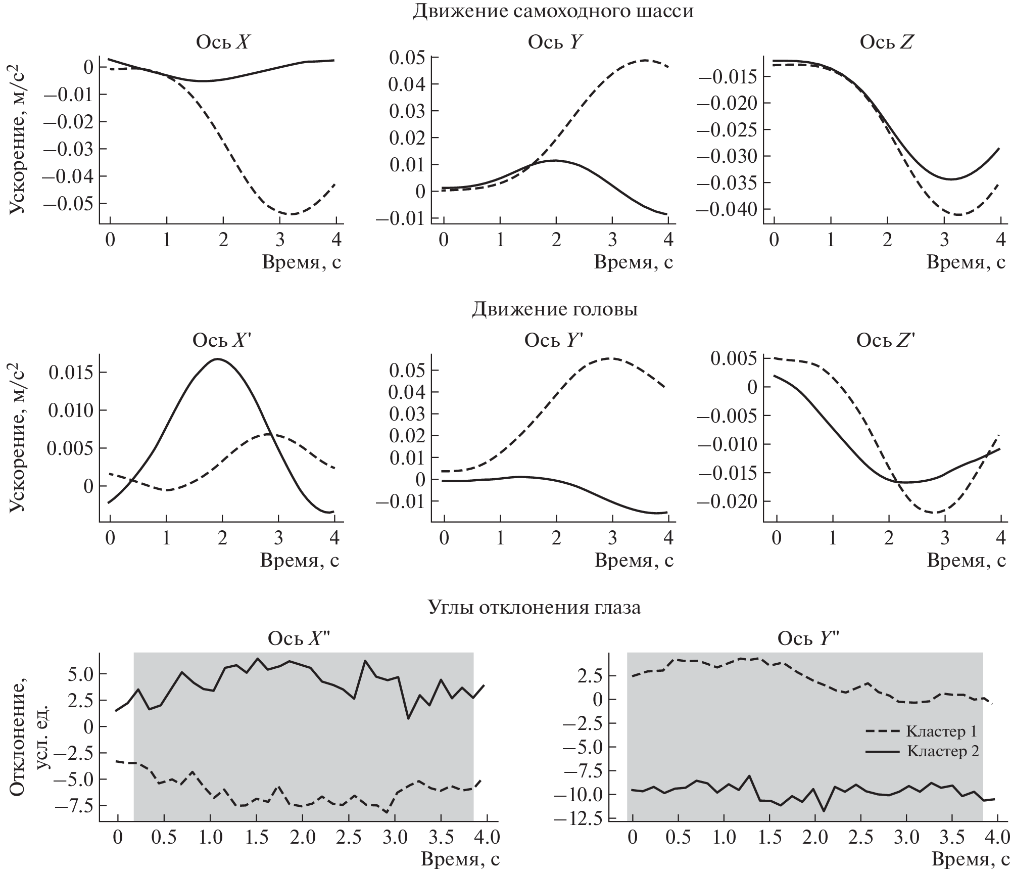
The article presents the results of a study of the parameters of human eye movement when using an oculographic interface to control a self-propelled chassis. In the course of the experiment, it was shown that from race to race, the time spent by the subjects on one race was reduced, the number of errors and the number of subjects who did not successfully complete their races decreased. On the basis of cluster analysis, individual typological features of the reaction of eye movement to the movement of the user’s head during the execution of the main commands for controlling the self-propelled chassis were revealed. It is shown that when the self-propelled chassis is moving, the generation of the “forward” and “backward” commands by the optical-oculographic interface is generally carried out according to the scenario common for users, and does not require correction when controlling the self-propelled chassis. At the same time, the generation of turn commands is a more individual process, which is associated both with the calibration of the device and with the individual position of the user’s head and eyes and, therefore, requires more careful control when using oculographic interfaces.
Palavras-chave
Sobre autores
Ya. Turovsky
Voronezh State University; V. A. Trapeznikov Institute of Control Sciences of Russian Academy of Sciences
Autor responsável pela correspondência
Email: yaroslav_turovsk@mail.ru
Russia,
394018, Voronezh, Universitetskaya pl., 1; Russia,
117997, Moscow, Profsoyuznaya street, 65
V. Alekseev
Voronezh State University
Email: yaroslav_turovsk@mail.ru
Russia,
394018, Voronezh, Universitetskaya pl., 1
L. Muradova
Voronezh State University
Email: yaroslav_turovsk@mail.ru
Russia,
394018, Voronezh, Universitetskaya pl., 1
A. Mironkin
Voronezh State University
Email: yaroslav_turovsk@mail.ru
Russia,
394018, Voronezh, Universitetskaya pl., 1
Bibliografia
- Andreyeva E.A., Vergiles N.Yu., Lomov B.V. Mekhanizm elementarnykh dvizheniy glaza kak sledyashchaya Sistema [The mechanism of elementary eye movements as a tracking system]. Motornyye komponenty zreniya [Motor components of vision]. Moscow. Nauka publ, 1975. P. 7–55 (in Russian)
- Barabanshchikov V.A., Okutin O.L., Okutina G.Yu. Chuvstvitelnost aytrekerov i tochnost registratsii dvizheniya glaz [Sensitivity of eye trackers and accuracy of eye movement registration]. Eksperimentalnaya psikhologiya v Rossii: traditsii i perspektivy [Experimental psychology in Russia: traditions and perspectives]. Moscow. The institute of Psychology of Russian Academy of Science, 2010. P. 90–96 (in Russian).
- Person R.S., Elektromiografiya v issledovaniyakh cheloveka [Electromyography in human research]. Moscow. Medicine, 1969. 231 p. (in Russian).
- Turitsyn M.I., Anokhin A.N., Volovod D.A., Gerasimchuk I.S., Mashkovtseva R.I. Issledovaniye kharakteristik i vozmozhnostey primeneniya byudzhetnogo aytrekera v ergonomicheskikh zadachakh [Study of the characteristics and possibilities of using a budget eye-tracker in ergonomic tasks]. Chelovecheskiy faktor v slozhnykh tekhnicheskikh sistemakh i sredakh [Human factor in complex technical systems and environments]. Obninsk. Severnaya zvezda, 2016. P. 107–113 (in Russian).
- Turovskiy Ya.A., Alekseyev A.V., Ippolitov Yu.A. Informatsionnaya sistema dopolnitelnogo kanala obratnoy svyazi dlya videookulograficheskikh interfeysov chelovek-kompyuter [Information system of additional channel of feedback for video-oculographic interfaces human-computer.]. Journal of new medical technologies. 2017. V. 24 (2). P. 152–157. https://doi.org/10.12737/article_5947d43a55d805.86585568 (in Russian).
- Turovskiy Ya.A., Kurgalin S.D., Alekseyev A.V. Analiz dvizheniya glaz cheloveka pri upravlenii samokhodnym shassi s ispolzovaniyem sistemy videookulograficheskogo interfeysa. Sensornye sistemy [Analysis of human eye movement when driving a self-propelled chassis using a video oculographic interface system]. Sensory Systems. 2017. V. 31 (1). P. 51–58 (in Russian).
- Turovskiy Ya.A.. Kurgalin S.D. Vvedeniye v konstruirovaniye perspektivnykh interfeysov chelovek-kompyuter [An introduction to designing advanced human-computer interfaces]. Voronezh. Izdatelskiy dom VGU, 2017. 188 p. (in Russian).
- Fedotchev A.I., Parin S.B., Polevaya S.A., Velikova S.D. Tekhnologii “interfeys mozg-kompyuter” i neyrobioupravleniye: sovremennoye sostoyaniye. problemy i vozmozhnosti klinicheskogo primeneniya (obzor) [Brain-computer interfaces and neurofeedback tecknologies: current state, problems and clinical prospects (review)]. Sovremennye tehnologii v medicine. 2017. V. 9 (1). P. 175–184 (in Russian). https://doi.org/10.17691/stm2017.9.1.22
- Yarbus A.L. Rol dvizheniy glaz v protsesse zreniya [The role of eye movement in the process of vision]. Moscow. Nauka publ, 1965. 166 p. (in Russian).
- Bronstein A., Lempert T. Dizziness: A Practical Approach to Diagnosis and Management. Cambridge, Cambridge University Press. 2017. 191 p.
- Hampton L. Refrexes. URL: https://www.physio-pedia.com/Reflexes (accessed 01.06.2022)
- Hoffman J.E. Visual attention and eye movements. Attention. Hove, UK. Psychology Press, 1998. P. 119–154.
- Schreiber K., Haslwanter T. Improving calibration of 3-D video oculography systems. IEEE transactions of Biomedical Engineering. 2004. V. 51 (4). P. 676–679. https://doi.org/10.1109/TBME.2003.821025
- Tobii. Tobii Pro Glasses 3. URL: https://www.tobiipro.com/ product-listing/tobii-pro-glasses-3/ (accessed 01.06.2022)
- Wolpaw J.R., Birbaumer N., McFarland D.J., Pfurtscheller G., Vaughan T.M.. Brain-computer interfaces for communication and control. Clin Neurophysiol. 2002; V. 113 (6). P. 767–791. https://doi.org/10.1016/s1388-2457(02)00057-3
Arquivos suplementares











