Численное моделирование реакции Черного моря на вторжение аномально холодного воздуха 23–25 января 2010 года
- Авторы: Ефимов В.В.1, Яровая Д.А.1
-
Учреждения:
- Морской гидрофизический институт РАН
- Выпуск: Том 40, № 1 (2024)
- Страницы: 130-145
- Раздел: Математическое моделирование морских систем
- URL: https://ogarev-online.ru/0233-7584/article/view/256503
- EDN: https://elibrary.ru/GAKMLD
- ID: 256503
Цитировать
Аннотация
Цель. Цель работы – исследовать реакцию верхнего слоя Черного моря на вторжение холодного воздуха 23–25 января 2010 г.
Методы и результаты. Для численного исследования морских полей использовалась совместная мезомасштабная модель море – атмосфера NOW с разрешением 1 км. Воспроизведено изменение температуры поверхности моря 23–25 января 2010 г. вследствие холодного вторжения. Рассмотрены и количественно оценены основные факторы, которые повлияли на изменение температуры верхнего слоя: горизонтальная адвекция, охлаждение поверхности моря за счет потоков явного и скрытого тепла и влияние вертикального турбулентного перемешивания. Исследованы основные изменения, которые произошли в холодном промежуточном слое.
Выводы. Рассмотрено изменение вертикального распределения среднемесячной температуры, солености и плотности по данным реанализа Copernicus за 2009–2010 гг. и показано наличие холодного промежуточного слоя на средней глубине 60 м во все месяцы за исключением переходного зимне-весеннего периода. По результатам моделирования NOW показано, что понижение температуры поверхности на большей части моря произошло в результате тепло- и массообмена с атмосферой. Влияние горизонтальной адвекции и перемешивания через нижнюю границу холодного промежуточного слоя проявилось только в отдельных небольших областях, т. е. имело локальный эффект. Конвективное охлаждение захватило квазиоднородный поверхностный слой до глубин около 40–45 м и составило ~ 1 °С. Кроме того, показано, что за время холодного вторжения произошло понижение глубины залегания холодного промежуточного слоя. Подтверждено представление о вторичности локальных холодных вод в мелководной северо-западной части моря как источника формирования холодного промежуточного слоя. Плотность более холодной, но менее соленой прибрежной воды препятствует ее опусканию до верхней границы холодного промежуточного слоя.
Полный текст
Введение
Сезонное выхолаживание Черного моря в осенне-зимний период иногда сопровождается эпизодами резкого понижения температуры воздуха в результате вторжений масс холодного воздуха через северную и северо-восточную границы региона. Обычно с холодными вторжениями связывается формирование такой интересной и важной особенности термохалинной структуры моря как холодный промежуточный слой (ХПС): cчитается, что минимум температуры воды на глубинах 50–90 м является результатом глубокой конвекции масс холодной воды в зимний период года в центрах циклонических круговоротов [1]. Этому процессу способствует развитие в атмосфере над морем циклонической циркуляции, приводящей к подъему вод в центральных областях моря, уменьшению там толщины верхнего перемешанного слоя и его более интенсивному охлаждению 1 [2].
Вторым механизмом развития ХПС считается склоновая адвекция холодной воды из мелководной северо-западной части моря в юго-западную и далее в южную и юго-восточную прибрежные части моря Основным Черноморским течением (ОЧТ). При этом часть этих прибрежных холодных вод захватывается мезомасштабными антициклоническими вихрями в области ОЧТ и распространяется затем на всю область Черного моря [1, 3–7].
Изучение механизмов формирования ХПС в Черном море активизировалось в последние два десятилетия. Этому способствовало выполнение программы мониторинга океана ARGO, позволившей существенно дополнить имевшуюся базу многолетних, но достаточно разрозненных данных судовых измерений температуры, скорости и солености [8]. Кроме того, современные численные модели циркуляции в системе атмосфера – море позволяют решать задачу воспроизведения термогидродинамических полей и их изменчивости в широком диапазоне пространственно-временных масштабов [9, 10]. Не останавливаясь на детальном анализе современного состояния изученности термодинамических процессов в Черном море и, в частности, формирования ХПС, отметим в связи с этим работы [11, 12]. В работе [11] с использованием реалистического метеорологического форсинга выполнено моделирование циркуляции в море на климатическом временном масштабе и подтверждено отмеченное выше представление о механизмах формирования ХПС в Черном море. В [12] представлены результаты анализа накопленного массива данных измерений притопленными буями, позволившие изучить детали формирования структуры ХПС, его междугодичной изменчивости и подтвердить наблюдавшуюся в последнее десятилетие тенденцию к уменьшению его глубины.
Как правило, с периодами вторжения холодных масс воздуха через северную и северо-восточную границы региона связаны такие экстремальные явления погоды, как Новороссийская бора [13], оледенение дорог в степной части и значительное понижение температуры воздуха в обычно теплой области Южного берега Крыма. На практике вторжения холодного воздуха сопровождаются случаями сильных туманов над бухтами в приморских городах, нарушением паромного сообщения, а в атмосфере над морем – образованием характерных облачных «дорожек» [14, 15]. В то же время реакция самого моря на эти случаи вторжения изучена недостаточно.
Один из таких случаев, рассмотренных в настоящей статье, относится к 23–25 января 2010 г. Ранее он был рассмотрен нами в [14, 15] для другой цели – изучения валиковой (двумерной) конвекции в атмосфере c использованием численной модели атмосферной циркуляции WRF. Цель работы – изучение реакции верхнего слоя Черного моря на это вторжение холодного воздуха с использованием совместной модели, позволяющей численно воспроизвести процессы взаимодействия в системе атмосфера – море.
Численная модель
Совместная модель NOW состоит из известной атмосферной модели WRF, морской модели NEMO последней версии 4 и приложения OASIS, которое осуществляет обмен данными между WRF и NEMO [16]. Более подробно эта модель описана в наших предыдущих работах [17, 18].
При моделировании использовались две вложенные сетки с разрешением 3 и 1 км. Обмен данными происходил как между основными, так и между вложенными доменами. Каждые два часа от NEMO к WRF передаются температура поверхности моря и скорости течения на поверхности, от WRF к NEMO ‒ радиационные потоки тепла (коротковолновый и длинноволновый), потоки явного и скрытого тепла, напряжение трения ветра, а также разность между испарившейся влагой и выпавшими осадками. В атмосферной модели использовалось 37 вертикальных уровней, в морской ‒ 75.
Для параметризации планетарного пограничного слоя в WRF использовалась схема Yonsei University Scheme. Для параметризации вертикального турбулентного перемешивания в NEMO применялась схема Generic Length Scale. Результаты моделирования выводились с шагом 1 ч. В WRF и NEMO временной шаг при моделировании составлял соответственно 15 и 300 c для расчетной сетки с разрешением 3 км, 5 и 100 с для сетки с разрешением 1 км. Как и в предыдущей нашей работе [18], начальные условия для морской модели, а также рельеф дна были взяты из глобального реанализа Copernicus 2 с разрешением 1/12°, а начальные и граничные условия для атмосферной модели – из реанализа ERA5. Так как реанализ Copernicus получен при помощи модели NEMO с усвоением данных наблюдений и атмосферным форсингом на поверхности моря, взятым из реанализа ERA5, это позволяет значительно сократить время адаптации NEMO и WRF друг к другу во время совместного моделирования.
Расчет был начат в 00:00 22 января, за сутки до начала эпизода вторжения, который продолжался около 4 сут, а общая длительность моделирования составила 5 сут. В связи с небольшой длительностью моделирования влияние речного стока в морской модели не учитывалось. В атмосферной модели в расчетной области с разрешением 3 км использовалось спектральное «притягивание» – метод, при котором во время моделирования атмосферные поля каждые шесть часов корректируют, т. е. «подтягивают» к крупномасштабным полям реанализа.
Результаты и обсуждение
Особенности развития эпизода вторжения
Как правило, вторжение холодного воздуха на Черное море через северную, северо-восточную границы развивается на юго-восточной периферии антициклона с центром над Прибалтикой [13]. При этом длительность таких эпизодов вторжения относительно невелика и составляет 2–4 дня. Рассматриваемый нами случай длился около 3 сут, в течение которых сильный ветер северного направления изменился на северо-восточный с максимальными скоростями в центральной и юго-западной частях моря. Не рассматривая детали изменчивости поля ветра в течение всего эпизода вторжения, приведем пример изменчивости скорости ветра в двух точках моря, а также главный форсинг, определивший реакцию моря, – потоки явного, shf, и скрытого, lhf, тепла через поверхность (радиационными потоками для этого эпизода в зимний период года можно пренебречь).
На рис. 1 показаны величины скорости ветра на высоте 10 м в двух точках – в северо-западной и восточной частях моря. На рис. 2 – осредненный за время холодного вторжения (23–25 января) суммарный поток тепла от поверхности, shf + lhf. Хорошо видно, что для всего моря рассматриваемый эпизод действительно можно считать трехсуточным вторжением холодного воздуха. В этот период охлаждение моря было неоднородным: западная и восточная половины моря разделяются небольшой областью уменьшенных потоков, что, естественно, объясняется понижением скорости ветра за подветренным склоном достаточно высоких Крымских гор [13]. При этом теплопотери с поверхности в северной части моря составляли 500–600 Вт/м2, скорость ветра – около 10–14 м/c. В южной половине моря теплопотери через поверхность меньше, поскольку холодный воздух прогревался при движении над более теплым морем.
Рис.1. Приводная скорость ветра, м/с, 22–26 января 2010 г. в точках с координатами 31 в. д., 44,5 с. ш. (1) и 37,5 в. д., 43 с. ш. (2). Положение точек показано на рис. 2
Fig.1. Surface wind speed, m/s, at the points with coordinates 31° E, 44.5° N (1) and 37.5° E, 43° N (2) in January 22–26, 2010. The point positions are shown in Fig. 2
Рис.2. Осредненный за 23–25 января 2010 г. суммарный поток тепла от поверхности моря, Вт/м2
Fig.2. Directed from the sea surface total heat flux, W/m2, averaged for January 23–25, 2010
Изменение температуры поверхности моря
На рис. 3, а показано распределение температуры поверхности моря (ТПМ) и скорость течения на поверхности в начале холодного вторжения. Хорошо представлена известная климатическая особенность неоднородности распределения ТПМ – повышенные значения температуры в юго-восточной части и пониженные в северо-западной и ОЧТ вдоль всей пограничной области моря. На рис. 3, b показаны изменения ТПМ за весь период вторжения – с 00:00 23 по 00:00 26 января. Как и следовало ожидать, понижение ТПМ носит неоднородный по площади характер, отражая как синоптическую неоднородность атмосферного форсинга, так и мезомасштабную структуру вихревых и струйных течений в верхнем слое моря. В среднем за время вторжения ТПМ понизилась на 1,5 °С (в глубоководной части моря) и даже более в прибрежной области северо-западного шельфа, где теплопотери с поверхности достигали 500–600 Вт/м2. Сравнение полей скорости течения непосредственно до и после холодного вторжения показало, что 23–25 января интенсивность ОЧТ увеличилась, причем на некоторых участках вблизи Крымского побережья, в юго-западном и юго-восточном углах моря скорость вдольберегового поверхностного течения возросла на ~ 0,2 м/с.
Понижение ТПМ в процессе зимнего охлаждения определяется турбулентностью в верхнем перемешанном слое, толщиной верхнего квазиоднородного слоя (ВКС), адвективным переносом тепла. Все эти процессы детально воспроизводятся в численной модели.
На рис. 3, с – e показан по отдельности вклад основных факторов в изменение ТПМ: уменьшение ТПМ за счет потоков явного и скрытого тепла от поверхности моря ΔThf (рис. 3, с), изменение ТПМ вследствие горизонтальной адвекции ΔTadv (рис. 3, d) и вертикального турбулентного перемешивания ΔTdif (рис. 3, e). Представленные на рис. 3, с – e значения рассчитаны по следующим простым формулам:
(1)
(2)
(3)
где H – толщина ВКС; T – температура воды; u и v – зональная и меридиональная скорости течения; K – коэффициент вертикальной турбулентной диффузии тепла (рассчитывается в модели); ρ и Cp – плотность и удельная теплоемкость воды; Δt – период времени (равен 1 ч). Особенности численного расчета величин по этим формулам приведены нами в работе [17]. Величина H в формулах (1)–(3) полагалась равной толщине верхнего слоя с малым (< 0,02 °C/м) вертикальным градиентом T либо глубине моря, если температура воды в данной точке почти не изменяется с глубиной (вблизи побережья и в Азовском море).
Рис.3. Температура поверхности моря (ТПМ) в 00:00 23 января (а); изменение ТПМ за период 00:00 23 января – 00:00 26 января по результатам моделирования (b) и расчета по формулам (1) (c), (2) (d), (3) (e). Стрелками показана скорость течения на поверхности (м/с) в 00:00 23 января (а), средняя за период 00:00 23 января – 00:00 26 января (b). Для наглядности стрелки «прорежены» по долготе и широте с шагом 15 и 12 соответственно
Fig.3. Sea surface temperature (SST) at 00:00 on January 23 (a); change of SST for the period from 00:00, January 23 to 00:00, January 26 based on the results of modeling (b) and calculation using formulas (1) (c), (2) (d) and (3) (e). Arrows show the current velocity on the surface (m/s) at 00:00, January 23 (a) and the average one for the period from 00:00, January 23 to 00:00, January 26 (b). For clarity, the number of arrows is reduced along the longitude and latitude with the increments 15 and 12, respectively
На рис. 3, с показано изменение ТПМ в период холодного вторжения за счет потоков тепла. Значительное понижение ТПМ в северной части моря связано не только с большой приводной скоростью ветра там, но и с малыми глубинами. На рис. 3, с выделяется область, протянувшаяся от Крыма на юг, и область вблизи Кавказского побережья, восточнее 39° в. д., где значение |ΔThf| меньше, чем в глубоководной части моря. Это, очевидно, объясняется влиянием прибрежных Крымских и Кавказских гор. Не приводя иллюстраций, отметим, что в атмосферной модели в осредненном за 23–25 января приводном поле ветра наблюдаются качественно сходные локальные особенности – область с пониженной скоростью ветра в центральной части моря южнее Крыма и область малых скоростей вблизи высокогорного Кавказского побережья.
На рис. 3, d показано осредненное по глубине H понижение температуры вследствие горизонтального переноса холодных вод в верхнем слое моря. Как видно из рис. 3, b, к югу от Крыма возникла область пониженной ТПМ, несмотря на относительно малый поток тепла от поверхности моря. Из рис. 3, d видно, что это произошло вследствие переноса холодных вод из северо-восточной части, где охлаждение в результате теплообмена с атмосферой было более сильным. Скорость ОЧТ увеличивается при огибании Крымского полуострова (рис. 3, а), и, как следствие, влияние горизонтальной адвекции на ТПМ в этом месте возрастает. Адвективное влияние ОЧТ на поле ТПМ проявляется также вблизи западного побережья, куда переносится более теплая вода из центральной части моря, и вблизи юго-западного, куда переносится более холодная вода из северо-западной части (рис. 3, b). Отметим, что влияние вертикального переноса на изменение поля ТПМ было незначительно и на рисунках не отображено.
Как видно из рис. 3, е, за исключением небольшой области вблизи Кавказского побережья, влияние вертикального перемешивания в глубоководной части моря на ТПМ было относительно невелико. В мелководной части моря, например вблизи Керченского полуострова, из-за резкого охлаждения поверхности моря конвективная неустойчивость могла привести к повышению ТПМ за счет выравнивания температуры во всем слое до дна.
Таким образом, реакция Черного моря на холодное вторжение состояла в уменьшении ТПМ в основном на 1–2 °С под влиянием больших потоков явного и скрытого тепла (рис. 3, с). Влияние горизонтальной адвекции (рис. 3, d) и вертикального турбулентного перемешивания (рис. 3, e) на ТПМ, как и следовало ожидать, приводило к локальным неоднородностям в поле температуры.
Изменение температуры верхнего слоя моря
Как указывалось во введении, характерной особенностью распределения температуры в верхнем слое Черного моря является наличие ХПС – относительно тонкого промежуточного слоя между термо- и галоклином на глубинах около 60 м. Современное состояние изученности ХПС хорошо представлено в [12].
На рис. 4, а, b показана вертикальная структура полей температуры, солености и плотности на вертикальных разрезах, проведенных по 31° в. д. и 44° c. ш., в момент времени, предшествовавший началу холодного вторжения. Рисунки 4, а, b подтверждают представление о вторичности локальных холодных вод в мелководной северо-западной части моря как источника формирования ХПС. Действительно, ни на рис. 4, а, b, ни на других зональных и меридиональных вертикальных сечениях не видны признаки распространения холодных вод от побережья в открытую часть моря. Плотность более холодной, но менее соленой прибрежной воды препятствует ее опусканию до верхней границы ХПС, ее изолированность от ХПС хорошо видна.
Картина полей на вертикальных разрезах подтверждает представление о наличии ХПС на всей акватории моря за исключением отдельных локальных областей, связанных с прибрежной орографией, устьями рек, особенностями циркуляции 1. На рис. 4, b хорошо видна тенденция к подъему ХПС вслед за подъемом ВКС и термоклина в центральной части моря в результате развития крупномасштабной циклонической циркуляции и ОЧТ [1]. Локальное понижение глубины ХПС на приведенном разрезе в области 33°–34° в. д. связано с локальным эффектом – близостью Южного берега Крыма, влияющего на смещение ОЧТ и создающего меридиональную неоднородность полей плотности и температуры. Рассмотрение особенностей распределения ХПС по всему морю, как и учет междугодичной временной изменчивости ХПС вплоть до исчезновения его признаков в отдельные годы, выходит за рамки работы, поскольку численно воспроизведена циркуляция лишь в относительно малом интервале времени холодного вторжения.
На рис. 4, с на том же вертикальном разрезе, что и на рис. 4, b, показано изменение температуры и солености за время холодного вторжения. В приповерхностном слое хорошо видно охлаждение воды на величину до 1,5–2 °С, что соответствует понижению ТПМ на рис. 3, b. В слое ХПС и ниже температура мало изменилась – в пределах от −0,5 до 0,5 °С. Для выделения столь малой реакции температуры ХПС построим вертикальные профили температур, осредненных по большой площади (30°–38° в. д., 42,5°–44° с. ш.), выделив промежуток времени холодного вторжения в годовом цикле изменения ХПС за 2009–2010 гг.
Рис.4. Поля плотности ρ, кг/м3, температуры T, ℃ (черные изолинии), и солености S, ‰ (белые изолинии), в 00:00 23 января на зональном разрезе по 31 в. д. (а), меридиональном разрезе по 44 с. ш. (b); изменение температуры, ℃, и солености, ‰ (изолинии), за 00:00 23 января – 00:00 26 января на разрезе по 44 с. ш (с). Для наглядности на рис. 4, а, b показана не сама величина ρ, а разность (ρ – 1000), кг/м3
Fig.4. Fields of density ρ, kg/m3, temperature T, ℃, (black isolines) and salinity S, ‰, (white isolines) at 00:00, January 23 at the zonal section along 31° E (a) and the meridional section along 44° N (b); change in temperature, ℃, and salinity, ‰, (isolines) for the period from 00:00, January 23 to 00:00, January 26 at the section along 44° N (c). For clarity, not the very value of ρ, but the difference (ρ – 1000), kg/m3, is shown in Fig. 4, a, b
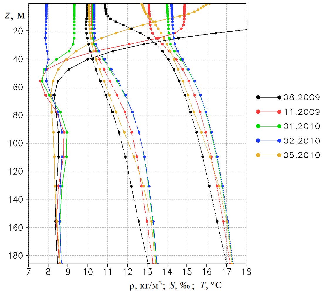
На рис. 5 показаны осредненные по глубоководной части моря вертикальные профили температуры, плотности и солености для нескольких месяцев 2009–2010 гг., построенные по массиву данных Copernicus. Как видно, наш эпизод холодного вторжения приходится на середину зимы, когда в ходе сезонного выхолаживания верхний сезонный термоклин был близок к исчезновению, хотя ХПС продолжал существовать. Не останавливаясь на особенностях сезонного изменения вертикальных профилей основных гидрофизических характеристик в верхнем слое моря, отметим лишь хорошо выраженные колебания температуры в годовом цикле, понижение солености в летний период года в верхнем слое, связанное с повышенным испарением, и соответствующее понижение плотности. Каких-либо отклонений от монотонного понижения плотности и солености во всем верхнем слое с августа 2009 по февраль 2010 г. не наблюдается. Во все сезоны, кроме переходного зимне-весеннего, в профилях температуры для нашего годичного периода 2009–2010 гг. обнаруживается ХПС с минимальным значением температуры на средней глубине 60 м.
Учитывая, что рассматриваемый нами случай холодного вторжения пришелся на период почти полного выхолаживания прогретого за летний период верхнего слоя моря, рассмотрим более детально развитие этого процесса по данным нашего численного расчета, в котором ХПС воспроизводился с достаточно высоким разрешением по вертикали, равным ~ 2 м. Отметим, что разрешение по вертикали в массиве данных Copernicus составляет около 5 м, что сглаживает мелкомасштабные особенности изменения профиля температуры в области минимума.
Рис.5. Осредненные по глубоководной части моря (30–38 в. д., 42,5–44 с. ш.) среднемесячные вертикальные профили температуры T, ℃ (сплошная линия), солености S, ‰ (штриховая линия), и плотности ρ, кг/м3 (пунктир), по данным реанализа Copernicus. Для наглядности показаны не сами величины S и ρ, а разности (S – 8), ‰, и (ρ – 1000), кг/м3
Fig.5. Averaged over the deep-sea part (30°–38° E, 42.5°–44° N) monthly vertical profiles of temperature T, ℃, (solid line), salinity S, ‰, (dashed line), and density ρ, kg/m3, (dotted line) based on the Copernicus reanalysis data. For clarity, not the very values of S and ρ are shown, but the differences (S – 8), ‰, and (ρ – 1000), kg/m3
На рис. 6 показаны профили температуры и солености до, в середине и после эпизода холодного вторжения. Хорошо видна реакция температурного поля за этот относительно краткий период времени: за 3 сут температура всего верхнего слоя понизилась на ~ 1 °С – это согласуется с полем изменения ТПМ, показанным на рис. 3, b. Интересно отметить, что понижение температуры на верхней границе ХПС имеет характерную особенность, известную для эволюции ВКС в летне-осенний период, – это вовлечение воды из сезонного термоклина в ВКС, связанное с проникновением турбулентных пульсаций из ВКС в термоклин.
Хорошо видно из рис. 6, что понижение температуры и увеличение солености сопровождается увеличением глубины залегания верхней границы ХПС. Летний квазиоднородный слой, как правило, возникает вследствие динамической неустойчивости, связанной с напряжениями ветра на поверхности моря и волновыми орбитальными движениями. В нашем случае на глубины более 30–40 м они не проникают, а эффектами сдвиговой неустойчивости, связанной с термохалинными течениями, вероятно, также можно пренебречь. В отличие от летнего квазиоднородного слоя, в нашем случае турбулентность имеет конвективную природу и эффект вовлечения ограничивается областью верхней границы ХПС. В области глубин ХПС и ниже, как видно из рис. 6, профили и температуры, и солености можно считать не изменившимися в течение периода вторжения. Это непосредственно свидетельствует о малости диссипативных эффектов на этих глубинах, что объясняет долгое время жизни ХПС после его развития в процессе зимней конвекции.
Рис.6. Вертикальные профили температуры T, ℃ (сплошная линия), и солености S, ‰ (штриховая линия), в точке с координатами 32 в. д., 44 с. ш. в 00:00 23 января, 12:00 24 января и 00:00 26 января 2010 г. Для наглядности показана не сама величина S, а разность (S – 8), ‰
Fig.6. Vertical profiles of temperature T, ℃, (solid line) and salinity S, ‰, (dashed line) at the point with coordinates 32° E, 44° N at 00:00 on January 23, 12:00 on January 24 and 00:00 on January 26, 2010. For clarity, not the very value of S is shown, but the difference (S – 8), ‰
Заключение
Численное моделирование экстремального случая вторжения холодного воздуха на акваторию Черного моря с использованием совместной модели WRF-NEMO с учетом взаимодействия атмосферы и моря позволило рассчитать структуру термогидродинамических полей с горизонтальным пространственным разрешением 1 км. Продолжительность самого вторжения составляла около трех дней, в течение которых скорость ветра достигала 15 м/с, а суммарный поток явного и скрытого тепла был около 500 Вт/м2. Была выделена реакция моря непосредственно на это холодное атмосферное вторжение. Показано, что конвективное охлаждение захватило квазиднородный поверхностный слоя до глубин около 40–45 м и составило ~ 1 °С.
Было показано, что понижение ТПМ на большей части моря произошло в результате тепло- и массообмена с атмосферой. Влияние горизонтального переноса и вертикального турбулентного перемешивания на ТПМ проявилось только в отдельных небольших областях, т. е. имело локальный эффект.
Рассматриваемый случай представляет интерес тем, что он приходится на заключительный этап времени жизни сформировавшегося ранее ХПС: понижение глубины залегания верхней границы ХПС (определенного по уровню 8 °С) вследствие осенне-зимнего выхолаживания с поверхности завершилось рассмотренным нами примером. Это хорошо иллюстрируется вертикальными профилями температуры и солености на заключительном этапе времени жизни ХПС как промежуточного слоя между термо- и галоклином. Характерной особенностью являются малые значения коэффициентов вертикальной диффузии и вязкости в слое ХПС, что свидетельствует о малости диссипативных процессов.
Пространственное распределение ХПС по площади моря неравномерно. Тем не менее в нашем случае локальные области отсутствия ХПС достаточно ограничены. По крайней мере, приведенный широтный разрез через всю акваторию моря и другие, не показанные здесь разрезы лишь в редких прибрежных и краевых областях не показывают его развития. Соответствующий климатический анализ пространственно-временных структур ХПС, как и статистика случаев холодного вторжения в Черноморском регионе (аналогично полученной ранее статистике случаев Новороссийской боры), выходят за рамки настоящей работы и предлагаются на будущее.
1 Изменчивость гидрофизических полей Черного моря / [А. С. Блатов, Н. П. Булгаков, В. А. Иванов и др.] ; под ред. Б. А. Нелепо. Ленинград : Гидрометеоиздат, 1984. 240 с.
2 URL: https://resources.marine.copernicus.eu/product-detail/global_multiyear_phy_001_030/information (дата обращения: 20.02.2024).
Об авторах
Владимир В. Ефимов
Морской гидрофизический институт РАН
Автор, ответственный за переписку.
Email: vefim38@mail.ru
SPIN-код: 4902-8602
Scopus Author ID: 6602381894
ResearcherId: P-2063-2017
заведующий отделом взаимодействия атмосферы и океана, доктор физико-математических наук, профессор
Россия, СевастопольДарья А. Яровая
Морской гидрофизический институт РАН
Email: darik777@mhi-ras.ru
ORCID iD: 0000-0003-0949-2040
SPIN-код: 9569-5642
Scopus Author ID: 57205741734
ResearcherId: Q-4144-2016
Россия, Севастополь
Список литературы
- Коротаев Г. К., Кныш В. В., Кубряков А. И. Исследование процессов формирования холодного промежуточного слоя по результатам реанализа гидрофизических полей Черного моря за 1971–1993 гг. // Известия РАН. Физика атмосферы и океана. 2014. Т. 50, № 1. С. 41–56. EDN RTOUVN. doi: 10.7868/S0002351513060102
- Гидрометеорология и гидрохимия морей СССР. Том IV : Черное море, вып. 2 : Гидрохимические условия и океанологические основы формирования биологической продуктивности / Ред. А. И. Симонов, А. И. Рябинина, Д. Е. Гершанович. СПб. : Гидрометеоиздат, 1992. 219 с. (Проект «Моря СССР»).
- Иванов В. А., Белокопытов В. Н. Океанография Черного моря. Севастополь : ЭКОСИ-Гидрофизика, 2011. 209 с.
- Куклев С. Б., Зацепин А. Г., Подымов О. И. Формирование холодного промежуточного слоя в шельфово-склоновой зоне северо-восточной части Черного моря // Океанологические исследования. 2019. Т. 47, № 3. С. 58–71. EDN YTCWVR. doi: 10.29006/1564-2291.JOR-2019.47(3).5
- Овчинников И. М., Попов Ю. И. Формирование холодного промежуточного слоя в Черном море // Океанология. 1987. Т. 27, № 5. С. 739–746.
- Реакция термохалинных характеристик деятельного слоя Черного моря на зимнее выхолаживание / В. Б. Пиотух [и др.] // Океанология. 2011. Т. 51, № 2. С. 232–241. EDN NSYLOJ.
- Титов В. Б. Зоны формирования и объемы вод холодного промежуточного слоя в Черном море с учетом суровости зим // Метеорология и гидрология. 2006. № 6. С. 62–68. EDN KUHNLN.
- Akpinar A., Fach B. A., Oguz T. Observing the subsurface thermal signature of the Black Sea cold intermediate layer with Argo profiling floats // Deep-Sea Research Part I: Oceanographic Research Papers. 2017. Vol. 124. P. 140–152. doi: 10.1016/J.Dsr.2017.04.002
- Bruciaferri D., Shapiro G. I., Wobus F. A multi-envelope vertical coordinate system for numerical ocean modelling // Ocean Dynamics. 2018. Vol. 68, Iss. 10. P. 1239–1258. doi: 10.1007/S10236-018-1189-X
- The development of a 3d computational mesh to improve the representation of dynamic processes: The Black Sea test case / D. Bruciaferri [et al.] // Ocean Modelling. 2020. Vol. 146. 101534. doi: 10.1016/j.ocemod.2019.101534
- Formation and changes of the black sea cold intermediate layer / S. Miladinova [et al.] // Progress in Oceanography. 2018. Vol. 167. P. 11–23. doi: 10.1016/j.pocean.2018.07.002
- Stanev E. V., Peneva E., Chtirkova B. Climate change and regional ocean water mass disappearance: case of the Black Sea // Journal of Geophysical Research: Oceans. 2019. Vol. 124, iss. 7. P. 4803–4819. doi: 10.1029/2019JC015076
- Ефимов В. В., Комаровская О. И., Баянкина Т. М. Временные характеристики и синоптические условия образования экстремальной новороссийской боры // Морской гидрофизический журнал. 2019. Т. 35, № 5. С. 409–422. EDN XAHKNF. doi: 10.22449/0233-7584-2019-5-409-422
- Ефимов В. В., Яровая Д. А. Численное моделирование конвекции в атмосфере при вторжении холодного воздуха над Черным морем // Известия РАН. Физика атмосферы и океана. 2014. Т. 50, № 6. С. 692–703. EDN SYYYLX. doi: 10.7868/S0002351514060078
- Яровая Д. А., Ефимов В. В. Облачные ячейки по данным спутниковых измерений и баланс конвективной энергии при вторжении холодного воздуха в атмосферу над Черным морем // Исследование Земли из космоса. 2017. № 6. С. 54–64. EDN ZVMLNR. doi: 10.7868/S0205961417060057
- The NOW regional coupled model: Application to the tropical Indian Ocean climate and tropical cyclone activity / G. Samson [et al.] // Journal of Advances in Modeling Earth Systems. 2014. Vol. 6, iss. 3. P. 700–722. https://doi.org/10.1002/2014MS000324
- Яровая Д. А., Ефимов В. В. Развитие холодной аномалии температуры поверхности Черного моря // Известия РАН. Физика атмосферы и океана. 2021. T. 57, № 4. С. 471–483. EDN YAJJOC. doi: 10.31857/S0002351521040118
- Ефимов В. В., Яровая Д. А., Барабанов В. С. Численное моделирование апвеллинга у Южного берега Крыма 24–25 сентября 2013 года // Экологическая безопасность прибрежной и шельфовой зон моря. 202ит 3. № 1. С. 6–19. EDN SSUZXG. doi: 10.29039/2413-5577-2023-1-6-19
Дополнительные файлы








