Regional features of water density stratification and internal wave characteristics in the Arctic seas
- Authors: Bukatov А.А.1, Solovei N.M.1, Pavlenko Е.А.1
-
Affiliations:
- Marine Hydrophysical Institute, Russian Academy of Sciences
- Issue: Vol 39, No 6 (2023)
- Pages: 779-796
- Section: Analysis of observations and methods of calculating Hydrophysical fields in the ocean
- URL: https://ogarev-online.ru/0233-7584/article/view/254461
- EDN: https://elibrary.ru/WVSPOB
- ID: 254461
Cite item
Full Text
Abstract
Purpose. The work is purposed at summarizing the results of studies both of the spatio-temporal variability of water density stratification and the internal wave characteristics in the Barents, Kara, Laptev, East Siberian, Chukchi and Beaufort seas.
Methods and Results. Based on the World Ocean Atlas data, the average monthly profiles of buoyancy frequency were calculated at the 0.25° × 0.25° grid points for 1959–2020. To study the vertical structure and dispersion characteristics of internal waves, the eigenvalues and eigenfunctions of the main boundary value problem of the Sturm – Liouville type were found at the fixed values of a wave number. The regional features of vertical structure and intra-annual variability of the Väisälä – Brunt frequency were revealed. The relationship between the water density vertical structure and the free internal wave characteristics in the seas under consideration was analyzed.
Conclusions. It is shown that maximum water stability in the Barents Sea takes place in July – August, in the Kara Sea – in September and November, in the Laptev Sea – from June to November, in the East Siberian and Chukchi seas – in July, and in the Beaufort Sea – in June. In the same months, the smallest values of the amplitude of vertical velocity component as well as the smallest own periods of internal waves are noted. The depth of maximum values of the vertical component amplitude of internal wave velocities exceeds that of the density gradient maximum values by about 10–20 m.
Full Text
Введение
Структура вод арктических морей формируется в результате взаимодействия вод Центрального полярного бассейна, атлантических вод, приносимых теплым течением Гольфстрим, тихоокеанских вод, поступающих через Берингов пролив, и вод материкового стока.
Теплые и соленые атлантические воды поступают в Арктику двумя основными ветвями, каждая из которых представляет собой поток величиной 2 Свердрупа (Св) (~ 60 000 км3/год): ветвь пролива Фрама (Западно-Шпицбергенское течение) и Баренцевоморская ветвь (Нордкапское течение) [1, 2]. По глубоководным желобам атлантические воды проникают в арктические моря далеко на восток. Объем ежегодного поступления тихоокеанских вод в Чукотское море через Берингов пролив ~ 1 Св [3]. Следы тихоокеанских вод обнаруживаются у берегов Гренландии, откуда они в трансформированном виде выносятся из арктического бассейна 1.
Северный Ледовитый океан – наименьший из океанов, однако он получает наибольшее количество пресной воды, приносимой реками Евразии и Америки. Речные воды, попадая в арктические моря, распространяются тонким слоем по их поверхности и перемешиваются с солеными морскими водами. В процессе взаимодействия пресных вод с более солеными глубинными водами формируются значительные вертикальные градиенты плотности 1. Наи-более крупные реки, вносящие основной вклад в солевой баланс Северного Ледовитого океана, – Печора (113 км³/год), Обь (406 км³/год), Енисей (607 км³/год), Хатанга (87 км³/год), Лена (556 км³/год), Колыма (103 км³/год), Маккензи (285 км³/год) и Юкон (203 км³/год). Хотя Юкон впадает в Берингово море, бóльшая часть его стока с прибрежным Аляскинским течением поступает в Чукотское море 2 [4].
Стратификация плотности может быть представлена профилем частоты плавучести (Вяйсяля – Брента), по которому можно судить о расположении слоя скачка плотности (пикноклина), границах водных масс различного происхождения, глубине распространения конвекции и т. д. Вертикальная структура вод также тесно связана с особенностями функционирования водных экосистем. Например, основные скопления зоопланктона, который является кормовым объектом большинства пелагических рыб, по вертикальному распределению совпадают с глубиной залегания пикноклина. Наличие стратификации плотности обусловливает образование внутренних волн (ВВ), которые являются важным фактором формирования вертикальной и горизонтальной циркуляции вод. Такие виды движения жидкости способствуют обмену энергией, перемешиванию и обогащению вод кислородом, а также поступлению с глубин питательных веществ.
Данная работа посвящена исследованию в арктических морях плотностной структуры вод, характеристик внутренних волн, их взаимосвязи и включает в себя обобщение результатов, полученных в работах [4, 5–10].
Материалы и методика
В качестве исходных гидрологических данных использовались значения температуры и солености из WOA-2018 в узлах сетки 0,25° × 0,25° за период 1959–2020 гг. [11, 12]. Область исследования ограничена параллелями 65° и 80° с. ш. и меридианами 16° в. д. и 120° з. д. Для каждого узла сетки рассчитывались среднемесячные профили частоты Вяйсяля – Брента (N, цикл/ч) по формуле
,
где z – глубина; g – ускорение свободного падения; r – плотность. Определялись максимум частоты Вяйсяля – Брента по глубине (Nmax(z), цикл/ч) и глубина его залегания (HNmax(z), м).
Исследование внутренних волн проводилось исходя из системы линейных уравнений движения непрерывно стратифицированной жидкости в форме Фьельдстада, которая имеет решение в виде суперпозиции плоских волн 3. В частности, для вертикальной компоненты скорости w(x, y, z, t) (x, y – горизонтальные координаты, t – время) имеет место представление
,
где – дисперсионное соотношение (собственная частота) для моды c номером n и волновым числом ; – амплитуда этой моды (собственная функция).
Если использовать приближение Буссинеска, отфильтровать поверхностные волны и пренебречь вращением Земли, то будет решением краевой задачи типа Штурма – Лиувилля с нулевыми граничными условиями на дне и свободной поверхности жидкости [8]:
, ,
где – собственное значение; H – глубина.
Данная спектральная задача соответствует определению собственных значений и собственных функций для каждого фиксированного значения волнового числа. Для численной реализации краевой задачи по заданному профилю N(z) строилась ее конечно-разностная аппроксимация. Полученная система линейных алгебраических уравнений решалась нахождением корней характеристического уравнения ее матрицы [8, 9, 13].
Для исследования вертикальной структуры и дисперсионных свойств ВВ рассчитывались собственные значения и собственные функции для длин волн > 200 м. При выборе интервала длин волн авторы обращались к работам [14–16], из которых следует, что в высоких широтах на радиолокационных изображениях наблюдаются внутренние волны с длинами 200–3000 м. В работе в качестве иллюстрации приведены распределения характеристик ВВ для длины волны (λ) 1000 м.
Первая мода является доминирующей в спектре волнового пакета [17], поэтому в данной работе выполнялись расчеты характеристик первой моды свободных внутренних волн (амплитуды вертикальной составляющей скорости (в безразмерных единицах) и собственных периодов ( в часах, минутах)).
Анализ результатов
Моря Северного Ледовитого океана являются окраинными морями. С юга они ограничены побережьем материков, а на севере свободно взаимодействуют с океаном. Они разделены между собой условными линиями и островами, а соединены проливами. Кроме этого, практически во все моря впадают крупные реки.
Моря Баренцево и Карское. Баренцево и Карское моря – западные моря русской Арктики, которые разделяет архипелаг Новая Земля. Гидрологический режим морей формируется под влиянием арктических, атлантических и речных вод. В Баренцевом море наблюдается сложная система циркуляции, связанная с Северо-Атлантическим течением и его ответвлениями (Мурманское, Новоземельское, Персея, Баренца, Медвежинское и т. д.). В результате их взаимодействия формируется циклонический круговорот, в котором теплые атлантические воды смешиваются с холодными стоковыми водами Северного Ледовитого океана [5, 18]. В Карское море через проливы Югорский Шар, Карские Ворота, Маточкин Шар проникают более теплые и соленые баренцевоморские воды, которые вместе с Восточно-Новоземельским, Ямальским течениями, а также с западной ветвью Обь-Енисейского течения образуют хорошо выраженный циклонический круговорот на юго-западе и менее отчетливый – на севере моря.
Речной сток в Баренцево море небольшой, его максимум наблюдается в конце весны – начале лета. На долю Карского моря приходится ~ 55% общего берегового стока во все сибирские моря, максимум речной воды отмечается в конце лета – начале осени 4 [5]. Обь и Енисей впадают в Карское море через эстуарии, где речные воды, взаимодействуя с морскими, формируют речной плюм, который простирается на сотни километров от места впадения реки в море и оказывает существенное влияние на процессы в деятельном слое [19]. В северный район Карского моря по желобам Св. Анны и Воронина между Землей Франца-Иосифа и Новой Землей проникают более соленые и теплые атлантические воды [20].
В холодные месяцы года устойчивость вод в Баренцевом море мала или близка к нестабильному состоянию [5, 21]. Критерием вертикальной устойчивости слоев в море служит значение градиента плотности по вертикали с учетом поправки на адиабатический процесс [21]. При глубинах до ~ 1000 м этой поправкой можно пренебречь в силу ее малости, а вместо градиента плотности рассматривать частоту плавучести. Географическое распределение Nmax(z) и HNmax(z) в Баренцевом и Карском морях в июле показано на рис. 1, 2. Можно видеть, что в июле воды с максимальной устойчивостью располагаются в прибрежных районах: в районе дельты р. Печора (Печорское море, ~50 цикл/ч), побережья п-ова Ямал, в приустьевых районах Оби и Енисея (~ 60–70 цикл/ч). Центральная часть Баренцева моря занята водами с малыми значениями Nmax(z) (˂ 7 цикл/ч). На север от 75-й параллели максимум частоты плавучести повышается до 10–15 цикл/ч. В центральной части Карского моря с 75° по 80° с. ш. значения Nmax(z) составляют ~ 20 цикл/ч, южнее – ~ 80 цикл/ч, в юго-западной части Карского моря 30–50 цикл/ч. Высокая устойчивость в юго-восточной части Баренцева и южной части Карского морей обусловлена притоком пресных материковых вод, повышающим градиент солености в прибрежной зоне. Поверхностный прогрев также создает в это время года температурный градиент, но его влияние на устойчивость по сравнению с градиентом солености менее значительно [5, 22]. Относительно высокая устойчивость вод в Баренцевом море в июле севернее 75° с. ш. обусловлена увеличением градиента солености вследствие таяния льда. Низкая устойчивость в центральной части (изолиния Nmax(z) ~ 7 цикл/ч) вызвана присутствием атлантических вод (Нордкапское течение), имеющих высокую соленость и температуру (рис. 1). При своем движении на восток эти воды перемешиваются с водами Баренцева моря, охлаждаются и опускаются с поверхности до слоя, имеющего бóльшую плотность. Это приводит не только к уменьшению устойчивости вод, но и, как следствие, к заглублению максимума частоты Вяйсяля – Брента до 40 м (рис. 2) [21]. Небольшие значения максимума частоты плавучести в центре восточной части Карского моря в июле, вероятнее всего, обусловлены медленным продвижением распресненных прибрежных вод на север.
Рис. 1. Среднемноголетнее распределение максимума частоты Вяйсяля – Брента (цикл/ч) в морях Баренцевом и Карском в июле
Fig. 1. Average long-term distribution of the Väisälä – Brunt frequency maximum (cycle/hour) in the Barents and Kara seas in July
Рис. 2. Среднемноголетнее распределение глубины залегания максимума частоты Вяйсяля – Брента (м) в морях Баренцевом и Карском в июле
Fig. 2. Average long-term distribution of the Väisälä – Brunt frequency maximum depth (m) in the Barents and Kara seas in July
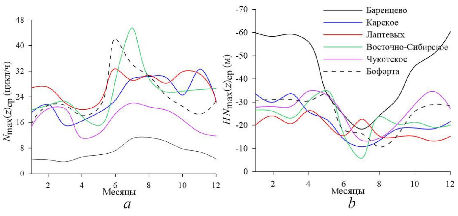
Для характеристики внутригодовой изменчивости устойчивости вод в арктических морях для каждого месяца рассчитывались средние значения максимума частоты Вяйсяля – Брента (Nmax(z)ср) (рис. 3, а) и средние глубины их залегания (HNmax(z)ср) (рис. 3, b). Средние значения получены как средние арифметические значения по всей акватории моря. Видно, что в Баренцевом море максимальная устойчивость наступает в июле – августе, а в Карском море – в августе – сентябре и ноябре. В октябре в Карском море с началом процесса ледообразования устойчивость понижается. В ноябре с образованием ледового покрова речные воды начинают распространяться в подледных горизонтах, что ведет к увеличению устойчивости [5, 22]. В теплое время года слой скачка плотности поднимается к поверхности, а зимой заглубляется. В Баренцевом море летом средняя глубина залегания пикноклина составляет ~ 24 м, зимой – ~ 60 м, в Карском море летом – ~ 14 м, зимой – ~ 35 м (рис. 3, а, b).
Рис. 3. Внутригодовой ход среднего по акватории моря значения Nmax(z) (а) и глубины его залегания (b)
Fig. 3. Intra-annual variation of the sea area average value Nmax(z) (a) and its depths (b)
Моря Лаптевых и Восточно-Сибирское. Гидрологические условия моря Лаптевых и Восточно-Сибирского моря формируются главным образом под влиянием процессов взаимодействия поверхностных арктических вод с речными водами. Береговой сток в море Лаптевых составляет ~ 30% от общего объема материкового стока во все моря русской Арктики, в Восточно-Сибирское море ~ 10% 4. Лена несет свои воды в море Лаптевых через узкие и неглубокие протоки, образующие широкую дельту. Пресные речные воды наслаиваются на соленые и плотные морские воды, растекаясь по ним тонким слоем. Образующийся речной плюм зависит от направления ветра, что объясняется его небольшой глубиной. В годы с преобладанием западных и северных ветров опресненная водная масса концентрируется на юге моря Лаптевых и Восточно-Сибирского моря, занимая относительно небольшую площадь ~ 250 тыс. км2, и простирается менее чем на 250 км на север. Под влиянием восточных ветров плюм Лены распространяется на вдвое большую акваторию [19].
В глубоководных районах морей Лаптевых и Восточно-Сибирского в результате взаимодействия поверхностной арктической и глубинной атлантической водных масс под поверхностными арктическими водами образуется слой более соленой и холодной воды. Вертикальная структура вод северной и восточной частей Восточно-Сибирского моря формируется под влиянием адвекции трансформированных тихоокеанских вод, поступающих через пролив Лонга или вдоль северного берега о. Врангеля из Чукотского моря 1 [6].
Плотностная стратификация вод моря Лаптевых наиболее выражена с конца весны до начала осени. В зонах сильного влияния берегового стока в результате смешения речных и поверхностных арктических вод образуется вода с относительно высокой температурой и низкой соленостью. На границе их раздела (горизонт 5–10 м) создаются большие градиенты солености и плотности с максимальными значениями в южных районах и у кромки льдов. В устье р. Лена значения Nmax(z) в июле достигают 80 цикл/ч, в устье р. Хатанга – 75 цикл/ч (рис. 4). В юго-восточной части моря Лаптевых, куда под действием циклонической циркуляции в поверхностном слое моря распространяется бóльшая часть стока рек Хатанга и Лена, пикноклин прослеживается на протяжении всего года [6]. Ветровое перемешивание на свободных ото льда пространствах моря Лаптевых в летний период развито слабо 1, что способствует увеличению плотностной стратификации вод. В более глубоководных северных районах в теплый период года стратификация значительно меньше, чем на юге. Бóльшая часть северной половины моря покрыта льдами, и поверхностный слой воды прогревается слабо.
Поверхностные течения в море Лаптевых образуют циклонический круговорот. Воды, движущиеся вдоль берега по направлению с запада на восток, вовлекают сток р. Лена. У Новосибирских островов часть потока отклоняется на север, выходит за пределы моря, где соединяется с Трансарктическим течением. У оконечности Северной Земли от сформировавшегося потока ответвляется Восточно-Таймырское течение, которое движется на юг вдоль восточных берегов Северной Земли и п-ова Таймыр, замыкая циклоническое кольцо. Другая часть вдольберегового течения в море Лаптевых через проливы Санникова и Дмитрия Лаптева попадает в Восточно-Сибирское море, продолжая движение на восток. Вблизи о. Врангеля часть потока поворачивает на северо-запад и выносится к северным окраинам моря, соединяясь с Трансарктическим течением, часть через пролив Лонга идет в Чукотское море 4 [10]. Расслоение вод по плотности в Восточно-Сибирском море наиболее выражено на юге, куда через проливы Лаптева и Санникова поступают распресненные воды Сибирского Прибрежного течения, а также воды рек Колыма и Индигирка. В этом районе пикноклин прослеживается с июня по сентябрь, а к концу теплого периода года разрушается под действием ветрового перемешивания. В приустьевых участках значения Nmax(z) достигают 70–85 цикл/ч.
Восточно-Сибирское море – самое ледовитое из арктических морей. С октября по июнь оно полностью покрыто льдом. Значительное увеличение Nmax(z)ср в июле, по-видимому, связано с усиленным таянием льда [6, 8]. Внутригодовой максимум устойчивости в южной части Восточно-Сибирского моря приходится на август, Nmax(z)ср составляет ~ 55 цикл/ч при HNmax(z)ср ~ 5 м. В более глубоководных районах моря внутригодовой максимум устойчивости вод приходится на июль, Nmax(z)ср составляет ~ 40 цикл/ч при HNmax(z)ср ~ 5 м (рис. 4, 5). Большие градиенты плотности в юго-восточном и северном районах моря отмечаются на протяжении всего года на глубинах 25–55 м [6]. Эти глубины соответствуют слою постоянного пикноклина, разделяющего глубинные воды и поверхностные арктические или тихоокеанские воды, поступающие из Чукотского моря 1. Значения Nmax(z) в юго-восточном и северном районах достигают в теплый период года ~ 50 цикл/ч [6, 10].
Рис. 4. Среднемноголетнее распределение максимума частоты Вяйсяля – Брента (цикл/ч) в морях Лаптевых и Восточно-Сибирском в июле
Fig. 4. Average long-term distribution of the Väisälä – Brunt frequency maximum (cycle/hour) in the Laptev and East Siberian seas in July
Рис. 5. Среднемноголетнее распределение глубины залегания максимума частоты Вяйсяля – Брента (м) в морях Лаптевых и Восточно-Сибирском в июле
Fig. 5. Average long-term distribution of the Väisälä – Brunt frequency maximum depth (m) in the Laptev and East Siberian seas in July
Моря Чукотское и Бофорта. Чукотское море – самое восточное евроазиатское арктическое море. На большей части его акватории преобладают глубины ~ 50 м. Максимальные глубины отмечаются на севере и не превышают 1300 м. Материковый сток в Чукотское море мал, общее поступление речных вод в год составляет всего 72 км3 4. В связи с этим его влияние на гидрологические условия незначительно и сказывается только на стратификации прибрежных вод. В большей степени на гидрологический режим Чукотского моря влияет водообмен с Центральным полярным бассейном и с Тихим океаном. Тихоокеанские воды, выходя из Берингова пролива в Чукотское море, распространяются в разных направлениях. Их основной поток направлен на север. На широте залива Коцебу к ним присоединяются опресненные речным стоком воды этого залива 4. Двигаясь дальше на север, воды Беринговоморского течения разделяются на два потока, один из которых в виде Аляскинского течения поворачивает на северо-восток, второй отклоняется на северо-запад 1. Продвигаясь по восточной мелководной, с глубинами до 40–50 м, части шельфа Чукотского моря, беринговоморские воды смешиваются с местными водами. Поэтому здесь стратификация вод выражена относительно слабо (Nmax(z) составляет ~ 20 цикл/ч в июле) (рис. 6) [7]. В более глубоких северных районах моря трансформированные тихоокеанские воды охлаждаются и погружаются в подповерхностные слои, образуя прослойку с ядром (расположенным на горизонтах 40–100 м), под которой располагается глубинная вода 1.
Заметное влияние на гидрологические условия морей Чукотского и Бофорта оказывает сток рек, впадающих в моря Лаптевых и Восточно-Сибирское. Линза, сформированная стоком Лены, Яны, Индигирки и Колымы, является крупнейшей по площади в Мировом океане [23]. При усилении атмосферной циклонической циркуляции в европейской части Арктики опресненные и холодные воды линзы через пролив Лонга с вдольбереговым Сибирским течением поступают в Чукотское море и Берингов пролив. У западного побережья Чукотского моря, в районе влияния опресненных вод вдольберегового Сибирского течения, плотностная стратификация наибольшая. Значения частоты плавучести в июле достигают 50 цикл/ч (рис. 6). При слабом развитии Сибирского течения опресненные воды уходят на северо-восток, достигают северных районов Чукотского моря и затем вовлекаются в циркуляцию моря Бофорта, увеличивая количество пресной воды в этом районе [7, 23]. На севере моря по глубоководному Чукотскому желобу на горизонтах 400–450 м распространяются глубинные атлантические воды. Эти воды попадают в Чукотское море через 5 лет после их входа в Арктический бассейн в районе Шпицбергена 4.
Рис. 6. Среднемноголетнее распределение максимума частоты Вяйсяля – Брента (цикл/ч) в морях Чукотском и Бофорта в июле
Fig. 6. Average long-term distribution of the Väisälä – Brunt frequency maximum (cycle/hour) in the Chukchi and Beaufort seas in July
Море Бофорта расположено у северного побережья Аляски и Канады. Его шельф самый узкий из всех шельфов Арктического бассейна, ширина редко превышает 50 км. За пределами шельфа океаническое дно резко понижается, образуя котловину с глубинами более 3000 м. Гидрологические условия моря Бофорта определяются его связью с прилегающими районами Центрального полярного бассейна, материковым стоком (прежде всего р. Маккензи) и притоком вод через Берингов пролив. Акватория моря Бофорта летом заполнена теплыми тихоокеанскими водами. В прикромочных районах и в зоне воздействия стока р. Маккензи тихоокеанские воды погружаются под распресненные воды моря Бофорта 1. Здесь значения частоты плавучести в июле достигают 80 цикл/ч (рис. 6) при глубине залегания максимума N(z) 5–10 м (рис. 7). В северной части моря Бофорта, на южной периферии Восточного антициклонического круговорота Центрального полярного бассейна, максимальные градиенты плотности невелики (~ 10–15 цикл/ч), они отмечаются на глубинах ~ 50–60 м, что соответствует глубине слоя основного пикноклина. Наименьшие средние значения максимума частоты плавучести и наибольшие средние глубины их залегания отмечаются в холодные месяцы. Минимум Nmax(z)ср в апреле составляет ~ 10 цикл/ч при HNmax(z)ср ~ 35 м (рис. 3, а, b).
Рис. 7. Среднемноголетнее распределение глубины залегания максимума частоты Вяйсяля – Брента (м) в морях Чукотском и Бофорта в июле
Fig. 7. Average long-term distribution of the Väisälä – Brunt frequency maximum depth (m) in the Chukchi and Beaufort seas in July
Внутренние волны
Основной источник генерации внутренних волн в океане – приливы. В арктических морях очаги генерации внутренних приливных волн локализованы вблизи континентального склона и масштабных неоднородностей рельефа дна [24]. Свободные внутренние волны приливного периода распространяются во всей толще океана. Однако широта, близкая к 74,5°, является критической для этих ВВ, и севернее этой широты они не могут существовать в виде свободных волн. Считается, что в области высоких широт внутренняя волна приливного периода по мере окончания действия вынуждающей силы разрушается, генерируя пакет короткопериодных (высокочастотных) волн, для которых нет запрета на существование в полярных широтах. В районах арктических морей, расположенных немного южнее 74,5° с. ш., эффект критического поведения внутренних волн также проявляется. В литературе описан ряд экспериментальных наблюдений, которые подтверждают существование внутренних короткопериодных волн в арктических морях [25].
Внутригодовой ход осредненных по площади моря периодов первой моды ВВ приведен на рис. 8. Значения периодов представлены для длины волны 1000 м (), однако качественно график будет иметь такой же вид и для других длин волн из рассматриваемого диапазона [8, 9]. Из рис. 3, а и рис. 8 видно, что ВВ с наименьшими периодами (наибольшими частотами) наблюдаются в месяцы максимальных градиентов плотности. Коэффициент корреляции (R) между внутригодовыми циклами Nmax(z)ср и находится в интервале от –0,83 до –0,95 [8]. Самые короткопериодные ВВ наблюдаются в июле – сентябре, в месяцы максимальной (летней) стратификации вод. Минимальное значение в Баренцевом море составляет ~ 45 мин, в морях Карском, Лаптевых, Восточно-Сибирском и Чукотском ~ 30 мин, в море Бофорта ~ 20 мин. Максимальные значения осредненного собственного периода
() отмечаются зимой и весной, когда пикноклин повсеместно сглажен перемешиванием вод 1. В Баренцевом море составляет ~ 2 ч 20 мин, в Карском, Лаптевых ~ 1 ч 10 мин, в Восточно-Сибирском и Чукотском ~ 1 ч 30 мин, в море Бофорта ~ 30 мин.
Рис. 8. Внутригодовой ход среднего по акватории моря собственного периода первой моды ВВ (мин), λ = 1000 м
Fig. 8. Intra-annual variation of the sea area average own period of the IW first mode (min), λ = 1000 m
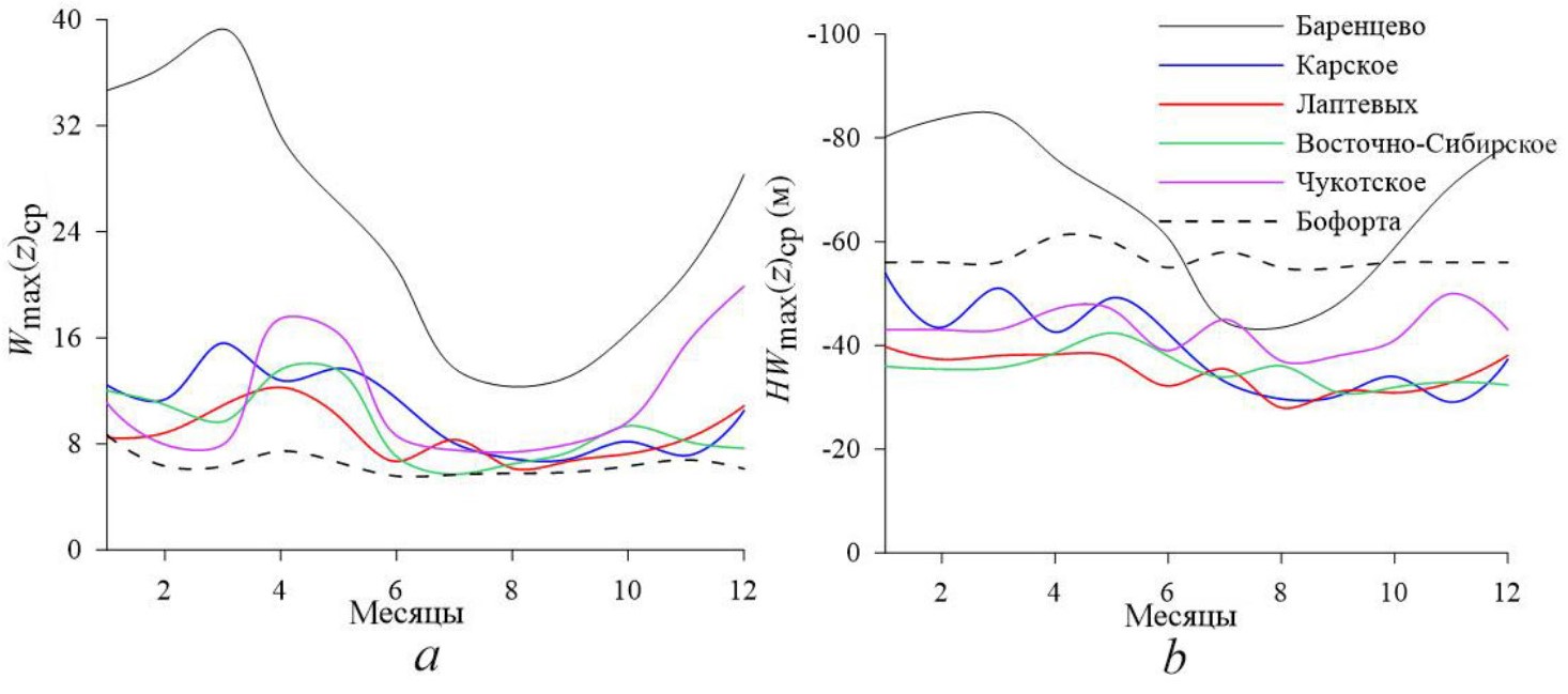
Для анализа вертикальной структуры ВВ в каждом узле сетки рассчитывались профили амплитуды вертикальной составляющей скорости первой моды ВВ, определялись максимум W(1)(z) (Wmax(z)) и глубина его залегания (HWmax(z)). На рис. 9–14 представлено среднемноголетнее распределение Wmax(z) и HWmax(z) в исследуемых морях в июле. Полученные для каждого месяца значения Wmax(z) и HWmax(z) осреднялись по акваториям морей (Wmax(z)ср, HWmax(z)ср) (рис. 15, а, b). Получено, что наибольшие значения Wmax(z)ср (более интенсивная волновая динамика) наблюдаются в месяцы наименьших градиентов плотности: в Баренцевом и Карском морях – в марте, в морях Лаптевых, Восточно-Сибирском и Бофорта – в апреле, в Чукотском – в апреле и декабре. Коэффициент корреляции между внутригодовыми циклами Nmax(z)ср и Wmax(z)ср составляет от –0,73 до –0,95 [8]. Весной и летом тающие льды, впадающие реки приносят большое количество пресной воды, снижая соленость поверхностных слоев морей, увеличивая градиент плотности в районах стока рек и таяния льда. Там же наблюдаются минимальные значения амплитуды вертикальной составляющей скорости. Опресненные воды образуют своего рода «крышку», которая мешает перемешиванию верхних и нижних слоев, препятствует развитию внутренних волн.
Рис. 9. Среднемноголетнее распределение максимума амплитуды вертикальной составляющей скорости первой моды ВВ (в условных единицах) в морях Баренцевом и Карском в июле, λ = 1000 м
Fig. 9. Average long-term distribution of the maximum amplitude of velocity vertical component of the IW first mode (conventional units) in the Barents and Kara seas in July, λ = 1000 m
Рис. 10. Среднемноголетнее распределение глубины залегания максимума амплитуды вертикальной составляющей скорости первой моды ВВ (м) в морях Баренцевом и Карском в июле, λ = 1000 м
Fig. 10. Average long-term distribution of depth of the maximum amplitude of velocity vertical component of the IW first mode (m) in the Barents and Kara seas in July, λ = 1000 m
Рис. 11. Среднемноголетнее распределение максимума амплитуды вертикальной составляющей скорости первой моды ВВ (в условных единицах) в морях Лаптевых и Восточно-Сибирском в июле, λ = 1000 м
Fig. 11. Average long-term distribution of the maximum amplitude of velocity vertical component of the IW first mode (conventional units) in the Laptev and East Siberian seas in July, λ = 1000 m
Рис. 12. Среднемноголетнее распределение глубины залегания максимума амплитуды вертикальной составляющей скорости первой моды ВВ (м) в морях Лаптевых и Восточно-Сибирском в июле, λ = 1000 м
Fig. 12. Average long-term distribution of depth of the maximum amplitude of velocity vertical component of the IW first mode (m) in the Laptev and East Siberian seas in July, λ = 1000 m
Рис. 13. Среднемноголетнее распределение максимума амплитуды вертикальной составляющей скорости первой моды ВВ (в условных единицах) в морях Чукотском и Бофорта в июле, λ = 1000 м
Fig. 13. Long-term average distribution of the maximum amplitude of velocity vertical component of the IW first mode (conventional units) in the Chukchi and Beaufort seas in July, λ = 1000 m
Рис. 14. Среднемноголетнее распределение глубины залегания максимума амплитуды вертикальной составляющей скорости первой моды ВВ (м) в морях Чукотском и Бофорта в июле, λ = 1000 м
Fig. 14. Average long-term distribution of depth of the maximum amplitude of velocity vertical component of the IW first mode (m) in the Chukchi and Beaufort seas in July, λ = 1000 m
Fig. 15. Intra-annual variation of the sea area average maximum amplitude of velocity vertical component of the IW first mode (conventional units) (a) and its depth (b), λ = 1000 m
В Баренцевом море вертикальные градиенты плотности невелики по сравнению с другими арктическими морями. Слой скачка плотности выражен с июля по октябрь [5]. Значения гидрологических и волновых характеристик, осредненных за эти четыре месяца, составляют: Nmax(z)ср ~ 10 цикл/ч, HNmax(z)ср ~ 30 м, Wmax(z)ср ~ 14, HWmax(z)ср ~ 49 м. Вертикальная динамика вод наиболее ярко проявляется зимой и весной (декабрь – март), когда сезонный пикноклин размыт, благодаря конвективному и ветровому перемешиванию вод: Nmax(z)ср достигает ~ 4,2 цикл/ч, HNmax(z)ср ~ 60 м, Wmax(z)ср ~ 34,7, HWmax(z)ср ~ 82 м. В Карском море слой скачка плотности сохраняется в течение всего года [5]. В июне начинает формироваться сезонный пикноклин, который с июля по ноябрь четко выражен. Значения характеристик, осредненные за эти 5 месяцев, следующие: Nmax(z)ср ~ 30 цикл/ч, HNmax(z)ср ~ 16 м, Wmax(z)ср ~ 7,4, HWmax(z)ср ~ 31 м. Наибольшие средние значения Wmax(z) достигаются зимой и весной (декабрь – июнь): Wmax(z)ср ~ 12,5 на горизонте ~ 45 м.
В морях Лаптевых и Восточно-Сибирском благодаря стоку рек Хатанга, Лена, Колыма, Индигирка пикноклин также прослеживается на протяжении всего года [6]. В море Лаптевых с июня по ноябрь Nmax(z)ср составляет ~ 30 цикл/ч, HNmax(z)ср ~ 16 м, Wmax(z)ср ~ 7,2, HWmax(z)ср ~ 32 м; в зимние и весенние месяцы (декабрь – май) Nmax(z)ср ~ 23,3 цикл/ч, HNmax(z)ср ~ 17 м, Wmax(z)ср ~ 10, HWmax(z)ср ~ 38 м. В Восточно-Сибирском море наибольшее значение Nmax(z)ср определяется в июле и превышает 45 цикл/ч при HNmax(z)ср ~ 5,5 м. Соответственно, в июле Wmax(z)ср составляет ~ 5,7, HWmax(z)ср ~ 34 м (рис. 3, 15).
В морях Чукотском и Бофорта с июня по октябрь наблюдаются максимальные градиенты плотности в прибрежных и прикромочных областях [7]. В Чукотском море стратификация наиболее выражена в июле (Nmax(z)ср ~ 22 цикл/ч, HNmax(z)ср ~ 13 м, Wmax(z)ср ~ 7,5, HWmax(z)ср ~ 45 м), в море Бофорта – в июне (Nmax(z)ср ~ 42 цикл/ч, HNmax(z)ср ~ 18 м, Wmax(z)ср ~ 5,6, HWmax(z)ср ~ 55 м). Волновая динамика наиболее развита в зоне смешения летних тихоокеанских вод, опресненных вод залива Коцебу и шельфовых вод Чукотского моря. В апреле и декабре в Чукотском море определяются наименьшие значения Nmax(z)ср, составляющие ~ 11 цикл/ч при HNmax(z)ср ~ 35 м, и наибольшие значения Wmax(z)ср ~ 17–19 при HWmax(z)ср ~ 43–47 м (рис. 3, 15).
Следует отметить, что при рассмотренных условиях (плотностная стратификация, глубина моря, длина волны) глубина залегания максимальных значений амплитуды вертикальной составляющей скорости внутренних волн превышает глубину залегания максимальных значений градиента плотности на ~ 10–20 м. Географически районы с малыми значениями максимума частоты плавучести соответствуют районам с большими значениями максимума амплитуды вертикальной составляющей скорости ВВ. Коэффициент корреляции между Nmax(z) и Wmax(z) находится в диапазоне от –0,45 до –0,77, R между глубинами Nmax(z) и Wmax(z) – в диапазоне 0,23–0,78 [8].
Заключение
На основе термохалинных данных World Ocean Atlas за период 1955–2020 гг. с разрешением 0,25°0,25° проведено исследование плотностной стратификации вод и характеристик внутренних волн в морях Баренцевом, Карском, Лаптевых, Восточно-Сибирском, Чукотском и Бофорта. Выполнен анализ связи вертикальной структуры поля плотности и характеристик свободных внутренних волн в указанных морях.
Показано, что максимальная устойчивость вод в Баренцевом море наступает в июле – августе, в Карском море – в сентябре, ноябре, в море Лаптевых – в июне – ноябре, в Восточно-Сибирском и Чукотском море – в июле, в море Бофорта – в июне. В эти месяцы осредненные по акваториям морей значения максимума частоты плавучести составляют: в Баренцевом море ~ 11 цикл/ч, в Карском море ~ 31 цикл/ч, в море Лаптевых ~ 30 цикл/ч, в Восточно-Сибирском море ~ 45 цикл/ч, в Чукотском море ~ 22 цикл/ч, в море Бофорта ~ 42 цикл/ч. Осредненные по акваториям морей глубины залегания максимального градиента плотности следующие: в Баренцевом море ~ 21 м, в Карском море ~ 18 м, в море Лаптевых ~ 16 м, в Восточно-Сибирском море ~ 6 м, в Чукотском море ~ 13, в море Бофорта ~ 17 м.
Получено, что наибольшие значения Wmax(z)ср наблюдаются в месяцы наименьших градиентов плотности: в Баренцевом и Карском морях – в марте, в морях Лаптевых, Восточно-Сибирском и Бофорта – в апреле, в Чукотском – в апреле и декабре. Коэффициент корреляции между внутригодовыми циклами Nmax(z)ср и Wmax(z)ср лежит в интервале –0,73 … –0,95. Внутренние волны с наименьшими периодами (наибольшими частотами) наблюдаются в месяцы максимальных градиентов плотности. Коэффициент корреляции между внутригодовыми циклами Nmax(z)ср и изменяется в диапазоне –0,83 … –0,95.
При рассмотренных условиях глубина залегания максимальных значений амплитуды вертикальной составляющей скорости внутренних волн превышает глубину залегания максимальных значений градиента плотности примерно на 10–20 м.
1 Никифоров Е. Г., Шпайхер А. О. Закономерности формирования крупномасштабных колебаний гидрологического режима Северного Ледовитого океана. Л. : Гидрометеоиздат, 1980. 270 с.
2 Arctic Great Rivers Observatory IV Biogeochemistry and Discharge Data: 2020–2024 : Discharge Dataset / R. M. Holmes [et al.] ; Arctic Data Center. 2021. Version 20220630. doi:10.18739/A2FQ9Q683
3 Миропольский Ю. З. Динамика внутренних гравитационных волн в океане. Л. : Гидрометеоиздат, 1981. 302 с.
4 Добровольский А. Д., Залогин Б. С. Моря СССР. М. : МГУ, 1982. 192 с.
About the authors
А. А. Bukatov
Marine Hydrophysical Institute, Russian Academy of Sciences
Author for correspondence.
Email: newisland@list.ru
ORCID iD: 0000-0002-1165-8428
ResearcherId: P-6733-2017
ведущий научный сотрудник, отдел океанографии, кандидат физико-математических наук
Russian Federation, SevastopolN. M. Solovei
Marine Hydrophysical Institute, Russian Academy of Sciences
Email: nele7@mail.ru
ORCID iD: 0000-0003-3359-0345
младший научный сотрудник, отдел океанографии
Russian Federation, SevastopolЕ. А. Pavlenko
Marine Hydrophysical Institute, Russian Academy of Sciences
Email: pavlenko.ea@mhi-ras.ru
ORCID iD: 0000-0001-9146-5708
младший научный сотрудник, отдел океанографии
Russian Federation, SevastopolReferences
- Atlantic sources of the Arctic Ocean surface and halocline waters / B. Rudels [et al.] // Polar Research. 2004. Vol. 23, iss. 2. P. 181–208. https://doi.org/10.3402/polar.v23i2.6278
- Ivanov V. V., Frolov I. E., Filchuk K. V. Transformation of Atlantic Water in the north-eastern Barents Sea in winter // Проблемы Арктики и Антарктики. 2020. Т. 66, № 3. С. 246–266. https://doi.org/10.30758/0555-2648-2020-66-3-246-266
- Фёдорова З. П., Янкина З. С. Поступление тихоокеанской воды через Берингов пролив в Чукотское море // Океанология. 1963. Т. III, вып. 5. С. 777–784.
- Bukatov A. A., Pavlenko E. A., Solovei N. M. River runoff influence on the density stratification of the russian arctic seas // Processes in GeoMedia / Ed. T. Chaplina. Switzerland, Cham : Springer, 2023. P. 523–536. (Springer Geology Series ; vol. VI). https://doi.org/10.1007/978-3-031-16575-7
- Букатов А. А., Павленко Е. А., Соловей Н. М. Особенности пространственно-временной изменчивости частоты Вяйсяля – Брента в Баренцевом и Карском морях // Процессы в геосредах. 2018. № 3. С. 1004–1013.
- Букатов А. А., Павленко Е. А., Соловей Н. М. Региональные особенности распределения частоты Вяйсяля – Брента в морях Лаптевых и Восточно-Сибирском // Морской гидрофизический журнал. 2019. Т. 35, № 5. С. 437–448. doi: 10.22449/0233-7584-2019-5-437-448
- Букатов А. Е., Павленко Е. А. Пространственно-временная изменчивость распределения частоты плавучести в Чукотском море // Процессы в геосредах. 2017. № 3 (12). С. 573–579.
- Букатов А. А., Соловей Н. М., Павленко Е. А. Свободные короткопериодные внутренние волны в арктических морях России // Морской гидрофизический журнал. 2021. Т. 37, № 6. С. 645–658. doi: 10.22449/0233-7584-2021-6-645-658
- Букатов А. А., Соловей Н. М., Павленко Е. А. Оценка связи дисперсионных свойств свободных внутренних волн и вертикальной структуры поля плотности в Баренцевом и Карском морях // Морской гидрофизический журнал. 2020. Т. 36, № 1. С. 20–30. doi: 10.22449/0233-7584-2020-1-20-30
- Букатов А. А., Павленко Е. А., Соловей Н. М. Влияние материкового стока на плотностную стратификацию морей Лаптевых и Восточно-Сибирского // Процессы в геосредах. 2021. № 2 (28). С. 1093–1100.
- World Ocean Atlas 2018. Volume 1 : Temperature / R. A. Locarnini [et al.] ; techn. ed. A. Mishonov. Silver Spring, MD : U.S. Department of Commerce, 2019. 52 p. (NOAA Atlas NESDIS 81). URL: https://www.ncei.noaa.gov/sites/default/files/2021- 03/woa18_vol1.pdf (date of access: 31.10.2021).
- World Ocean Atlas 2018. Volume 2 : Salinity / M. M. Zweng [et al.] ; techn. ed. A. Mishonov. Silver Spring, MD : U.S. Department of Commerce, 2019. 50 p. (NOAA Atlas NESDIS 82). URL: https://www.ncei.noaa.gov/sites/default/files/2020-04/woa18_vol2.pdf (date of access: 31.10.2021).
- Гриценко В. А., Красицкий В. П. Об одном способе расчета дисперсионных соотношений и собственных функций внутренних волн в океане по данным натурных измерений // Океанология. 1982. Т. XXII, вып. 4. С. 545–549.
- Козлов И. Е., Кудрявцев В. Н., Сандвен С. Некоторые результаты исследования внутренних волн в Баренцевом море методами радиолокационного зондирования из космоса // Проблемы Арктики и Антарктики. 2010. № 3. С. 60–69. EDN NDLAFR.
- Короткопериодные внутренние волны в Белом море: оперативный подспутниковый эксперимент летом 2012 г. / А. В. Зимин [и др.] // Исследование Земли из космоса. 2014. № 3. С. 41–55. doi: 10.7868/S0205961414030087
- Характеристики поля короткопериодных внутренних волн в Карском море по данным спутниковых радиолокационных измерений / И. Е. Козлов [и др.] // Исследование Земли из космоса. 2015. № 4. С. 44–59. doi: 10.7868/S0205961415040053
- Трансформация бризера внутренних волн первой моды над вертикальным уступом в трехслойной жидкости / П. В. Лобовиков [и др.] // Известия Российской академии наук. Физика атмосферы и океана. 2019. Т. 55, № 6. С. 182–193. https://doi.org/10.31857/S0002-3515556182-193
- Воды Баренцева моря: структура, циркуляция, изменчивость / В. К. Ожигин [и др.]. Мурманск : ПИНРО, 2016. 260 с.
- Осадчиев А. А. Речные плюмы. М. : Научный мир, 2021. 286 с. EDN TLSXFF.
- Петров К. М. Принципы физико-географической дифференциации арктических морей: Карское море // Известия Российской академии наук. Серия географическая. 2008. № 6. С. 19–30. EDN JUPKSH.
- Тимофеев В. Т. Устойчивость вод Баренцева моря // Проблемы Арктики. 1944. Вып. 3. С. 5–37.
- Межгодовая изменчивость распространения речных вод в Карском море / В. В. Иванов [и др.] // Труды ААНИИ. 1984. Т. 368. С. 74–81.
- Changing Arctic Ocean freshwater pathways / J. Morison [et al.] // Nature. 2012. Vol. 481. P. 66–70. doi: 10.1038/nature10705
- Каган Б. А., Тимофеев А. А., Софьина Е. В. Сезонная изменчивость поверхностного и внутреннего М2 приливов в Северном Ледовитом океане // Известия Российской академии наук. Физика атмосферы и океана. 2010. Т. 46, № 5. С. 703–714. EDN MVSEPT.
- Поверхностные и внутренние волны в арктических морях / Под ред. И. В. Лавренова, Е. Г. Морозова. СПб. : Гидрометеоиздат, 2002. 362 с.
Supplementary files















