Нарушения регуляции объема клеток эндотелия роговицы при кератоконусе
- Авторы: Кузеина И.М.1, Каткова Л.Е.2, Батурина Г.С.1,2, Пальчикова И.Г.3, Искаков И.А.4, Соленов Е.И.1,2,5
-
Учреждения:
- Новосибирский национальный исследовательский государственный университет
- Федеральный исследовательский центр Институт цитологии и генетики Сибирского отделения РАН
- Новосибирский национальный исследовательский государственный университет Конструкторско-технологический институт научного приборостроения СО РАН
- Национальный медицинский исследовательский центр “Межотраслевой научно-технический комплекс “Микрохирургия глаза им. акад. С.Н. Федорова” Минздрава России, Новосибирский филиал
- Новосибирский государственный технический университет
- Выпуск: Том 41, № 3 (2024)
- Страницы: 211-218
- Раздел: СТАТЬИ
- URL: https://ogarev-online.ru/0233-4755/article/view/260734
- DOI: https://doi.org/10.31857/S0233475524030042
- EDN: https://elibrary.ru/csqpnk
- ID: 260734
Цитировать
Полный текст
Аннотация
В работе проведено исследование проницаемости для воды и мочевины плазматических мембран клеток эндотелия нормальной роговицы и роговицы с выраженной формой кератоконуса. Клетки эндотелия роговицы человека, получали из операционного материала. Определение осмотической водной проницаемости (Pf) клеток эндотелия в норме и при кератоконусе не выявило значительных различий этого показателя в обеих группах, где клетки имеют близкую по величине осмотическую водную проницаемость (контроль Pf = 0.53 ± 0.045 см/с; кератоконус Pf =0.63 ± 0.041 см/с) (n = 25; p ≥ 0.05). Коэффициенты проницаемости для мочевины в обеих группах также не имели статистически значимых различий (контроль Pu = 0.049 ± 0.003 см/с; кератоконус Pu = 0.056 ± 0.003 см/с) (n 25; p ≥ 0.05). Анализ динамики клеточного объема на основе экспоненциальной аппроксимации показал, что клетки эндотелия роговицы с кератоконусом снижают свой объем в гипертонической среде в большей степени по сравнению с клетками здоровой роговицы. Увеличение клеточного объема в результате изотонического входа мочевины в гипертонической среде также происходило до существенно более высоких значений по сравнению с нормальными клетками. Делается заключение о значительных изменениях в механизме регуляции объема клеток эндотелия роговицы при кератоконусе.
Ключевые слова
Полный текст
ВВЕДЕНИЕ
Кератоконус – болезнь, связанная с ухудшением зрения в результате развития неправильного астигматизма, вызываемого прогрессивным истончением и деформацией роговицы. В зависимости от региона болезнь может появляться с частотой от 1.5 до 25 случаев на 100 000 человек в год в возрасте около 20 лет у обоих полов и прогрессировать в более позднем возрасте. В настоящее время умеренные проявления кератоконуса компенсируют с помощью очков и контактных линз, а в более выраженных случаях применяют хирургическое лечение. Результаты исследований изменений роговицы, возникающих при кератоконусе, носят противоречивый характер, отклонения от нормы описаны в эпителии, боуменовой мембране и строме, а в десцеметовой мембране и эндотелии нарушения наблюдают значительно реже [1]. Гистопатологические исследования показали, что болезнь затрагивает все слои роговицы. В эпителии роговицы при кератоконусе происходят дегенеративные процессы. Клетки увеличиваются в размерах, теряют нормальную форму, плотность базального слоя клеток эпителия снижается [2, 3]. Значительные изменения, происходящие в строме и влияющие на оптические свойства роговицы, не затрагивают размер клеток эндотелия и, по-видимому, могут быть связаны с изменениями во внутриклеточных механизмах [4–6]. Вопрос об изменении количества клеток эндотелия при кератоконусе остается дискуссионным: в работах одних исследователей этот параметр оставался неизменным [7–9], другие авторы отмечали снижение этого показателя [10–12]. Изучение экспрессии белков роговицы выявило, что болезнь оказывает влияние на экспрессию более 100 белков, на содержание коллагена в строме, на процессы апоптоза и некроза кератоцитов [13–15]. Плотность коллагеновых фибрилл стромы и содержание протеогликанов в матриксе, отмечаемые при кератоконусе, зависят от осмотического равновесия роговицы. Так, в случаях нарушения целостности монослоя эндотелия происходит гипергидратация матрикса – гидропс роговицы (corneal hydrops), который требует хирургического лечения [16, 17]. Высказывают предположение, что нарушения фибриллярной структуры стромы могут быть связаны с наблюдаемыми изменениями градиента осмотического давления, что указывает на повреждения в механизме регуляции осмотического равновесия матрикса [18]. Известно, что в регуляции осмотического баланса стромы роговицы определяющая роль принадлежит транспортной функции клеток эндотелия, которую часто описывают в терминах модели “насос-утечка” (pump-leak) [19]. Насосная функция клеток эндотелия определяется интенсивностью процессов активного транспорта и проницаемостью плазматической мембраны для воды и осмолитов. При этом поток ионов и воды через мембрану этих клеток, необходимый для поддержания осмотического баланса матрикса роговицы, не должен нарушать собственный водно-электролитный гомеостаз клетки, определяющий постоянство ее объема. Поддержание клеточного объема у теплокровных животных осуществляется исключительно регуляцией потоков через плазматическую мембрану неорганических ионов и низкомолекулярных органических осмолитов [20–22]. Органические осмолиты условно разделяют на совместимые, которые минимально влияют на функционирование молекулярных механизмов клетки, и такие как мочевина, которые способны влиять на конформацию функциональных макромолекул, влиять на функции ферментов и приводить к дезадаптации клеток [21, 23]. Роль транспорта мочевины в функционировании клеток эндотелия роговицы может быть значительна, поскольку есть данные о связи экспрессии генов семейства SLC (SLC4A11, SLC14A1) с нарушениями зрения. Показано, что в клетках эндотелия роговицы интенсивно экспрессируется ген SLC14A1, который кодирует транспортер мочевины UT-A [24]. Изучение транспортеров мочевины и их функции осложняется тем, что в результате альтернативного сплайсинга в клетке может существовать множество изоформ этих белков [25, 26]. Изучение общего транспорта мочевины, осуществляемого не только изоформами UT-A, но и менее изученными транспортерами, представляется необходимым для понимания роли этого осмолита в регуляторной функции клеток эндотелия роговицы.
В настоящей работе мы поставили задачу исследовать транспорт мочевины в клетках эндотелия методом, который независим от того, какие изоформы транспортера UT-A экспрессируются в этих клетках, включая транспорт другими путями. Мы провели сравнительное исследование проницаемости для воды и мочевины плазматических мембран клеток эндотелия нормальной роговицы и роговицы с выраженной формой кератоконуса.
МАТЕРИАЛЫ И МЕТОДЫ
Исследование проводилось на клетках эндотелия роговицы человека, полученных из роговичных дисков, иссеченных у пациентов с кератоконусом в ходе сквозной кератопластики.
Препарат переживающих клеток. Эндотелий наносили на покровное стекло, покрытое полилизином методом отпечатка. С этой целью фрагмент роговицы инкубировали в растворе 1 мг/мл коллагеназы (Sigma, США) в PBS (138 мM NaCl, 4.7мM Na₂HPO₄, 2.7 мM KCl, 1.5 мM KH₂PO₄, 0.5 мM MgCl₂, 5.5 мM глюкоза, 1.0 мM CaCl₂) при 37оC 30 мин, затем методом отпечатка переносили клетки эндотелия на покровное стекло, покрытое 0.1% (w/v) раствором полилизина (Sigma) в воде. Стекло c клетками эндотелия, ориентированными базолатеральной поверхностью в сторону омывающей среды, помещали в проточную камеру микроскопа. Затем загружали клетки Calcein AM (10–5M, 20 мин, 37оC). Изменения клеточного объема определяли с помощью метода, основанного на эффекте гашения флуоресцентного красителя Calcein белками цитоплазмы [27, 28]. Для определения водной проницаемости клетки уравновешивали в нормотонической среде с осмотической концентрацией 280 мОсм/кг H₂O и записывали профиль флуоресценции, отражающий снижение объема при быстрой (<100 мс) смене среды на гипертоническую (560 мОсм/кг H₂O). Гипертоническую среду создавали маннитолом (280 мM, Sigma). Водную проницаемость рассчитывали исходя из уравнения потока [29]. Площадь поверхности, через которую идет поток, мы принимали равной площади изображения клетки, учитывая, что клетки лежат на стекле и только открытая часть их поверхности доступна для обмена.
dV/dt = –S Vw Pf gradΦ,
где Pf – коэффициент осмотической проницаемости (см/c), S – площадь поверхности, Vw – молярный объем воды, Ф – осмотическое давление.
Флуоресцентный профиль (F) аппроксимировали функцией y = y0 + Ae(–t/τ). С учетом того, что, как нами показано ранее, V/V₀= F/F₀[22], где V₀ – начальный объем клетки, а F₀ – начальный уровень флуоресцентного сигнала.
Pf – коэффициент осмотической проницаемости рассчитывали исходя из соотношения:
dV/dt = V₀ Kr = Pf S Vw∆C,
Pf = V₀Kr / (SVw∆C),
где Kr – коэффициент линейной регрессии начального участка профиля относительной флуоресценции (F/F₀), ∆C – разность осмотических концентраций (Осм/кг H₂O) на плазматической мембране клетки.
Коэффициент проницаемости для мочевины определяли, анализируя кинетику увеличения объема клетки в гипертонической среде при изотоническом входе мочевины. Увеличение клеточного объема в такой системе приближенно можно описать уравнением:
V/V₀ ≈ 1+Cu/Πout ≈ 1+[(SPu ∆C)/(V₀Πout)] t;
тогда
∆C= Cout – Cu;
(V/V₀–1)/t => (F/F₀)/t = Kru;
Pu ≈ Kru (V₀Пout)/(SCout),
где: Kru – коэффициент регрессии объема клетки в присутствии мочевины. Cu ̶ концентрация мочевины в клетке. Cout – концентрация мочевины в среде. Пout – осмотическая концентрация среды. V₀ – начальный объем клетки. Pu – коэффициент проницаемости для мочевины.
Протокол эксперимента. Клетки уравновешивали в среде PBS (280 мОсм/кг H₂O), меняли среду на PBS+маннитол (560 мОсм/кг H₂O) и уравновешивали клетки в этой гипертонической среде, изотонически меняли среду на PBS+мочевина (560 мОсм/кг H₂O), записывали возрастание флуоресценции в течение 20–30 с, возвращали в среду PBS (280 мОсм/кг H₂O) (рис. 1).
Рис. 1. Схема эксперимента. По оси ординат – относительная флуоресценция (F/F₀).
Микроскопия. Экcпеpиментальная установка пpедcтавляла собой пpоточную камеpу, pазpаботанную для иcпользования c флуоpеcцентным микpоcкопом Observer-Z1 (объектив Fluar 25×/0.8 M27, Zeiss, Германия). Конструкция проточной камеры описана нами ранее [29]. Объем камеры составлял ~50 мкл, cкоpоcть пpотекания pаcтвоpа 25 мл/мин, поддерживаемая температура 36.8 ± 0.2оC. Флуоресцентные сигналы клеток записывали с помощью фотосенсора Hamamtsu H7827, используя набор фильтров и дихроическое зеркало #009 (Zeiss, Германия).
Статистический анализ. Анализ профилей флуоресценции проводили с помощью пакета Origin 5.0. Статистические расчеты производили с использованием пакета програмM Statistica 6.0 для Windows. Полученные данные были проанализированы с помощью t-критерия Стьюдента. Результаты представлены как M±SEM. Результаты считали значимыми при p<0.05. Проверку нормальности распределения проводили в тесте Shapiro–Wilk в програмMе Statistica 6.0.
РЕЗУЛЬТАТЫ
На рис. 2 приведены усредненные профили флуоресценции красителя Calcein с применением экспоненциальной аппроксимации, отражающие изменения клеточного объема эндотелиоцитов роговицы в гипертонической среде. Анализ профилей показал, что клетки роговицы с кератоконусом снижают объем до более низких значений по сравнению с клетками здоровой роговицы. Очевидно осмотическое равновесие эндотелиоцитов роговицы с патологией достигается при меньшем клеточном объеме по сравнению с нормой.
Рис. 2. Усредненные профили динамики относительной флуоресценции красителя Calcein в гипертонической среде, отражающие изменения объема клеток эндотелия роговицы.
1 – Контроль (n = 25); 2 – кератоконус (n = 21). Линией серого цвета приведена экспоненциальная аппроксимация профилей (y = y0+Ae(–t/τ)).
Анализ экспоненциальной аппроксимации профилей динамики клеточного объема показал, что клетки нормального эндотелия достигают осмотического равновесия в гипертонической среде быстрее (характерное время (τ) контроль 0.29 ± 0.004; кератоконус 0.38 ± 0.005 с, p < 0.0001 (n = 25, t = 14)) и при меньшем снижении объема (параметр “амплитуда” контроль 0.57 ± 0.004; кератоконус 0.92 ± 0.006, p < 0.0001 (n = 25, t = 48) (F/F₀)). При кератоконусе более выраженное снижение объема в таких условиях отражает, по-видимому, меньшее содержание осмолитов в клетках эндотелия, что может быть связано с вызванными патологией нарушениями в механизме регуляции клеточного объема.
Графики линейной аппроксимации начальных участков усредненных профилей снижения клеточного объема в гипертонической среде приведены на рис. 3.
Рис. 3. Начальные участки усредненных профилей динамики относительной флуоресценции красителя Calcein в гипертонической среде, отражающие снижение объема клеток эндотелия роговицы.
1 – Контроль (n = 25); 2 – кератоконус (n = 21). Линией серого цвета приведена линейная аппроксимация профилей.
Сравнение величин осмотической водной проницаемости (Pf) клеток эндотелия в норме и при кератоконусе, рассчитанных с учетом коэффициентов регрессии начальных участков профилей флуоресценции, не выявило достоверных различий этого показателя (контроль Pf = 0.53 ± ± 0.045 см/с; кератоконус Pf = 0.63 ± ±0.041 см/с) (n = 25; p ≥ 0.05).
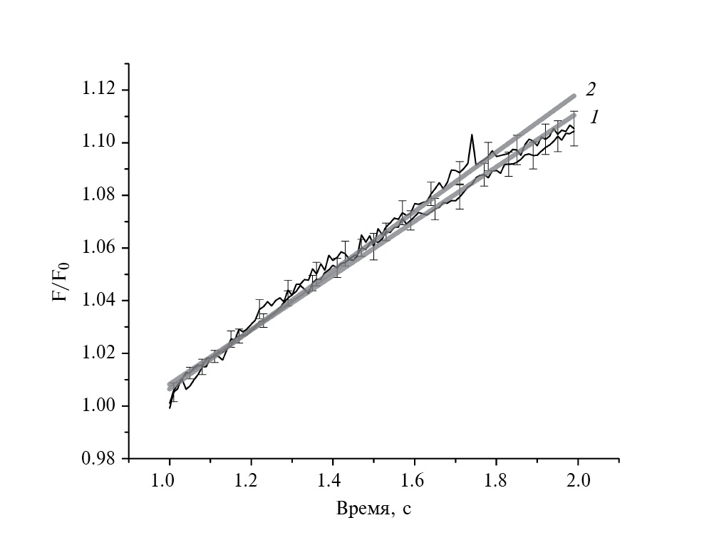
Проницаемость плазматической мембраны эндотелиальных клеток роговицы для мочевины изучали в экспериментах с регистрацией изменений клеточного объема, который увеличивался в результате входа в клетку мочевины в соответствии с ее градиентом концентрации при отсутствии градиента осмотического давления. Согласно полученным результатам при этих условиях в клетках роговицы с патологией кератоконуса объем возрастал до значительно более высоких значений по сравнению с контролем (рис. 4).
Рис. 4. Усредненные профили динамики относительной флуоресценции красителя Calcein в гипертонической среде мочевины, отражающие изотоническое увеличение объема клеток эндотелия роговицы.
1 – Контроль (n = 26); 2 – кератоконус (n = 20). Линией серого цвета приведена экспоненциальная аппроксимация профилей (y = y0+Ae(–t/τ)).
На основе экспоненциальной аппроксимации профилей изотонического изменения клеточного объема в гипертонической среде мочевины (рис. 4) были определены значения амплитуды и характерного времени (τ), что выявило различие динамики объема клеток эндотелия контрольных образцов и роговицы с кератоконусом. По сравнению с контрольными образцами клетки эндотелия роговицы с кератоконусом увеличивали объем дольше (характерное время (τ) контроль 4.27 ± 0.024 с; кератоконус 8.45 ± 0.033 с, p<0.0001 (n = 25, t = 102)) и до больших значений (“амплитуда” контроль 0.31 ± 0.0006; кератоконус 0.67 ± 0.001, p<0.0001 (n =25, t = 308) (F/F₀)).
Рис. 5. Начальные участки усредненных профилей динамики относительной флуоресценции красителя Calcein, отражающие повышение объема клеток эндотелия роговицы в гипертонической среде мочевины.
1 – Контроль (n = 26); 2 –кератоконус (n = 20). Линией серого цвета приведена линейная аппроксимация профилей.
Более выраженное увеличение объема клеток роговицы с кератоконусом в гипертонической мочевине позволяет предположить, что этот эффект также обусловлен нарушениями в механизме регуляции клеточного объема. Значения коэффициентов проницаемости для мочевины (Pu) в обеих группах не имели между собой статистически значимых различий (контроль Pu = 0.049 ± 0.003 см/с; кератоконус Pu = 0.056 ± 0.003 см/с) (n = 25; p ≥ 0.05), как следует из графиков линейной аппроксимации начальных участков профилей изотонического увеличения объема клеток эндотелия роговицы в гипертонической среде мочевины, приведенных на рис. 5.
ОБСУЖДЕНИЕ
Прозрачность матрикса роговицы обусловлена упорядоченной структурой коллагеновых волокон, расстояния между которыми определяются наличием протеогликанов и степенью гидратации матрикса, что нарушается при кератоконусе [4]. Согласно принятой модели механизма регуляции осмотического баланса матрикса роговицы “насос-утечка”, степень гидратации матрикса определяется соотношением потоков ионов и воды, обусловленных активным транспортом, и потоков, движущей силой которых является градиент осмотического давления. Наши наблюдения указывают на возможные нарушения насосной функции клеток эндотелия. Поток воды и ионов, определяющих осмотическое давление среды в матриксе роговицы, зависит от активности ионных насосов клетки и водной проницаемости ее плазматической мембраны. Потоки воды и ионов, проходящих через клетку эндотелия, не только определяют осмотическую концентрацию матрикса, но и представляют собой риск для осмотического баланса собственно клетки. Способность регулировать свой осмотический гомеостаз, что эквивалентно регуляции объема клетки, является ее жизненно важной функцией.
Постоянство клеточного объема поддерживается главным образом за счет регуляции содержания в клетке низкомолекулярных органических осмолитов [22]. Таким образом, увеличение амплитуды снижения относительной флуоресценции Calcein в клетках эндотелия в гипертонической среде, что соответствует снижению объема этих клеток, может означать меньшее по сравнению с нормой содержание низкомолекулярных органических осмолитов при кератоконусе. Такое заключение можно сделать и на основании результатов по увеличению объема клеток эндотелия в гипертонической среде, создаваемой маннитолом, при изотонической замене маннитола на мочевину. Профили флуоресценции, наблюдаемые в наших экспериментах, также указывают на значительные изменения в механизме регуляции объема этих клеток при кератоконусе. Следует отметить, что предполагаемые сдвиги регуляции клеточного объема происходят без значительных изменений проницаемости плазматической мембраны клеток как для воды, так и для мочевины. Поскольку объем клетки в состоянии осмотического равновесия в значительной мере определяется содержанием в клетке органических осмотически активных молекул, изменения, обнаруживаемые в регуляции объема клеток эндотелия роговицы в состоянии кератоконуса, связаны, вероятно, с изменениями их метаболизма и, возможно, состава. Исследование состава и метаболизма органических осмолитов в клетках эндотелия роговицы, находящейся в состоянии кератоконуса, возможно, является необходимым этапом изучения механизма этого заболевания. В этой связи, полученные нами высокие показатели проницаемости для мочевины в клетках эндотелия также ставят вопрос о возможной связи уровня мочевины в крови с патологическими изменениями в этих клетках, поскольку, в отличие от клеток почки, эндотелий роговицы не функционирует в условиях высокой концентрации мочевины и ее градиента. Клетки почечного эпителия, резистентные к потокам мочевины, возможно, обладают защитным механизмом от денатурирующего действия мочевины. Насколько развит защитный механизм у клеток эндотелия роговицы, в настоящее время не ясно, но то, что проницаемость этих клеток для мочевины высока, делает исследование такого механизма актуальным. Вопрос о влиянии интенсивности потока мочевины через клетки эндотелия роговицы на функционирование этих клеток в настоящее время не решен и требует специального исследования. Величины осмотической проницаемости плазматической мембраны клеток эндотелия роговицы человека для воды, полученные в нашем исследовании, больше, чем полученные для клеток у крыс как эндотелия роговицы (Pf = 0.029–0.035 см/с) [29], так и главных клеток собирательных трубок эпителия почки (Pf = 0.024–0.012 см/с), как показано нами ранее [29, 30]. Можно предположить, что более высокие значения водной проницаемости у клеток эндотелия роговицы человека по сравнению с крысой могут означать и более эффективный транспорт, а также то, что функции этих клеток по эффективности транспорта могут быть сравнимы с клетками эпителия почки.
ЗАКЛЮЧЕНИЕ
Исследование не выявило различий проницаемости плазматической мембраны клеток эндотелия роговицы для воды и мочевины в норме и при кератоконусе. Анализ динамики клеточного объема в условиях осмотического шока показал, что клетки эндотелия роговицы с кератоконусом изменяют свой объем в значительно более выраженной степени по сравнению с клетками эндотелия здоровой роговицы. Увеличение клеточного объема в результате изотонического входа мочевины в гипертонической среде также происходило до значительно более высоких значений по сравнению с нормальными клетками. Значительные изменения в механизме регуляции объема клеток эндотелия роговицы при кератоконусе, возможно, связаны с нарушениями в метаболизме органических осмолитов этих клеток при патологии.
Вклад авторов. Идея работы и планирование эксперимента (Е.И. Соленов, И.А. Искаков), сбор данных (Г.С. Батурина, Л.Е. Каткова, И.М. Кузеина, Е.И. Соленов), обработка данных и написание манускрипта (Г.С. Батурина, Л.Е. Каткова, И.М. Кузеина, Е.И. Соленов), обсуждение и редактирование манускрипта (Г.С. Батурина, Л.Е. Каткова, Е.И. Соленов, И.Г. Пальчикова, И.А. Искаков).
Финансирование. Работа выполнена при поддержке бюджетного проекта FWNR-2022-0019.
Конфликт интересов. Авторы заявляют об отсутствии конфликта интересов.
Соблюдение этических норм. Исследование проведено в соответствии с принципами Хельсинской декларации Всемирной медицинской ассоциации “Этические принципы проведения научных медицинских исследований с участием человека”, Федеральным законом Российской Федерации от 21 ноября 2011 г. № 323 ФЗ “Об основах охраны здоровья граждан в Российской Федерации”, а также требованиями Федерального закона от 27.07.2006 № 152-ФЗ (ред. от 21.07.2014) “О персональных данных” (с изм. и доп., вступ. в силу с 01.09.2015). Забор материала осуществляли сотрудники Новосибирского филиала ФГАУ НМИЦ “МНТК “Микрохирургия глаза” им. акад. С.Н. Федорова” Минздрава России. На проведение исследования получено разрешение Биоэтического комитета Новосибирского филиала ФГАУ НМИЦ “МНТК “Микрохирургия глаза”. Все пациенты дали письменное информированное согласие на исследование биологического материала и использование полученных данных в научных целях.
Об авторах
И. М. Кузеина
Новосибирский национальный исследовательский государственный университет
Email: eugsol@bionet.nsc.ru
Россия, Новосибирск, 630090
Л. Е. Каткова
Федеральный исследовательский центр Институт цитологии и генетики Сибирского отделения РАН
Email: eugsol@bionet.nsc.ru
Россия, Новосибирск, 630090
Г. С. Батурина
Новосибирский национальный исследовательский государственный университет; Федеральный исследовательский центр Институт цитологии и генетики Сибирского отделения РАН
Email: eugsol@bionet.nsc.ru
Россия, Новосибирск, 630090; Новосибирск, 630090
И. Г. Пальчикова
Новосибирский национальный исследовательский государственный университетКонструкторско-технологический институт научного приборостроения СО РАН
Email: eugsol@bionet.nsc.ru
Россия, Новосибирск, 630090; Новосибирск, 630058
И. А. Искаков
Национальный медицинский исследовательский центр “Межотраслевой научно-технический комплекс “Микрохирургия глаза им. акад. С.Н. Федорова” Минздрава России, Новосибирский филиал
Email: eugsol@bionet.nsc.ru
Россия, Новосибирск, 630096
Е. И. Соленов
Новосибирский национальный исследовательский государственный университет; Федеральный исследовательский центр Институт цитологии и генетики Сибирского отделения РАН; Новосибирский государственный технический университет
Автор, ответственный за переписку.
Email: eugsol@bionet.nsc.ru
Россия, Новосибирск, 630090; Новосибирск, 630090; Новосибирск, 630087
Список литературы
- Santodomingo-Rubido J., Carracedo G., Suzaki A., Villa-Collar C., Vincen S.J., Wolffsohn J.S. 2022. Keratoconus: An updated review. Cont. Lens Anterior Eye. 45.(3), 101559.
- Scroggs M.W., Proia A.D. 1992. Histopathological variation in keratoconus. Cornea 11 (6), 553–559.
- Bitirgen G., Ozkagnici A., Bozkurt B., Malik R.A. 2015. In vivo corneal confocal microscopic analysis in patients with keratoconus. Int. J. Ophthalmol. 8, 534–539.
- Khaled M.L., Helwa I., Drewry M., Seremwe M., Estes A., Liu Y. 2017. Molecular and histopathological changes associated with keratoconus. Biomed. Res. Int. 2017, 7803029.
- Rabinowitz Y.S. 1998. Keratoconus. Surv. Ophthalmol. 42, 297–319.
- Ghosh S., Mutalib H.A., Kaur S., Ghoshal R., Retnasabapathy S. 2017. Corneal cell morphology in keratoconus: A confocal microscopic observation. Malays J. Med. Sci. 24 (2), 44–54.
- Weed K.H., MacEwen C.J., Cox A., McGhee C.N.J. 2007. Quantitative analysis of corneal microstructure in keratoconus utilising in vivo confocal microscopy. Eye. 21 (5), 614–623.
- Efron N., Hollingsworth J.G. 2008. New perspectives on keratoconus as revealed by corneal confocal microscopy. Clin. Exp. Optom. 91 (1), 34–55.
- El-Agha M.S.H., Sayed Y.M.E., Harhara R.M., Essam H.M. 2014. Correlation of corneal endothelial changes with different stages of keratoconus. Cornea. 33 (7), 707–711.
- Marianne O.P., Jodhbir S.M., Ula V.J., Francis W.P. 2021. Corneal endothelial dysfunction: Evolving understanding and treatment options. Progr. Retinal Eye Res. 82, 100904.
- Fernandes B.F., Logan P., Zajdenweber M.E., Santos L.N., Cheema D.P., Burnier M.N. 2008. Histopathological study of 49 cases of keratoconus. Pathology. 40 (6), 623–626.
- Mocan M.C., Yilmaz P.T., Irkec M., Orhan M. 2008. In vivo confocal microscopy for the evaluation of corneal microstructure in keratoconus. Curr. Eye Res. 33 (11), 933–939.
- Loukovitis E., Kozeis N., Gatzioufas Z., Kozei A., Tsotridou E., Stoila M., Koronis S., Sfakianakis K., Tranos P., Balidis M., Zachariadis Z., Mikropoulos D.G., Anogeianakis G., Katsanos A., Konstas A.G. 2019. The proteins of keratoconus: A literature review exploring their contribution to the pathophysiology of the disease. Adv. Ther. 36 (9), 2205–2222.
- Yam G.H.F., Fuest M., Zhou L., Liu Y.C., Deng L., Chan A.S. Ong H.S., Khor W.B., Ang M., Mehta J.S. 2019. Differential epithelial and stromal protein profiles in cone and non-cone regions of keratoconus corneas. Sci. Rep. 9 (1), 2965
- Srivastava O.P. Chandrasekaran D., Pfister R.R. 2006. Molecular changes in selected epithelial proteins in human keratoconus corneas compared to normal corneas. Mol. Vis. 12, 1615–1625.
- Fan Gaskin J.C., Patel D.V., McGhee C.N.J. 2014. Acute corneal hydrops in keratoconus – new perspectives. Am.J. Ophthalmol. 157 (5), 921–928.
- Yahia Chérif H., Gueudry J., Afriat M., Delcampe A., Attal P., Gross H., Muraine M. 2015. Efficacy and safety of pre-Descemet’s membrane sutures for the management of acute corneal hydrops in keratoconus. Br.J. Ophthalmol. 99 (6), 773–777.
- Mathew J.H., Goosey J.D., Söderberg P.G., Bergmanson J.P.G. 2015. Lamellar changes in the keratoconic cornea. Acta Ophthalmol. 93 (8), 767–773.
- Bonanno J.A. 2012. Molecular mechanisms underlying the corneal endothelial pump. Exp. Eye Res. 95 (1), 2–7.
- Lang F., Busch G.L., Ritter M., Volkl H., Waldegger S., Gulbins E., Haussinger D. 1998. Functional significance of cell volume regulatory mechanisms. Physiol. Rev. 78, 247–306.
- O’Neill W.C. 1999. Physiological significance of volume-regulatory transporters. Am.J. Physiol. Cell Physiol. 276, C995–C1011.
- Strange K. 2004. Cellular volume homeostasis. Adv. Physiol. Educ. 28 (1–4), 155–159.
- Gulotta M., Qiu L., Desamero R., Rösgen J., Bolen D.W., Callender R. 2007. Effects of cell volume regulating osmolytes on glycerol 3-phosphate binding to triosephosphate isomerase. Biochemistry. 46 (35), 10055–10062.
- Alvarez B.V., Piché M., Aizouki C., Rahman F., Derry J.M.J., Brunette I., Casey J.R. 2021. Altered gene expression in slc4a11-/- mouse cornea highlights SLC4A11 roles. Sci. Rep. 11 (1), 20885. doi: 10.1038/s41598–021–98921-w.
- Nakayama Y., Naruse M., Karakashian A., Peng T., Sands J.M., Bagnasco S.M. 2001. Cloning of the rat Slc14a2 gene and genomic organization of the UT-A urea transporter. Biochim. Biophys. Acta. 1518 (1–2),19–26
- Bagnasco S.M., Peng T., Janech M.G., Karakashian A., Sands J.M. 2001. Cloning and characterization of the human urea transporter UT-A1 and mapping of the human Slc14a2 gene. Am.J. Physiol. Renal Physiol. 281 (3), F400–6.
- Solenov E., Watanabe H., Manley G.T., Verkman A.S. 2004. Sevenfold-reduced osmotic water permeability in primary astrocyte cultures from AQP-4-deficient mice, measured by a fluorescence quenching method. Am.J. Physiol. Cell Physiol. 286 (2), 426–432.
- Батурина Г.С., Каткова Л.Е., Колосова Н.Г., Соленов Е.И. 2017. Изменение транспорта воды клетками эндотелия роговицы у крыс при старении. Успехи геронтол. 30 (5), 659–664.
- Zarogiannis S.G., Ilyaskin A.V., Baturina G.S., Katkova L.E., Medvedev D.A., Karpov D.I., Ershov A.P., Solenov E.I. 2013. Regulatory volume decrease of rat kidney principal cells after successive hypo-osmotic shocks. Math. Biosci. 244 (2), 176–187.
- Solenov E.I., Baturina G.S., Ilyaskin A.V., Katkova L.Y., Ivanova L.N. 2011. Cell volume regulation of rat kidney collecting duct epithelial cells in hypotonic medium. Dokl. Biol. Sci. 436, 13–55.
Дополнительные файлы







