Molecular Model of Norfloxacin Translocation Through the Yersinia pseudotuberculosis OmpF Porin Channel
- Authors: Chistyulin D.K.1, Zelepuga E.A.1, Novikov V.L.1, Balaneva N.N.1, Glazunov V.P.1, Chingizova E.A.1, Khomenko V.A.1, Novikova O.D.1
-
Affiliations:
- Еlyakov Pacific Institute of Bioorganic Chemistry, Far Eastern Branch of the Russian Academy of Sciences
- Issue: Vol 41, No 1 (2024)
- Pages: 36-57
- Section: Articles
- URL: https://ogarev-online.ru/0233-4755/article/view/255503
- DOI: https://doi.org/10.31857/S0233475524010032
- EDN: https://elibrary.ru/zmxwvx
- ID: 255503
Cite item
Full Text
Abstract
The interaction of Yersinia pseudotuberculosis OmpF (YpOmpF) porin with the fluoroquinolone antibiotic norfloxacin (Nf) and its derivatives (mono- and dihydrochloride) was studied using methods based on the use of bilayer lipid membranes (BLM), molecular modeling, and antibacterial activity testing. Asymmetric behavior of charged Nf (NfH+1) and (Nf2H+2) molecules was found to move through the YpOmpF channel depending on the membrane voltage and the side of antibiotic addition. Electrophysiological data were confirmed by computer modeling. For charged forms of the antibiotic, the presence of two peripheral high-affinity binding sites (NBS1 and NBS2), as well as an asymmetric current blocking site near the channel constriction zone (NBS3), was detected. The NBS1 site located near the channel mouth has almost the same affinity for both charged forms of Nf, while the localization of the more energetically favorable NBS2 site for the two salt forms of the antibiotic differs significantly. Nf has only one binding site near the channel constriction zone, which is a cluster of sites with lower overall affinity compared to the peripheral binding sites mentioned above. Slight differences were found in the antibacterial activity of the three forms of Nf, which is likely due to their different charge states and, accordingly, different permeability and/or ability to bind within the YpOmpF channel.
Full Text
ВВЕДЕНИЕ
В ходе эволюции бактерии, в том числе патогенные, разработали несколько стратегий для выживания в различных неблагоприятных условиях, как в окружающей среде, так и в организме хозяев. Грамотрицательные бактерии способны реагировать на недостаток питательных веществ, окислительный стресс, повреждение оболочки, воздействие антимикробных препаратов и другие влияющие на их рост изменения условий, что привело к развитию у этих микроорганизмов антибиотикорезистентности. Скорость, с которой бактерии развивают устойчивость к противомикробным препаратам, намного превышает скорость открытия новых лекарств, и это приводит к возникновению неизлечимых инфекций. Растущий уровень антибиотикорезистентности грамотрицательных бактерий наряду с отставанием в разработке новых потенциальных лекарственных средств делают эффективность лечения инфекционных заболеваний одной из глобальных проблем современной медицины.
Основной причиной особой опасности грамотрицательных бактерий является наличие у них, в отличие от грамположительных видов, наружной мембраны (НМ), ограничивающей периплазму и защищающей клетки от внешней среды. НМ представляет собой асимметричный бислой, который является высокоэффективным барьером для полярных молекул. Для контроля внутренней концентрации как питательных, так и вредных веществ в НМ экспрессируется несколько белковых систем, в том числе большое количество каналов или нанопор, формируемых белками-поринами, которые прежде всего участвуют в пассивной диффузии гидрофильных соединений, включая антибиотики. Эти заполненные водой каналы модулируют проникновение низкомолекулярных веществ, в том числе полярных молекул и ионов, в соответствии с градиентом концентрации. Таким образом, помимо экспрессии специфических ферментов для деградации лекарств, грамотрицательные бактерии также могут эффективно изменять проницаемость мембраны для антибиотиков, поддерживая их низкую внутреннюю концентрацию. Именно регулирование притока низкомолекулярных веществ через эти порообразующие белки является одним из важнейших механизмов бактериальной адаптации, в том числе антибиотикорезистентности [1].
В последнее время внимание к кинетическим свойствам клеточной оболочки бактерий вызвано, с одной стороны, острой потребностью в новых антибиотиках, а с другой — экспериментальными и теоретическими достижениями в изучении трансмембранного транспорта. Тем не менее, несмотря на большое количество используемых подходов, не существует прямых и надежных экспериментальных методов для измерения проницаемости малых молекул. Это серьезно ограничивает существующий на сегодня уровень знаний о молекулярных механизмах, контролирующих проникновение антибиотиков через НМ, и является существенным пробелом в современных представлениях о функциях грамотрицательных бактерий как патогенов, который необходимо заполнить [2]. В связи с этим выяснение молекулярных основ проницаемости НМ грамотрицательных бактерий по-прежнему является актуальной задачей.
Порины НМ бактерий семейства Еnterobacteriaceae имеют высокий уровень идентичности последовательностей и пространственной организации молекул с архетипическим OmpF порином Escherichia coli. Они представляют собой большие β-баррельные гомотримеры, состоящие из консервативной антипараллельной 16-нитевой структуры. Достаточное количество β-тяжей и их конфигурация обеспечивают возможность образования каждым мономером в тримере отдельной, независимо функционирующей поры для проникновения растворенных веществ. Участки последовательности, имеющие структуру β-изгиба, соединяют β-тяжи на периплазматической стороне канала, и несколько длинных неупорядоченных петель с элементами α-спирали выступают на внеклеточной стороне. Одна из этих внеклеточных петель L2 связана с соседним мономером порина, что обеспечивает стабилизацию тримерной структуры белковой молекулы. Вторая, самая длинная петля, L3, располагается внутри барреля, формируя «зону сужения, или констрикции» (ЗК), которая определяет предел эксклюзии диффундирующих низкомолекулярных веществ. Таким образом, каналы поринов имеют форму песочных часов [3, 4]. ЗK, как правило, характеризуется скоплением кислых остатков в последовательности L3, напротив, основные остатки сосредоточены на соседней внутренней стенке β-цилиндра. Такое распределение заряженных остатков на противоположных сторонах поры формирует внутри нее сильное поперечное электрическое поле [5], которое, как считается, регулирует проникновение ионов и перенос растворенных веществ [6].
Известно, что, несмотря на высокий уровень гомологии последовательностей неспецифических поринов, даже небольшие изменения в ЗК могут приводить к значительным изменениям в проникновении малых молекул [7]. Следовательно, специфические знания о структурных деталях отдельных каналов и о том, как они влияют на мембранный транспорт, очень важны.
Неспецифические порины грамотрицательной бактерии Е.coli, OmpF и OmpC считаются основными путями транслокации антибиотиков [8, 9]. При этом «главная» роль в этом процессе принадлежит OmpF порину, тогда как OmpС белок помимо этой функции, подобно OmpА белку, участвует в поддержании целостности мембраны [10]. Этот вывод подтверждают также наблюдения о более слабых взаимодействиях большинства антибиотиков с ортологами OmpC по сравнению с ортологами OmpF [11, 12]. Понижение уровня экспрессии неспецифических поринов, а также точечные мутации в их последовательности могут привести к уменьшению накопления антибактериальных агентов внутри клетки [7, 13]. Так, устойчивость к нескольким бета-лактамным антибиотикам наблюдалась у мутантных по ОmpF порину штаммов некоторых грамотрицательных возбудителей, в том числе Е. coli [14]; Klebsiella pneumonia [15]; Serratia marcescens [16]; Pseudomonas aeruginosa [17] и Enterobacter aerogenes [18]. При диффузии фторированных хинолонов через поры OmpF белков также наблюдалось заметное снижение накопления этих агентов в бактериальных штаммах с дефицитом OmpF [19].
Большое количество тщательно выполненных современных исследований посвящено транслокации через каналы неспецифических поринов различных антибиотиков ряда фторхинолонов, таких как норфлоксацин, ципрофлоксацин, энрофлоксацин и моксифлоксацин [20–23]. Предполагают, что из-за цвиттер-ионной природы фторхинолонов и наличия у их молекул значительного по величине, по сравнению с другими классами антибиотиков, дипольного момента (> 40 Д) молекулы фторхинолонов испытывают значительное влияние электрического поля внутри зоны сужения канала поринов. Например, было обнаружено, что энрофлоксацин имеет самое продолжительное время связывания внутри канала OmpF, 1–3 мс [21].
Представления о механизмах прохождения антибиотиков через поры неспецифических поринов менялись со временем. Первоначально считалось, что эти каналы «различают» растворенные вещества только по таким физико-химическим свойствам, как размер, гидрофобность и заряд. После открытия сайта связывания ампициллина внутри поринового канала было высказано предположение о том, что специфические взаимодействия также играют важную роль, особенно для проникновения лекарственных средств [24]. Однако позже путем тщательного изучения притока и оттока ампициллина и бензилпенициллина было показано, что первоначальная неспецифическая модель по-прежнему актуальна и роль специфических сайтов связывания преувеличена [25, 26].
К настоящему моменту получены только три кристаллические структуры комплексов порина с антибиотиками, а именно: OmpF белка с ампициллином, карбенициллином и эртапенемом [14]. Другие опубликованные модели взаимодействия антибиотиков с пориновыми каналами базируются, в основном, на применении методов молекулярного моделирования.
Данная работа посвящена исследованию взаимодействия OmpF порина Yersinia pseudotuberculosis (YpOmpF) с антибиотиком фторхинолонового ряда норфлоксацином и его производными (моно- и дигидрохлоридом) с помощью метода, основанного на использовании бислойных липидных мембран (БЛМ), молекулярного докинга и молекулярной динамики (МД). Антибиотики этого класса действуют преимущественно на грамотрицательные бактерии. Высокой активностью и наиболее широким спектром действия обладают 6-фторхинолоны, к которым принадлежит норфлоксацин. Кроме того, данный антибиотик был выбран в качестве модельного соединения по причине того, что штаммы патогенных для человека иерсиний (Y. pseudotuberculosis и Y. enterocolitica) высокочувствительны к фторсодержащим хинолонам (ципрофлоксацину, норфлоксацину, пефлоксацину). Однако данных о молекулярном механизме транспорта норфлоксацина через каналы НМ бактерий псевдотуберкулеза нет. В связи с этим мы полагаем, что изучение взаимодействия норфлоксацина и его производных с OmpF порином Y. pseudotuberculosis может быть полезно для понимания механизмов лекарственной устойчивости грамотрицательных бактерий в целом и иерсиний в частности.
Норфлоксацин (Nf) в качестве биполярного зонда часто применяют в электрофизиологических исследованиях одиночных молекул. Помимо исходного соединения, так называемой основной (нейтральной) формы Nf, в наших экспериментах были использованы две солевые формы Nf: моно- и дигидрохлорид (Nf·HCl и Nf·2HCl). Поскольку зарядовое состояние и, соответственно, растворимость основной формы норфлоксацина зависят от рН среды, особое внимание было уделено характеристике теоретически возможных форм молекулы этого антибиотика в водной среде.
Как известно, электрическое поле только ориентирует поляризованную молекулу (в нашем случае основание Nf) строго определенным образом, а на заряженное соединение (в нашем случае гидрохлориды Nf) действует напрямую. Нас интересовало, во-первых, существуют ли внутри поры неспецифического OmpF порина из патогенной для человека иерсинии специфические сайты связывания с Nf, и, во-вторых, насколько заряд молекулы антибиотика и направление потенциала на мембране влияют на кинетические характеристики процесса прохождения Nf по каналу.
МАТЕРИАЛЫ И МЕТОДЫ
Норфлоксацин и его солевые формы. В качестве представителя фторхинолоновых антибиотиков была использована (1Н), (4Н)-7-(пиперазин-1’-ил)-6-фтор-1-этилхинолин-4-он-3-карбоновая кислота (1), торговое название норфлоксацин (Sigma-Aldrich). Брутто-формула С16Н18FN3O3, мол. масса 319.331 г/моль, т. пл. 223оС. Структура норфлоксацина (1) была подтверждена данными спектра ЯМР 1Н. Спектр ЯМР 1Н (ДМСО-d6, δ, м. д., J/ Гц): 1.45 (т, 3Н, Ме, J =7.1); 3.27 (м, 5Н, С(11) Н2, N(12) Н, С(13) Н2); 3.32 (м, 4Н, С(10) Н2, С(14) Н2); 4.60 (к, 2Н, С(15) Н2, J=7.1); 7.18 (д, 1Н, С(8) Н, JH, F=7.3); 7.94 (д, 1Н, С(5) Н, JH, F=13.3); 8.32 (уш. с, 1Н, СООН); 8.97 (с, 1Н, С(2) Н).
Синтез моногидрохлорида норфлоксацина (2). К раствору 100 мг (0.31 мМ) норфлоксацина в 10 мл сухого МеОН добавляли 0.1 мл свежеперегнанного MeCOCl и реакционную смесь оставляли в стеклянной колбе, плотно закрытой стеклянной пробкой, на 24 ч при комнатной температуре. Растворитель удаляли при пониженном давлении на ротационном испарителе. Остаток сушили при пониженном давлении (2 Торр) до постоянного веса. Получено 107 мг (96%) моногидрохлорида норфлоксацина (2). С16Н19ClFN3O3, мол. масса 355.796 г/моль, светлые кристаллы, т. пл. 290–310оС. Спектр ЯМР 1Н (ДМСО-d6, δ, м. д., J/Гц): 1.45 (т, 3Н, Ме, J=7.1); 3.35 (м, 4Н, С(10) Н2, С(14) Н2); 3.63 (м, 4Н, С(11) Н2, С(13) Н2); 4.66 (к, 2Н, С(15) Н2, J=7.1); 7.31 (д, 1Н, С(8) Н, JH, F=7.4); 8.02 (д, 1Н, С(5) H, JH, F=13.4); 8.99 (с, 1Н, С(2) Н); 9.04 (уш. с, 1Н, СООН); 15.32 (уш. с, 2Н, N+H2). Спектр ЯМР 13C (ДМСО-d6, δ, м. д.): 14.37(Ме); 46.49 (C(10), C(14)); 49.03 (C(15)); 51.11 (C(11), C(13)); 106.36 (C(8)); 107.14 (C(5)); 111.16 (C(7)); 111.83 (C(6)); 119.93 (C(3)); 137.08 (C(8a)); 144.41 (C(4a)); 148.57 (C(2)); 164.98 (C(4)); 176.08 (COOH).
По данным спектра ЯМР 1Н чистота образца моногидрохлорида Nf (2) составляет 99%.
Синтез дигидрохлорида норфлоксацина (3). К раствору 92 мг (0.233 мМ) моногидрохлорида норфлоксацина (2) в 10 мл сухого МеОН прибавляли 0.1 мл свежеперегнанного MeCOCl и реакционную смесь оставляли в стеклянной колбе, плотно закрытой стеклянной пробкой, на 24 ч при комнатной температуре, после чего к смеси добавляли еще 0.1 мл свежеперегнанного MeCOCl и оставляли ее на следующие 24 ч. Растворитель удаляли при пониженном давлении на ротационном испарителе. Сухой остаток сушили при пониженном давлении (2 Торр) до постоянного веса. Получено 98 мг (97%) дигидрохлорида норфлоксацина (3). С16Н20Cl2FN3O3, мол. масса 392.257 г/моль, светлые кристаллы, т. пл. 270–285оС. Спектр ЯМР 1Н (ДМСО-d6, δ, м. д., J/Гц): 1.40 (т, 3Н, Ме, J=7.2); 3.30 (м, 4Н, С(10) Н2, С(14) Н2); 3.54 (м, 4Н, С(11) Н2, С(13) Н2); 4.48 (к, 2Н, С(15) Н2, J=7.2); 7.15 (д, 1Н, С(8) Н, J=7.5); 7.86 (д, 1Н, С(5) H, J=13.5); 8.68 (с, 1Н, С (2) Н); 9.83 (уш. с, 1Н, СООН) ; 15.26 (уш. с, 2Н, N(12) H2+); 15.37 (уш. с,1Н, N(1)H+). Спектр ЯМР13C (ДМСО-d6, δ, м. д.): 14.24 (Ме); 42.44 (C(10), C(14)); 48.02 (C(15)); 51.11 (C(11), C(13)); 106.20 (C(8)); 109.17 (C(5)); 111.46 (C(7)); 112.13 (C(6)); 123.13 (C(3)); 136.13 (C(8a)); 143.11 (C(4a)); 148.81 (C(2)); 165.90 (C(4)); 171.34 (COOH).
По данным спектра ЯМР 1Н, образец дигидрохлорида Nf (3) содержит не более 5% моногидрохлорида Nf (2).
Квантово-химические расчеты зарядов на атомах, дипольных моментов и УФ-спектров норфлоксацина (1) и его производных (2) и (3) выполняли методом B3LYP/6–311++G(d, p), PCM (H2O) теории функционала плотности (DFT) с использованием пакета программ Gaussian 16W [27].
Рис. 1. Структурные формулы норфлоксацина (1) и его солей, моногидрохлорида (2) и дигидрохлорида (3).
Температуры плавления Nf и его синтезированных производных определяли на столике «Boetius» и не корректировали.
УФ-спектры в широком диапазоне длин волн (200–500 нм) регистрировали при комнатной температуре на UV/Vis спектрометре Shimadzu 3600 Plus в рабочем буфере или в дистиллированной воде с использованием кварцевых кювет толщиной 2 мм.
Спектры ЯМР 1Н и ЯМР 13C регистрировали на приборе Bruker Avance-DRX-500 (500.13 МГц для1Н и 125.75 МГц для13C) в растворе в ДМСО-d6. Внутренний стандарт — Мe4Si.
Электрофизиологические эксперименты. В экспериментах использовали образец рекомбинантного OmpF порина, получение которого подробно описано в работе [28].
БЛМ формировали по методу Мюллера–Рудина [29] из раствора дифитаноил фосфатидилхолина (DPhPC) в н-гептане (5 мг/мл) в тефлоновых ячейках, разделенных перегородкой с отверстиями диаметром 1 мм для суммарного тока и 0.25 мм для одиночных каналов. Водная фаза содержала 1 M KCl в буфере следующего состава: 10 мМ Трис-HCl, 10 мМ MES, 10 мM бета-аланина (рН 7.0). 2.5 мМ Nf или его соли (Nf·HCl и Nf·2HCl) добавляли в водную фазу с разных сторон ячейки до концентрации 2.5 мМ. Для детекции ионного тока использовали пару электродов Ag/AgCl в режиме фиксации напряжения. Электрод на trans-стороне от мембраны был заземлен, на cis-стороне — подключен к усилителю BC-525C (Warner Instruments, США). Измерения проводили при комнатной температуре. Раствор белка добавляли c cis-стороны ячейки и, прикладывая напряжение в 50 мВ, добивались встраивания каналов. Суммарный ток через БЛМ фиксировали при концентрации YрOmpF 200 нг/мл, одиночные каналы порина получали при концентрации белка 20 нг/мл. Изменение тока через БЛМ в присутствии антибиотика фиксировали при различных значениях потенциала на мембране (от –100 до +100 мВ).
Обработку данных проводили с использованием системы L–CARD (L-502) (L–CARD, Россия) с программным обеспечением L-Graph2 (L–CARD, Россия) и Origin 2018 (OriginLab, США) для их представления и статистического анализа.
Кинетический анализ. Активности каналов определяли с помощью прямого подсчета по следующему алгоритму. От среднего уровня проводимости выставляли порог в 10%, все выходящие за эту величину значения обрабатывались как события блокировки. На отрезках длиной, соответствующей 20 с, считали среднее время таких событий и их количество. Кинетические параметры были получены с помощью анализа флуктуации тока через одиночный канал. При низких концентрациях антибиотика (с <<Koff/Kon) среднее время блокировки канала использовалось для подсчета константы диссоциации t = Koff-1, в то время как константа ассоциации рассчитывалась как Kon = n/ (3[c]), где n — число событий связывания в единицу времени [14]. Поскольку регистрируемые сигналы были «отфильтрованы» при 5 кГц, то регистрировались только события продолжительностью более 0.1 мс. Остальные события оставались неразрешенными и проявлялись в виде увеличения уровня шумов.
Молекулярный докинг и молекулярная динамика (МД). Предсказание наиболее вероятных мест связывания исследуемого антибиотика и процедуру слепого молекулярного докинга проводили, используя протокол белок-лигандного докинга с оценочной функцией London dG (генерировано 30000 поз) с последующим повторным ранжированием, используя оценочную функцию Affinity Dg с помощью программного пакета MOE2019.01 CCG [30]. Направленный докинг катионов NfH+1и Nf2H+2 проводили в области сужения поры на расстоянии 6Å вокруг ключевых остатков Lys16, Arg37, Arg77, Arg128, Asp108 и Val112.
Стартовая модель для симуляции комплексов норфлоксацина и его солей (2) и (3) (Nfs) с YpOmpF была сконструирована с помощью программы CHARMM-GUI [31, 32]. Система включала модель тримера OmpF порина, 342 молекулы липидов DPhPC и была сольватирована 30072 молекулами воды в 1 М KCl (68 K+ и 16 Cl–). Затем система была протонирована в силовом поле Amber 14: EHT при pH 7.0, с помощью специализированного программного пакета MOE2019.01 CCG с полуэмпирическим молекулярно-орбитальным пакетом MOPAC для расчета парциальных зарядов Nfs [30]. Моделирование полноатомной МД проводилось при постоянном давлении (1 атм) и температуре (300К) с шагом по времени 2 фс. Молекулы Nf, NfH+1 или Nf2H+2 были поочередно помещены в пору в соответствии с наиболее энергетически выгодными положениями, полученными из результатов молекулярного докинга для каждого соединения. Полноатомное силовое поле Amber 14: EHT использовали для белков [33], липидов [34] и TIP3P для воды [35]. Молекулы растворителя считались жесткими. Все симуляции МД, включая нагрев, а также шаги по минимизации энергии, были выполнены с помощью программного пакета MOE2019.01 CCG [30] с использованием вычислительных ресурсов ЦКП “Дальневосточный вычислительный ресурс” ДВО РАН (Владивосток). Были оценены вклады нековалентных межмолекулярных взаимодействий в свободную энергию. Используемый вычислительный подход имеет некоторые ограничения: вклад энтропии в свободную энергию не учитывался.
Определение противомикробной активности. Противомикробную активность Nf и его солей определяли в отношении грамотрицательных бактерий Y. pseudotuberculosis (штамм 598 Ib серовара) из коллекции микроорганизмов Тихоокеанского института биоорганической химии им. Г.Б. Елякова ДВО РАН в жидких питательных средах. Тестовые культуры бактерий Y. pseudotuberculosis выращивали в колбах, в жидкой питательной среде LB при 37 °C в течение 24 ч. Процедуру определения противомикробной активности осуществляли в 96-луночных микропланшетах в жидкой питательной среде Мюллера–Хинтона. В эксперименте использовали бактериальную суспензию 109 КОЕ в 1 мл среды, в каждую лунку микропланшетов добавляли 90 мкл этой суспензии и 10 мкл растворов испытуемых веществ в диметилсульфоксиде (ДМСО) при различных концентрациях, затем инкубировали в термостатируемом шейкере при 37 °C в течение 24 ч. Ингибирование роста микроорганизмов оценивали путем измерения оптической плотности при 620 нм с помощью считывающего устройства для микропланшетов Multiskan FC (Thermo Scientific, Waltham, MA, USA) после предварительного встряхивания планшетов в течение 10 мин. Антимикробную активность Nf и его солевых форм определяли по ингибированию роста бактерий, которое оценивали по изменению оптической плотности опытной среды по сравнению с контролем и выражали в % от контроля [36].
Гентамицин использовали в качестве положительного контроля, раствор 1% ДМСО в фосфатно-солевом буфере — как отрицательный контроль.
Все данные получены в шести независимых повторах, и рассчитанные значения выражены как среднее ± стандартная ошибка среднего (m±SEM). Статистическая обработка результатов выполнена с использованием программного обеспечения SigmaPlot 14.0 (Systat Software Inc., Сан-Хосе, Калифорния, США).
РЕЗУЛЬТАТЫ
Солевые формы норфлоксацина и характеристика возможных состояний молекулы норфлоксацина в буферных растворах. В качестве модельных антибиотиков в работе использовали синтетический антимикробный препарат широкого спектра действия Nf (1) и две его хорошо растворимые в воде соли (2) и (3).
Соли получали путем обработки основания Nf (1) раствором газообразного HCl в сухом МеОН. Газообразный HCl генерировали реакцией МеОН с расчетным количеством хлористого ацетила (СН3СОСl). Обработка соединения (1) большим избытком этого реагента всегда приводила к образованию смеси солей (2) и (3) в разном соотношении. Разделение их на компоненты оказалось сложной задачей, эффективного решения которой найти не удалось. Поэтому был выбран подход поэтапного синтеза: сначала осуществляли получение моногидрохлорида (2), а затем на его основе — дигидрохлорида (3).
Молекула основания (1) имеет три центра связывания молекулы HCl: два третичных атома N в положениях 1 и 9 и один вторичный в положении 12. В случае основания Nf молекула HCl связывается прежде всего с вторичным атомом азота, образуя соль (2). Это было установлено посредством сравнения спектров ЯМР1Н соединений (1) и (2). Наибольшие изменения значений химических сдвигов протонов наблюдались в спектре гидрохлорида (2) для метиленовых групп пиперазинового цикла.
Дигидрохлорид (3) синтезировали на основе предварительно полученного моногидрохлорида (2) путем его обработки раствором газообразного HCl в сухом МеОН. Из двух третичных атомов азота в молекуле соли (2) связывание с HCl происходило по атому N в положении 1, что было установлено при сопоставлении спектров ЯМР1Н соединений (2) и (3). Наибольшие изменения значений химических сдвигов наблюдались в спектре дигидрохлорида (3) для сигналов протонов в положениях 2, 15 и 16. Реакционный центр N(9) в ходе реакции соли (2) с HCl не затрагивался вследствие дезактивирующего влияния электроноакцепторного атома фтора в положении 6.
Для характеристики свойств Nf (1) и его производных (2) и (3) была оценена их растворимость, распределение зарядов в молекулах, дипольные моменты и получены их УФ-спектры. Нами экспериментально установлено, что максимальная растворимость нейтральной формы (основное состояние) Nf (1) в Н2О (рН 7.0) при 20–25оС составляет 1.5 ммоль/мл, тогда как солей (2) и (3) — около 500 ммоль/мл. Ранее сообщалось, что для Nf (1) эта величина равна 0.97 ммоль/мл [38].
Теоретический расчет зарядов на атомах Nf (1) по методу NBO (natural bond orbital) [39, 40] показал, что суммарный отрицательный заряд на атомах кольца А (три атома О и атом N(1)) равен –2.456, а суммарный отрицательный заряд на атомах колец В и С (атом F и атомы N(9) и N(12)) равен –1.559, что в 1.58 раза меньше отрицательного заряда в кольце А. Напротив, суммарный положительный заряд кольца А (9 атомов С и 7 атомов Н) в 1.54 раза меньше такового колец В и С (10 атомов С и 11 атомов Н). Данные этих расчетов подтверждают сильную поляризацию молекулы Nf (1) в нейтральной форме (основное состояние).
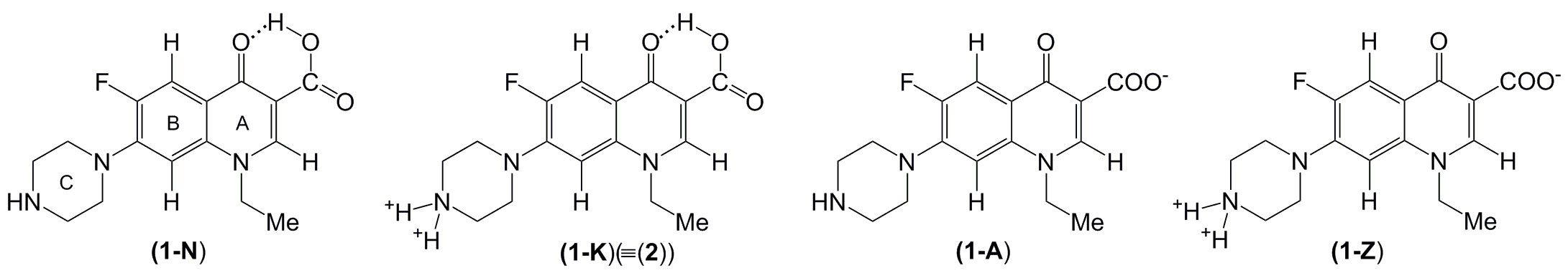
Теоретически молекула Nf (1) в зависимости от рН водной среды может существовать в четырех формах: нейтральной (1-N), катионной (1-К), которая тождественна соли (2), анионной (1-А) и цвиттер-ионной (1-Z).
В кислой среде при рН 3.0–4.0 будет существовать форма (1-К), в щелочной среде при рН 10.0–11.0 — форма (1-А), а в нейтральной среде при рН 7.0–7.2 — форма (1-N) и, возможно, форма (1-Z). Данные квантово-химических расчетов показывают, что прочность внутримолекулярной водородной связи в молекулах (1-N) и (1-К) составляет около 9.6 ккал/моль.
Для каждой из этих форм нами был осуществлен расчет дипольных моментов в Н2О: (1-N) — 15.4 Д, (1-А) — 33.3 Д, (1-К) — 38.9 Д и (1-Z) — 59.2 Д. В работе [41] значения дипольных моментов трех форм Nf, рассчитанных в вакууме, составили: (1-А) — 25 Д, (1-К) — 27 Д и (1-Z) — 44 Д. Таким образом, нейтральная форма (1-N) имеет наименьшее значение дипольного момента, а форма (1-Z) — наибольшее.
Рис. 2. Структуры четырех теоретически возможных форм молекулы норфлоксацина.
В видимой области УФ-спектра норфлоксацина Nf (1) в рабочем буфере рН 7.0 и в деионизированной бидистиллированной Н2О содержится четыре полосы поглощения с максимумами при 220 нм (величина абсорбции 0.34), 276 нм (0.95), 317 нм (0.26) и 332 нм (0.28). Характеристической является полоса поглощения с максимумом при 276 нм. В теоретически рассчитанном спектре формы (1-N) в Н2О полоса поглощения с максимумом 275 нм также является доминирующей.
В УФ-спектре соли норфлоксацина (2), тождественной форме (1-К) Nf, содержится три полосы поглощения с максимумами при 278 нм (0.99), 314 нм (0.28) и 329 нм (0.25). Характеристической является полоса поглощения с максимумом при 278 нм.
В УФ-спектре соли норфлоксацина (3) содержится две полосы поглощения с максимумами при 235 нм (0.87) и 290 нм (0.61). Как видно, в спектре этого соединения полоса поглощения в области 275–280 нм, характеристическая для форм (1-N) и (1-К), отсутствует, и трудно определить, какая из двух полос является характеристической.
Для оценки влияния рН среды на вид УФ-спектра молекулы Nf в том или ином состоянии было проведено титрование раствора Nf (1) в 0.1 М Трис-НСl буфере (рН 7.0) 0.1 н. раствором HCl. В результате была получена соль (1-К) Nf, УФ-спектр которой полностью совпал со спектром соли (2). Аналогичное титрование Nf (1) 0.1 н. раствором NaOH привело к получению соли (1-А) Nf. Оказалось, что, подобно спектру нейтральной формы Nf, в УФ-спектре анионной формы антибиотика содержится четыре полосы поглощения, но с отличающимися максимумами: при 230 нм (0.41), 273 нм (0.88), 323 нм (0.35) и 335 нм (0.33).
Теоретически рассчитанный УФ-спектр цвиттер-ионной формы (1-Z) антибиотика содержит две полосы: интенсивную при 281 нм (0.89) и менее интенсивную при 239 нм (0.53). В используемом нами рабочем буфере в спектре нейтральной формы норфлоксацина полосы, характерные для (1-Z) формы Nf, не обнаружены.
Электрофизиологические эксперименты. В работе использовали электрофизиологический метод регистрации ионных токов, протекающих через ионные каналы, встроенные в модельные липидные мембраны (БЛМ). Ячейка состоит из двух частей, разделенных перегородкой с небольшим отверстием. В обе части опускают хлорсеребряные электроды, которые подключены к усилителю, предназначенному для регистрации тока в пикоамперных диапазонах. На cis-стороне ячейки находится электрод с изменяемым потенциалом, на trans-стороне — заземленный электрод. При нанесении на отверстие ячейки раствора липида формируется бислой, который изолирует две ее части друг от друга. При добавлении порообразующих агентов можно с помощью метода фиксации потенциала измерять электрический ток через канал и таким образом получать информацию о движении ионов, солей или других заряженных молекул через образующиеся в бислое поры. Порины НМ грамотрицательных бактерий способны спонтанно встраиваться в мембрану, ионы солей при этом двигаются через образовавшуюся пору в обоих направлениях.
Особенность структуры поринов (большие наружные гидрофильные петли, выходящие на внешнюю сторону клетки) позволяет осуществлять их направленное встраивание в БЛМ. Принято считать, что OmpF встраивается в искусственные бислои строго упорядоченным образом. Так, если добавить белок в cis-ячейку, наружные петли будут преимущественно обращены на cis-(внеклеточную) сторону, а периплазматические петли будут находиться на trans-стороне [42, 43]. Подобная ориентация обусловлена направлением гидрофобного момента молекулы белка: взаимодействие с липидным бислоем энергетически более выгодно (предпочтительнее) для коротких периплазматических, нежели для длинных гидрофильных внешних петель. Так, на примере порина РorВ показано, что длинные внеклеточные петли поринов слишком полярны, чтобы пройти через бислой [44].
Мы проанализировали движение одиночных молекул Nf·HCl (2) и Nf·2HCl (3) через канал YpOmpF. Добавление YpOmpF (200 нг/мл) с cis-стороны ячейки от мембраны из DPhPC в буфере с 1 М KCl вызывает характерное для порообразующих белков НМ грамотрицательных бактерий ступенчатое увеличение проводимости (рис. 3а, левая часть). Средняя величина проводимости канала YpOmpF в 1 М KCl составляет 2.5 нСм. Добавление в ячейку солей Nf, моно- и дигидрохлорида, вызывает флуктуации ионного тока, связанные с проникновением антибиотика внутрь поры, и может быть следствием того, что молекулы водорастворимых солей Nf способны на короткое время связываться с участками внутри канала. На рис. 3а (правая часть) приведена запись тока через бислой после добавления Nf·HCl (2), демонстрирующая появление многочисленных событий блокировки тока через пору.
При детальном рассмотрении записи тока заметно увеличение общего шума и появление пиков, величина которых составляет треть проводимости олигомерного канала. Поскольку пориновый канал является тримером, очевидно, мы наблюдаем блокировку молекулой Nf·HCl (2) отдельного мономера белка. Наблюдаемый эффект плавно нарастал в течение 20 мин, что может быть связано с распределением антибиотика по объему ячейки. Стоит отметить, что данные о блокировках канала не позволяют ответить на вопрос о том, происходит ли при этом транслокация (перенос антибиотика на другую сторону мембраны) или нет.
Рис. 3. Суммарная проводимость пориновых каналов YpOmpF в отсутствии (левая часть) и при добавлении (правая часть) моногидрохлорида норфлоксацина (а). Запись тока через одиночный канал YpOmpF в присутствии антибиотика (б). Водная фаза: 1 M KCl, 10 мМ Трис-HCl, 10 мМ MES, 10 мM бета-аланина, 200 нг/мл белка (а) и 20 нг/мл (б). Мембранный потенциал 50 мВ (а) и от –100 до +100 мВ (б). По оси ординат — ионный ток через мембрану, мА.
Связывание антибиотика внутри поры может быть обнаружено только при одноканальной записи, если ионный ток через канал полностью заблокирован или существенно уменьшен. Поэтому для определения особенностей взаимодействия антибиотика с порином мы провели эксперименты на одиночных каналах при концентрации белка 20 нг/мл (рис. 3б). В ходе эксперимента потенциал на мембране варьировали в пределах от –100 до +100 мВ, а порин вводили в ячейку с cis-(внеклеточной) стороны канала. Поскольку структура ячейки позволяет реализовать несимметричное введение гидрофильных/заряженных молекул с разных сторон мембраны, антибиотик добавляли с cis- и trans-стороны ячейки. Таким образом, ионы солей Nf могли оказаться в четырех принципиально различных положениях по отношению к молекуле порина, указанных на рис. 4а (схема проведения эксперимента). В результате было обнаружено, что проникновение солей норфлоксацина в канал модулирует ионный ток внутри одиночного канала порина. На характер его изменения (частоту и длительность событий блокировки) влияет изначальное положение молекулы антибиотика по отношению к каналу порина, направление потенциала на мембране, а также его величина (рис. 4а).
Рис. 4. Результаты электрофизиологических экспериментов с моногидрохлоридом (б и в) и дигидрохлоридом (г и д) норфлоксацина на одиночных каналах неспецифического порина OmpF Y. pseudotuberculosis.
а — Схема проведения эксперимента. б–д — Графики изменения значений кинетических констант взаимодействия канала порина с антибиотиком, ассоциации (Kon) и диссоциации (Koff), приведены в зависимости от знака потенциала на мембране и положения антибиотика относительно порина: Nf·HCl добавлен с cis- (б) и trans-стороны (в); Nf·2HCl добавлен с cis- (г) и trans-стороны (д). Черные квадраты — Kon, белые окружности — Koff.
Напряжение подается на cis-электрод, что соответствует внеклеточной стороне поры.
Водная фаза: 1 M KCl, 10 мМ Трис-HCl, 10 мМ MES, 10 мM бета-аланин, 20 нг/мл белка. Мембранный потенциал от –100 до +100 мВ.
Если рассматривать процесс блокировки канала как одноступенчатый, то можно рассчитать его кинетические параметры, а именно, константу ассоциации (Kon), пропорциональную частоте возникновения событий блокировки, и константу диссоциации (Koff), обратно пропорциональную времени блокировки. Графики изменения кинетических параметров исследуемого взаимодействия, Kon и Koff, позволили сделать выводы об особенностях процесса блокировки канала в различных условиях.
При добавлении NfH+1 (Nf·HCl (2)) с cis-(внеклеточной) стороны канала и положительном потенциале на мембране мы наблюдали максимальное количество событий связывания и полную блокировку тока с длительным средним временем связывания порина с антибиотиком. Об этом свидетельствовали максимальные значения Kon и минимальные значения Koff (рис. 4б). При этом увеличение потенциала приводило к возрастанию Kon и не влияло на Koff. При смене направления потенциала и увеличении его до –100 мВ резко уменьшалось количество событий связывания, а время блокировки канала уменьшалось в среднем в 2 раза (рис. 4б). Вероятно, в данном случае направление электрического поля препятствует прохождению иона NfH+1 через канал, что оказывает сильное негативное влияние на процесс связывания антибиотика.
Добавление NfH+1 с trans-(периплазматической) стороны канала при отрицательном потенциале на мембране также вызывает заметно меньшее количество событий и сокращение времени блокировки (по сравнению с вариантом 2б), однако при воздействии поля высокой интенсивности (ниже –50 мВ) значения Kon резко возрастают (рис. 4в). При положительном потенциале на cis-электроде вплоть до значения +100 мВ события блокировки канала не регистрировались (рис. 4в). Очевидно, это связано с воздействием электрического поля, препятствующего вхождению в канал положительно заряженной молекулы антибиотика, вводимой с trans-стороны.
На втором этапе исследований в качестве модельного соединения был использован дигидрохлорид Nf, имеющий больший положительный заряд (рис. 4г и 4д). Добавление Nf2H+2 (Nf·2HCl (3)) в ячейку с порином вызвало эффект, очень похожий на взаимодействие с моногидрохлоридом Nf. Мы также наблюдали частичное перекрывание тримерных пориновых каналов со сходной частотой и длительностью блокирования тока (около 0.2 мс).
Как видно из данных рис. 4б-4д, при всех условиях эксперимента характер изменения констант ассоциации антибиотика с порином Kon от приложенного к мембране потенциала для обеих солей норфлоксацина в целом мало отличается. Однако в случае Nf2H+2 он более выражен как при низких, так и при высоких значениях потенциала обоих знаков. Так, введение Nf2H+2 с cis-стороны мембраны и положительном cis-потенциале при напряжении больше 75 мВ наблюдается большее количество событий блокировки, чем в случае NfH+1. При cis-отрицательном потенциале практически не происходит событий блокировки канала, зато Koff имеет большие значения и больший их разброс, что, возможно, свидетельствует о нестабильности взаимодействия этой формы Nf с каналом (рис. 4г).
При введении Nf2H+2 с trans-стороны мембраны и cis-отрицательном потенциале увеличение его значения от –75 до –100 мВ не влияет на количество событий блокировки, как в случае NfH+1 (рис. 4д). Наблюдаемые отличия, с одной стороны, могут быть обусловлены величиной заряда катиона, что подтверждает вывод о существенном влиянии электрического потенциала на процесс взаимодействия заряженной молекулы антибиотика с каналом порина. С другой стороны, выявленное нами асимметричное поведение при движении заряженных молекул Nf через канал YpOmpF, которое зависело не только от напряжения, но и от стороны введения антибиотика, свидетельствует о существовании внутри поры, по крайней мере, одного асимметричного сайта или двух сайтов связывания с норфлоксацином, различающихся по аффинности, и у двух форм Nf эти сайты могут различаться.
Молекулярный докинг и молекулярная динамика (МД). Для поиска наиболее энергетически выгодных сайтов связывания антибиотика с внутренней областью канала YpOmpF и предсказания природы вероятных взаимодействий на молекулярном уровне была применена методология слепого белок-лигандного докинга в программе МОЕ 2019.0109 CCG [30]. При этом молекула антибиотика рассматривалась как гибкая, в то время как рецептор оставался жестким. В качестве рецептора использовали 3D-модель YpOmpF порина, которая была построена методом гомологичного моделирования с помощью программы МОЕ 2019.01 CCG [30] на основании кристаллической структуры порина OmpF из E. coli (PDBID2OMF), как это было описано ранее [45].
В случае NfH+1 результаты белок-лигандного докинга позволили обнаружить существование двух наиболее энергетически выгодных кластеров, что указывает на наличие двух сайтов связывания на внутренней поверхности поры YpOmpF. Сайт связывания, характеризующийся минимальным значением оценочной функции (–6.50 ккал/моль), локализован на trans-стороне канала YpOmpF (trans-минимум), в то время как второй сайт связывания (–5.56 ккал/моль) расположен выше ЗК на внеклеточной стороне канала (cis-минимум) (рис. 5а, верхняя вставка). Для детальной характеристики данных сайтов связывания были рассчитаны кратковременные (длиной 100 нс) симуляции полноатомной МД структуры комплекса NfH+1 с тримером YpOmpF, встроенного в липидный бислой и полностью сольватированного молекулами воды в присутствии 1 M KCl. Оценка энергетического вклада нековалентных межмолекулярных взаимодействий в стабилизацию комплекса белка с NfH+1 в обоих сайтах связывания, выполненная с помощью соответствующего приложения программы МОЕ CCG [30], позволяет предположить, что в данном случае основной движущей силой взаимодействия являются электростатические силы. При этом роль «горячих точек» взаимодействия принадлежит остаткам Arg323 и Asp116 и Lys28 в cis-минимуме и Asp92, а также Lys 84 в trans-минимуме.
Рис. 5. Пространственная организация вероятных комплексов YpOmpF с Nf·HCl. 3D-структура гомотримера порина YpOmpF, две субъединицы представлены в виде молекулярной поверхности, одна — в виде ленточной диаграммы, липиды и водное окружение удалены для наглядности. Молекулы NfH+1 (а) и Nf2H+2 (б) в двух сайтах связывания приведены в шаровом представлении, в trans-положении розовым и синим цветом, в cis-положении — желтым и зеленым цветом, соответственно окружающие их аминокислотные остатки приведены в стержневом представлении. В выносках приведены 2D-диаграммы межмолекулярных взаимодействий NfH+1 (а) и Nf2H+2 (б) в обоих сайтах связывания.
Полученные нами данные согласуются с результатами исследования взаимодействия энрофлоксацина (EF) с OmpF порином E. сoli (EcOmpF), для которого было показано наличие двух сайтов связывания антибиотика выше и ниже ЗК [21]. Однако Mahendran и соавторы полагают, что EF в центрах связывания стабилизирован преимущественно благодаря гидрофобным взаимодействиям с остатками Met38 и консервативным Phe118, а также водородными связями с Arg132, Arg 82 и Tyr32 [21].
Следует отметить, что хотя EcOmpF и YpOmpF имеют высокую степень гомологии аминокислотной последовательности (более 50%), у них существуют некоторые различия, в частности, в длине и пространственной организации внешних петель, а также в распределении заряженных аминокислотных остатков во внутренней области их каналов. Так, EcOmpF характеризуется наличием гидрофобного кармана в области Met38 и Phe118 и наличием объемного ароматического остатка Tyr32 в составе более длинной, чем у YpOmpF, петле L1, тогда как YpOmpF вместо Met38 и Gly325 (L8) имеет соответственно основные остатки Lys33 и Arg323, которые формируют область положительного заряда. Именно этот кластер основных остатков определяет ориентацию карбоксильной группы молекулы NfH+1 внутри сайта связывания в области устья внешнего вестибюля поры YpOmpF (cis-сайт). Суммарный вклад солевых мостиков в энергию связывания составляет –5.57 ккал/моль. Таким образом, показано, что электростатические взаимодействия вносят основной вклад при связывании моногидрохлорида Nf с обоими сайтами. При этом с cis-стороны ключевым остатком является Arg323 (–4.2 ккал/моль), с trans-стороны — Asp92 (–9.3 ккал/моль).
Результаты молекулярного моделирования (докинга) свидетельствуют о том, что взаимодействие Nf2Н+2 с YpOmpF также характеризуется наличием двух высокоаффинных периферических кластеров с cis- и trans-стороны поринового канала со значением оценочной функции –5.82 и –6.32 ккал/моль соответственно, причем последний является энергетически более предпочтительным. Следует отметить, что локализация cis-минимума в значительной степени перекрывается с таковой для NfH+1 в области Asp116 (Asp121 у EcOmpF), однако в отличие от моногидрохлорида сайт связывания дигидрохлорида Nf с порином смещен ближе к стенке барреля, и антибиотик может контактировать с Asn311 и Lys288. Симуляция МД и последующая оценка энергетического вклада нековалентных межмолекулярных взаимодействий позволила выявить, что основная роль в формировании комплекса принадлежит остаткам Asp116 (Asp121 у EcOmpF) и Asn311, Lys288, а также Phe113. В то же время боковая цепь функционально важного консервативного остатка Asp116 формирует водородные связи (до –15.5 ккал/моль) и ионное взаимодействие атома азота хинолонового цикла Nf2H+2 (до –8.9 ккал/моль) с Asn311, а вариабельный остаток Lys288 «прикрепляет» данную форму Nf посредством водородных связей (–6.3 и –4.9 ккал/моль соответственно) к СООН группе Nf2H+2. Phe113 способен стабилизировать комплекс посредством Pi-взаимодействия своего ароматического кольца с метильной группой антибиотика.
Следует отметить, что для дигидрохлорида Nf движущими силами комплексообразования выступают водородные связи совместно с гидрофобными взаимодействиями, аналогично таковым, наблюдавшимся для комплекса основания Nf (1) и EcOmpF [23].
Что касается trans-минимума в случае Nf2H+2, его локализация неожиданно для нас оказалась совершенно отличной от таковой для NfH+1, а именно ниже петли L3, однако с противоположной стороны внутриклеточной части поры (рис. 5а, нижняя вставка). Согласно результатам комбинации расчетных методов наиболее энергетически выгодное положение Nf2H+2 в составе комплекса с порином псевдотуберкулезного микроба обусловлено преимущественно множественными ионными взаимодействиями и водородными связями боковой цепи Asp218 (–10.12 и –11.8 ккал/моль соответственно) с вторичным атомом азота пиперазинового цикла дигидрохлорида Nf, а также Lys16 с карбоксильной группой Nf2H+2 (–10.9 и –15.9 ккал/моль соответственно). Карбоксильный кислород Asp108 (Asp113 у EcOmpF) стабилизирует комплекс посредством водородной связи c атомом азота хинолонового цикла и вносит вклад порядка –7.6 ккал/моль. Более того, боковые цепи Tyr297, Ser303 и Gln337 «прикрепляют» водородными связями часть молекулы Nf2H+2, несущую отрицательный заряд, и дают вклад в стабилизацию комплекса от –4.8 до –1.9 ккал/моль.
Следует отметить, что в отличие от относительно стабильного положения в cis-сайте молекула Nf2H+2, находясь в trans-сайте, является более гибкой и во время МД-моделирования демонстрирует большую способность к изменению своего положения. Пиперазиновый цикл Nf2H+2, достаточно прочно связанный боковой цепью Asp218 посредством как водородных связей, так и электростатических взаимодействий, смещается незначительно, в то время как его хинолоновый фрагмент меняет свое положение более чем на 4 Å (с RMSD4.2 Å), образуя множественные контакты с Lys16, Gln337 и Tyr297. Примечательно, что боковые цепи этих остатков претерпевают лишь незначительные изменения (с RMSF от 0.82 до 1.7 Å).
Таким образом, внутри канала YpOmpF по обе стороны от ЗК было обнаружены два энергетически выгодных сайта связывания заряженных молекул антибиотика. В первом сайте, обозначенном нами NВS1 (norfloxacin binding site), располагающемся в устье канала вблизи вестибюля поры, связываются обе несущие положительный заряд молекулы Nf с общим энергетическим вкладом нековалентных белок-лигандных взаимодействий в формирование комплекса порина с NfH+1 и Nf2H+2, равным –38.74 и –37.79 ккал/моль соответственно. Локализация второго сайта NВS2 для ионов NfH+1 и Nf2H+2 отличается. Для NfH+1 он находится практически на выходе из канала и характеризуется максимальной аффинностью (с вкладом –51.45 ккал/моль), а для Nf2H+2 расположен достаточно близко к ЗК на противоположной стенке барреля (с вкладом –41.42 ккал/моль).
Учитывая разницу в аффинности этих двух периферических сайтов, можно предположить, что транслокация антибиотика от cis- к trans-сайту выгодна энергетически. Тем не менее блокировка тока через канал молекулами антибиотика в данных сайтах вряд ли возможна. Скорее всего, она обусловлена ориентацией антибиотика, которую он приобретает при прохождении ЗК в процессе перемещения в канале порина. Действительно, с помощью направленного белок-лигандного докинга в области 6Å от ЗК обнаружен еще один кластер энергетически выгодных положений для обеих форм Nf (NВS3). Однако ориентация этих заряженных форм антибиотика при связывании в этом сайте различается (рис. 6).
Рис. 6. Пространственная организация вероятных комплексов YpOmpF с NfH+1 и Nf2H+2. 3D-структура мономера порина YpOmpF, в виде ленточной диаграммы, часть β-тяжа, липиды и водное окружение удалены для наглядности. Молекулы NfH+1 (синий цвет, нижняя вставка) и Nf2H+2 (коричневый цвет, верхняя вставка) в сайте связывания NВS3 приведены в шаростержневом представлении. В выносках приведены 2D-диаграммы нековалентных межмолекулярных взаимодействий NfH+1 (верхняя вставка) и Nf2H+2 (нижняя вставка) с YpOmpF.
В случае NfH+1 в сайте NВS3 ось молекулы антибиотика ориентирована под углом к плоскости мембраны, ее хинолоновый кор полностью перекрывает ЗК, чему способствует прочное взаимодействие с противоположными стенками барреля (рис. 6, верхняя вставка) посредством множественных водородных связей и электростатических взаимодействий с остатками Arg37 и Lys16, локализованными на одной стенке барреля, и Glu252, находящимся на другой стороне. В то же время Ser119 и Asn 104 в составе петли L3 стабилизируют комплекс водородными связями. Следует отметить, что аналогично cis-сайту именно электростатические взаимодействия являются основной движущей силой во взаимодействии NfH+1 с YpOmpF в зоне NВS3, их вклад в энергию взаимодействия составляет –24.54 ккал/моль против –20.2 ккал/моль для водородных связей.
Молекула Nf2H+2 в области ЗК имеет такую ориентацию относительно порина, при которой плоскость хинолонового цикла расположена практически параллельно плоскости мембраны, в то время как его пиперазиновый цикл достаточно подвижен и может занимать несколько равновероятных положений относительно связи с хинолоновым кором. Анализ межмолекулярных взаимодействий и оценка их вклада в стабилизацию комплекса позволили выявить ключевую роль Asp108 (Asp113 у EcOmpF) в связывании дигидрохлорида Nf в этой области. Он формирует множество водородных связей и ионных взаимодействий как с вторичным атомом азота пиперазинового цикла, так и атомом азота хинолонового кора молекулы (–8.6±0.2 и –7.96±0.32 ккал/моль соответственно). Следует отметить, что оба эти атома азота были модифицированы при введении положительного заряда в результате получения солевых форм Nf. При этом остатком, во многом определяющим ориентацию Nf2Н+2, является Asn104 (Leu109 уEcOmpF), боковая цепь которого «прикрепляет» другую часть молекулы этой формы антибиотика к его карбоксильной группе с помощью водородной связи (–6.8±0.5 ккал/моль). Необходимо, однако, отметить, что боковая цепь Arg37 оказывает неблагоприятное воздействие на стабилизацию комплекса посредством «выталкивания» положительно заряженной пиперазиновой части Nf2Н+2 и образования достаточно обширной области контакта (77 A2).
Следует заметить, что обнаруженные нами различия в положении молекул основания Nf (1) и его заряженных форм (NfН+1и Nf2Н+2) по отношению к каналу YpOmpF, по сравнению с представленными в литературе данными [23] взаимодействия Nf с каналом порина Е. coli, очевидно, связаны с различиями в первичной структуре этих белков. В случае однозарядной формы NfН+1 энергетический вклад взаимодействий антибиотика с порином составляет –37.19 ккал/моль, что близко к таковому в сайте NВS1, в то время как для Nf2Н+2 этот вклад не столь существенен (–19.65 ккал/моль). Этот факт косвенно объясняет более высокие средние значения Koff для дигидрохлорида Nf2Н+2.
Для того чтобы выяснить, как заряд молекулы антибиотика влияет на характер его взаимодействия с каналом YpOmpF, для основания Nf (1) было проведено in silico исследование. Согласно полученным нами результатам молекулярного моделирования, он не имеет периферических сайтов связывания, а образует единственный обширный сайт связывания в ЗК (рис. 7). Основная роль при взаимодействии с антибиотиком в этой зоне канала принадлежит консервативным остаткам Arg37 (Arg42 у EcOmpF) и Arg77 (Arg82 у EcOmpF), которые формируют сеть водородных связей и ионных взаимодействий с карбоксильной группой хинолонового цикла, а также Asp72. Эти результаты хорошо согласуются с данными электрофизиологических исследований и моделирования взаимодействия Nf с порином EcOmpF, выделенным из микроорганизма дикого типа, и его мутантными формами [23]. Эти данные свидетельствуют об отсутствии ампициллин-подобного минимума в так называемой зоне предориентации, содержащей R167/168E (Asp164 у YpOmpF) и E117Q (Val164 у YpOmpF), обнаруженной у мутантов EcOmpF. В отличие от канала EcOmpF при взаимодействии канала YpOmpF с основанием Nf в ходе симуляции МД мы наблюдали два равновероятных варианта вхождения Nf в ЗК по направлению вдоль оси поры YpOmpF как карбоксильной группой хинолонового кора, так и пиперазиновым фрагментом. Вероятно, в случае Nf и Nf2Н+2 ориентирующее молекулу антибиотика электростатическое поле не столь сильно выражено из-за особенности распределения зарядов на поверхности молекул норфлоксацинов. Или можно предположить, что наличие Lys163-Asp164 и Val112 у YpOmpF вместо Arg167-Arg168 и Glu117, как это имеет место у порина EcOmpF, приводит к менее выраженному влиянию зоны предориентации на ориентацию Nf при его вхождении в пору каналаYpOmpF.
Рис. 7. Пространственная организация вероятных комплексов Nf с YpOmpF. 3D-структура мономера порина YpOmpF, в виде ленточной диаграммы, часть β-тяжей, липиды и водное окружение удалены для наглядности. Возможные ориентации молекулы Nf (верхняя часть — розовый цвет и нижняя часть — голубой цвет) в ЗК приведены в шаростержневом представлении, остатки, ответственные за связывание Nf, приведены в стержневом представлении и обозначены. Ионные взаимодействия обозначены голубыми поверхностями, водородные связи — серыми стержнями.
Антимикробная активность норфлоксацина (1) и его солей (2) и (3). На заключительном этапе нашего исследования мы сравнили антибактериальную активность всех трех форм норфлоксацина. Оказалось, что Nf и моногидрохлорид Nf оказывают практически одинаковое действие в отношении грамотрицательных бактерий Y. pseudotuberculosis, а дигидрохлорид Nf в 2 раза менее эффективен, чем моногидрохлорид. Показано, что МИК100 для Nf в отношении Y. pseudotuberculosis 598 более чем в 33 раза ниже, чем для бактерицидного антибиотика широкого спектра действия гентамицина из группы аминогликозидов (таблица).
Таблица 1. Антимикробная активность норфлоксацина и его солей по отношению к Y. рseudotuberculosis 598 Ib
Образец | МИК100, мкM |
Nf | 0.30 ± 0.01*# |
NfH+1 | 0.30 ± 0.02*# |
Nf2H+2 | 0.61 ± 0.02*# |
Гентамицин | 10.46 ± 0.04* |
Примечание. Данные представлены как среднее значение ± стандартная ошибка среднего (n = 6), где n — число повторений, * — статистическая достоверность полученных результатов в сравнении с контролем (растворитель), # — статистическая достоверность полученных результатов для Nf и его солей в сравнении с действием гентамицина. МИК100 — минимальная ингибирующая концентрация антибиотика, при которой полностью подавляется рост бактерий.
В то же время действие моногидрохлорида Nf на этот штамм Y. pseudotuberculosis не отличается от действия Nf, тогда как антибактериальная активность дигидрохлорида Nf снижается вдвое.
ОБСУЖДЕНИЕ РЕЗУЛЬТАТОВ
Процесс транслокации молекул через пориновые каналы in vivo происходит в основном за счет пассивной диффузии. Зона сужения или констрикции канала обеспечивает мощный стерический и электростатический барьер против переноса нейтральных, заряженных и цвиттер-ионных молекул [23], особенно когда размер молекулы приближается к таковому зоны сужения. Некоторые авторы считают, что связывание в ЗК необходимо для облегчения эффективного переноса антибиотика через каналы неспецифических поринов OmpF типа [14]. В свою очередь, взаимодействие в ЗК определяется свойствами антибиотика, что влияет как на его ориентацию [14], так и на асимметрию активационного барьера [46].
Условия проведения электрофизиологических экспериментов подразумевают наличие мембранного потенциала, который, в свою очередь, направляет движение молекулы через канал. В результате транслокация молекул определяется аддитивным эффектом воздействия на нее этих двух электрических полей. Поскольку поверхностный заряд внутри канала YpOmpF не меняется, изменение направления и величины потенциала на мембране, а также использование модельного антибиотика с различной величиной заряда позволили нам оценить влияние электрофоретической компоненты этого процесса в различных условиях. Использование в эксперименте положительно заряженных молекул Nf было обусловлено также тем, что в литературе есть прямые доказательства того, что цвиттер-ионные β-лактамные антибиотики (ампициллин и амоксициллин) взаимодействуют с пориновыми каналами с более высоким сродством, чем отрицательно заряженные молекулы (анионные антибиотики карбенициллин, азлоциллин и пиперациллин) [47]. Авторы считают, что этот факт свидетельствует о том, что именно специфические взаимодействия вблизи зоны сужения канала OmpF характерны для цвиттер-ионных антибиотиков, но не их анионных аналогов, обладающих, вероятно, пониженной аффинностью связывания внутри поры либо полным отсутствием таковой. Однако в литературе нет данных, каким образом введение дополнительного положительного заряда в молекулу антибиотика влияет на транслокацию его внутри OmpF канала.
Для построения модели взаимодействия канала OmpF Y. рseudotuberculosis c антибиотиком были использованы нейтральная (основная) и две водорастворимые заряженные формы норфлоксацина. Сообщалось, что в буферных растворах при рН 7.0–7.2 Nf (1) существует в виде смеси двух форм: цвиттер-ионной (1-Z) и нейтральной (1-N), со значительным вкладом последней [23, 41, 48]. По своей природе Nf (1) является амфотерным соединением (pKa1 = 6.34, pKa2 = 8.75). Кислотные свойства норфлоксацина определяются наличием в его структуре СООН-группы, а основные — наличием вторичного атома N в положении 12 и двух третичных атомов N в положениях 1 и 9. Считается, что переход нейтральной формы (1-N) в цвиттер-ионную форму (1-Z) в буферных растворах (рН 7.0–7.2) происходит под действием протона Н+ и гидроксид-аниона НО–. Однако известно, что «голые» ионы в воде не существуют, а образуют с молекулами воды положительно заряженные ассоциаты состава Н5О2+ и Н7О3+ и отрицательно заряженные ассоциаты состава Н3О2– [49]. Следует учитывать, что противоположно заряженные ионы указанного состава всегда окружены сольватной оболочкой («шубой») из нескольких молекул воды, и это значительно затрудняет их контакты как с СООН-группой, так и с атомом N (12) молекулы норфлоксацина. Даже если допустить образование цвиттер-ионной формы (1-Z) в результате одновременного взаимодействия (1-N) формы Nf с ионами Н5О2+ и Н3О2–, то суммарный заряд этой формы будет равен нулю [41], как и для нейтральной формы (1-N).
К сожалению, энергетика этого процесса до настоящего времени остается неизученной. Возможно ли экспериментально подтвердить существование цвиттер-ионной формы (1-Z) норфлоксацина в буферном растворе (рН 7.0–7.2)? Известны два подхода к решению этой проблемы. Первый из них основывается на сопоставлении экспериментально найденной величины дипольного момента молекулы µ с теоретически рассчитанной. Авторы работы [50] показали, что экспериментальное значение дипольного момента µ Nf в дистиллированной воде равно 7.2 Д. Оценка значения µ Nf в вакууме методом DFT B3LYP/6–31 G дала значение 6.8 Д. Сходимость этих результатов оказалась достаточно хорошей. Эти данные позволяют заключить, что в дистиллированной воде Nf существует в нейтральной форме (1-N), поскольку, как было указано выше, определение µ для цвиттер-ионной формы дало значение от 44 до 59 Д.
Второй подход основывается на сопоставлении экспериментальных УФ-спектров различных соединений с теоретически рассчитанными. В разделе «Результаты» указано, что сопоставление параметров экспериментальных УФ-спектров Nf в рабочем буфере и в дистиллированной воде с таковыми теоретически рассчитанных спектров позволяет говорить о существовании молекулы норфлоксацина в этих средах в нейтральной форме (1-N). Если форма (1-Z) норфлоксацина и образуется в используемом нами буфере, то ее вклад в равновесие с формой (1-N) незначителен, и он не должен оказывать какого-либо влияния на результаты электрофизиологических исследований.
Соли Nf (2) и (3) склонны к диссоциации в воде с образованием хлорид-иона Cl– и больших положительных ионов NfH+1/Nf2H+2. Используя солевые формы антибиотика, мы имеем дело не с поляризованной формой норфлоксацина, а с его положительно заряженными ионами, что, несомненно, вносит свой вклад в кинетику процесса рассматриваемого взаимодействия. С помощью электромагнитного поля, действующего на ионы, мы «вмешиваемся» в продвижение антибиотика по каналу YpOmpF, поскольку создаем электрофоретическую силу, которая либо препятствует, либо способствует диффузии. Кроме того, положительный заряд на молекуле Nf, скорее всего, способствует увеличению времени пребывания антибиотика в канале, тогда как при прохождении канала нейтральной (основной) формой Nf блокировки канала не было обнаружено, очевидно, потому что указанное взаимодействие было слишком кратким.
Как было сказано выше, данные, полученные с использованием БЛМ, рассматривались с учетом того, что при низкой концентрации антибиотика только одна его молекула участвует в одном событии блокировки канала. Измеренная нами константа ассоциации (Kon) характеризует скорость проникновения молекулы антибиотика с cis- или trans-стороны к сайту блокировки канала и при разных условиях эксперимента связана с различными активационными барьерами, преодолеваемыми молекулой антибиотика при транслокации. Константа скорости диссоциации (Koff) описывает скорость, с которой молекулы антибиотика высвобождаются из этого сайта связывания на cis- или trans-сторону. Koff представляет собой суммарную скорость диссоциации (Кofftotal), поскольку отдельные ее значения при диссоциации комплекса в разных направлениях не могут быть измерены независимо друг от друга. Как показали эксперименты, значение Koff мало зависело от параметров поля, приложенного к мембране, а длительность блокировки канала обеими заряженными молекулами норфлоксацина была одного порядка (0.2 мс). Подобный эффект независимости Koff от приложенного к мембране напряжения (voltage independent effect) наблюдался для каналов мутантных форм (К168Е) OmpF E. coli [23].
С другой стороны, электрофизиологические эксперименты выявили существенное влияние на значение Kon величины и направления электрического поля, приложенного к мембране. Анализ изменений Kon под действием потенциала позволяет говорить о схожем механизме взаимодействия с каналом обеих солевых форм (2) и (3) антибиотика.
Результаты, полученные с помощью комбинации расчетных методов, показали наличие внутри канала YpOmpF трех энергетически выгодных сайтов связывания заряженных молекул антибиотика с различной степенью аффинности, меньшей — для экстрацеллюлярного сайта (NBS1) и большей — на выходе из поры (NBS2). Интересно отметить различную локализацию этих сайтов для разных форм антибиотика. Так, они имеют один и тот же сайт связывания вблизи устья канала NBS1, практически одинаковый по аффинности для обеих заряженных форм Nf, расположение второго сайта NBS2 для разных производных Nf существенно различается. Что касается нейтральной формы Nf, она имеет только один сайт связывания вблизи ЗК, который состоит из нескольких участков, т. е. представляет собой кластер сайтов с суммарной аффинностью, меньшей по сравнению с периферийными сайтами связывания, обнаруженными для заряженных форм антибиотика. Интересно отметить, что этот сайт связывания Nf частично перекрывается с сайтом карбомициллина, «сокристаллизованного» с EcOmpF дикого типа [14], в области Arg37 (равен Arg42 EcOmpF) и Glu57 (равен Glu62 EcOmpF). При этом карбомициллин лишь частично блокирует ток через канал. Полученные результаты и сравнение их с литературными данными позволяют сделать вывод о том, что наличие у молекулы норфлоксацина положительного заряда и его величина повышают способность связывания такой формы антибиотика внутри OmpF канала псевдотуберкулезного микроба.
Данные моделирования хорошо согласуются с результатами электрофизиологических исследований. Выявленное нами асимметричное поведение при движении заряженных молекул Nf через канал YpOmpF зависело не только от напряжения, но и от стороны введения антибиотика, что указывает на возможность блокировки тока при связывании с этими формами антибиотика либо в двух разных, отличающихся по аффинности сайтах, либо в одном несимметричном сайте. Поскольку, как было сказано выше, данные моделирования указывают на то, что блокировка не может происходить в периферийных сайтах, мы предполагаем наличие одного несимметричного сайта блокировки в зоне сужения канала.
Совокупность полученных нами данных, экспериментальных и теоретических, свидетельствуют об асимметричной структуре канала YpOmpF. Они также дают представление о кинетике процесса взаимодействия антибиотика с каналом YpOmpF и ступенчатом характере преодоления его заряженной молекулой нескольких энергетических барьеров: двух, обусловленных взаимодействием с энергетически выгодными периферийными сайтами по обе стороны канала (U1 и U2 ), и двух (U3 и U4) — в ЗК, где происходит блокировка тока (рис. 8). Как видно из данных рис. 8, наблюдаемая нами асимметрия в Kon при введении заряженных молекул Nf с разных сторон мембраны свидетельствует о существенной разнице в энергетических барьерах, необходимых для проникновения антибиотика в сайт блокировки (U1<U2).
Рис. 8. Профили энергетических барьеров при транслокации заряженных форм норфлоксацина (NfH+1 и Nf2H+2) через канал OmpF Y. pseudotuberculosis.
Несимметричный график зависимости Kon от знака потенциала на мембране свидетельствует о том, что приложенное к мембране напряжение может либо «помогать», либо «препятствовать» преодолению этого барьера. Наглядным примером этому является один из вариантов нашего эксперимента, когда мы не наблюдали событий блокировки тока. При положительном потенциале на cis-электроде и введении солей Nf (рис. 4в и 4д) с trans-стороны ячейки прохождению заряженной молекулы антибиотика в зону блокировки канала одновременно препятствовало и направление электрического поля, и близость сайта взаимодействия с аффинностью, большей, чем в зоне блокировки канала.
Как было сказано выше, Koff представляет собой суммарную скорость диссоциации (Кofftotal), поскольку отдельные ее значения при диссоциации комплекса в разных направлениях не могут быть точно измерены независимо друг от друга для незаряженного основания Nf. Однако имея заряженную молекулу (в нашем случае соли (2) и (3) норфлоксацина), мы можем оценить Koffcis и Kofftrans в сравнительном плане, поскольку, действуя запирающим напряжением, добиваемся преимущественного выхода молекулы с cis-или trans-стороны. Таким образом, мы можем оценить, какой барьер является более высоким, U3 или U4.
О необходимости преодоления энергетических барьеров в ЗК (в сайте NВS3) свидетельствует следующий экспериментальный факт. Несмотря на близость значений Kofftotal, было отмечено, что при отрицательных потенциалах ее величина примерно в 2 раза выше, чем при положительных (рис. 4 б и 4в). Это свидетельствует о более низком cis-барьере (U3<U4), так как при отрицательном потенциале на cis-электроде положительно заряженная молекула после диссоциации комплекса должна двигаться в cis-сторону. Опираясь на эти выводы и полагая, что блокировка тока через мембрану происходит в ЗК, можно предположить, что прямая транслокация модельного антибиотика в клетку (из внеклеточной стороны во внутриклеточную) происходит через последовательное преодоление двух барьеров U1 и U4, в то время как обратное движение сильно затруднено большим по величине барьером U2. Находясь в сайте блокировки, заряженная молекула антибиотика может выйти обратно наружу, преодолевая барьер U3, однако при достаточно большом градиенте концентрации прямой перенос может преобладать. Очевидно, при поглощении антибиотика бактериальными клетками из внешней среды движение заряженных молекул Nf происходит от cis- к trans-стороне мембраны. Обратное движение возможно, и оно значительно усиливается при приложении потенциала ниже –50 мВ, при этом NfH+1 может достигнуть сайта блокировки через потенциальный барьер.
Описанная нами асимметрия канала YpOmpF, в целом, является распространенной для неспецифических пориновых каналов этого типа и рассматривается различными исследователями как свидетельство наличия нескольких различных сайтов блокировки на cis- и trans- сторонах либо, как в нашем случае, наличия одного ассиметричного сайта блокировки. Так, при исследовании пути энрофлоксацина, фторхинолонового антибиотика, через канал внешней мембраны OmpF E. coli с помощью методов моделирования обнаружено два сайта связывания антибиотика, расположенных по обеим сторонам от ЗК и отделенных от нее большими энергетическими барьерами [21]. Блокировка ионного тока вызывалась молекулами, занимающими любой из этих периферийных сайтов. Поскольку константы ассоциации зависели только от знака потенциала, а не от стороны добавления антибиотика, был сделан вывод об их равноценности. Анализ выявил сильное сродство энрофлоксацина к OmpF, самое высокое среди когда-либо зарегистрированных для антибиотиков при взаимодействии с пориновыми каналами. Однако точечная мутация в зоне сужения канала OmpF, а именно замена аспарагиновой кислоты в положении 113 на аспарагин (D113N), снижала аффинность до уровня, сравнимого с силой связывания других антибиотиков. При этом оба сайта перестают играть какую-либо роль в блокировке тока, а вместо них образуется новый сайт связывания в области сужения. Он является ассиметричным, поскольку для его достижения с cis- и trans-стороны требуется преодоление разных энергетических барьеров. Таким образом, авторам удалось продемонстрировать, как одна точечная мутация может привести к сдвигу аффинного сайта внутри канала и существенно модифицировать транслокацию.
В работе [51] исследован транспорт сахаров через мальтопориновые каналы кишечной палочки. Авторы представили новую асимметричную модель, согласно которой с периплазматической стороны поринового канала существует в 2–3 раза более высокий энергетический барьер, чем с внеклеточной стороны.
В работе [23] были исследованы закономерности транспорта жесткой дипольной молекулы норфлоксацина с использованием OmpF и OmpC белков в качестве прототипов типичных пориновых каналов. Авторы утверждают, что обнаруженная ими асимметрия кинетических констант относительно сторон добавления антибиотика позволяет сделать вывод о наличии двух различных сайтов блокировки, что с нашей точки зрения неверно. Подобная асимметрия может указывать лишь на разницу в потенциальных барьерах, которые необходимо преодолеть молекуле антибиотика для достижения или освобождения из сайта связывания, и ничего не говорит о количестве сайтов блокировки. Экстрацеллюлярный сайт, как показывают данные моделирования, состоит из двух участков, в первом происходит захват молекулы антибиотика и ориентация ее перпендикулярно оси поры, а сама блокировка происходит во втором участке во время прохождения через ЗК, когда молекула ориентируется вдоль оси поры. При этом приложенный потенциал «помогает» сориентировать молекулу антибиотика для проникновения в ЗК, о чем свидетельствует пропорциональное увеличение значения Коn.
Антибактериальная активность препаратов определяется их транслокацией и накоплением в бактериальной клетке, а также взаимодействием с ключевыми вне- и внутриклеточными мишенями или тем и другим. В данном исследовании мы сосредоточили внимание на влиянии положительного заряда в молекулах солей Nf в положениях N(12) и N(1) на механизм YpOmpF-опосредованного прохождения в бактериальную клетку. В то же время в результате тестирования антибактериальной активности норфлоксацинов было показано, что введение положительного заряда в молекулу Nf (1) существенно не меняет их способность подавлять рост грамотрицательных бактерий Y. pseudotuberculosis, а значения МИК100 сохраняют тот же порядок. Однако остается неясным, чем вызвано статистически значимое двукратное снижение активности Nf2H+2 по сравнению с активностью NfH+1 и Nf (1). С одной стороны, наши результаты согласуются с выводами, сделанными в работе [14], что усиление взаимодействия антибиотика с сайтами связывания внутри поринового канала отрицательно влияет на чувствительность бактерий к этому соединению. Такие выводы были сделаны на основе исследований взаимодействия мутантных поринов EcOmpF с антибиотиками, а также тестирования их антимикробной активности в отношении бактерий, экспрессирующих мутантные порины. В случае дигидрохлорида Nf мы действительно наблюдали двукратное снижение эффективности в отношении бактерий псевдотуберкулеза. С другой стороны, совпадение данных о значении МИК100 для NfH+1 и Nf (1) (табл. 1) указывает на отсутствие прямой зависимости между степенью аффинности связывания этих форм Nf внутри канала YpOmpF порина и антибактериальным действием. Этот факт может лишь указывать на то, что эти отношения гораздо сложнее. Очевидно, существенное значение имеет не только наличие заряда, но и локализация последнего на молекуле Nf. По-видимому, отсутствие заряда на группе HN(12) пиперазинового кольца Nf не оказывает решающего влияния на биологическую активность, тогда как в случае дигидрохлорида Nf заряд атома N(1) в кольце А молекулы очень важен с точки зрения антимикробного действия. Возможно также, что такая локализация положительного заряда в хинолоновом ядре молекулы может влиять на эффективность и/или селективность по отношению к ключевым мишеням бактериальной клетки. Для решения этого вопроса необходимы дополнительные исследования влияния различных форм Nf на внутриклеточные мишени.
Полученные результаты свидетельствуют о существенном влиянии положительного заряда молекулы антибиотика на характеристики ее транслокации, но не на ее антимикробную активность в отношении грамотрицательной бактерии Y. pseudotuberculosis. Так, Nf и обе его солевые формы на два порядка эффективнее гентамицина в отношении исследуемых бактерий псевдотуберкулеза. Однако двукратное различие между Nf·HCl и Nf·2HCl в способности ингибировать рост бактерий на данный момент трудно объяснить. Возможно, это связано с особенностями их порин-опосредованной транслокации и/или внутриклеточной маршрутизации. В связи с этим необходимы дальнейшие исследования, чтобы пролить свет на то, как величина и распределение положительного заряда молекулы Nf влияют на их взаимодействие с различными мишенями внутри бактериальной клетки. Таким образом, применение метода реконструкции белка в БЛМ в сочетании с МД позволило нам определить влияние положительного заряда в молекуле норфлоксацина на передвижение антибиотика по каналу порина. Для моно- и дихгидролорида Nf обнаружено существование двух периферийных высокоаффинных сайтов связывания, взаимодействие с которыми, по-видимому, не приводит к блокировке канала, а также асимметричного сайта блокировки тока вблизи зоны сужения канала. При этом характер взаимодействия с этими сайтами зависит не только от потенциала на мембране и стороны введения антибиотика, но и от величины и локализации заряда в молекуле антибиотика. Следует подчеркнуть также особую роль экстрацеллюлярного сайта в предварительном концентрировании антибиотика и ориентации его молекулы перед вхождением в пору.
Конфликт интересов. Авторы заявляют, что у них нет конфликта интересов.
Источники финансирования. Государственное задание, тема № АААА-А20–120011490018–3.
Соответствие принципам этики. Настоящая статья не содержит описания каких-либо исследований с участием людей или животных в качестве объектов.
About the authors
D. K. Chistyulin
Еlyakov Pacific Institute of Bioorganic Chemistry, Far Eastern Branch of the Russian Academy of Sciences
Email: zel01@mail.ru
Russian Federation, Vladivostok, 690022
E. A. Zelepuga
Еlyakov Pacific Institute of Bioorganic Chemistry, Far Eastern Branch of the Russian Academy of Sciences
Author for correspondence.
Email: zel01@mail.ru
Russian Federation, Vladivostok, 690022
V. L. Novikov
Еlyakov Pacific Institute of Bioorganic Chemistry, Far Eastern Branch of the Russian Academy of Sciences
Email: zel01@mail.ru
Russian Federation, Vladivostok, 690022
N. N. Balaneva
Еlyakov Pacific Institute of Bioorganic Chemistry, Far Eastern Branch of the Russian Academy of Sciences
Email: zel01@mail.ru
Russian Federation, Vladivostok, 690022
V. P. Glazunov
Еlyakov Pacific Institute of Bioorganic Chemistry, Far Eastern Branch of the Russian Academy of Sciences
Email: zel01@mail.ru
Russian Federation, Vladivostok, 690022
E. A. Chingizova
Еlyakov Pacific Institute of Bioorganic Chemistry, Far Eastern Branch of the Russian Academy of Sciences
Email: zel01@mail.ru
Russian Federation, Vladivostok, 690022
V. A. Khomenko
Еlyakov Pacific Institute of Bioorganic Chemistry, Far Eastern Branch of the Russian Academy of Sciences
Email: zel01@mail.ru
Russian Federation, Vladivostok, 690022
O. D. Novikova
Еlyakov Pacific Institute of Bioorganic Chemistry, Far Eastern Branch of the Russian Academy of Sciences
Email: novolga_05@mail.ru
Russian Federation, Vladivostok, 690022
References
- Ghai I., Ghai S. 2017. Infection and drug resistance exploring bacterial outer membrane barrier to combat bad bugs. Infection and Drug Resistance. 10, 261–273. https://doi.org/10.2147/IDR.S144299
- Scorciapino M.A., Acosta-Gutierrez S., Benkerrou D., D’Agostino T., Malloci G., Samanta S., Bodrenko I., Ceccarelli M. 2017. Rationalizing the permeation of polar antibiotics into Gram-negative bacteria. J. Phys. Condens. Matter. 29 (11), 113001. https://doi.org/10.1088/1361–648X/aa543b
- Cowan S.W., Garavito R.M., Jansonius J.N., Jenkins J.A., Karlsson R., König N., Pai E.F., Pauptit R.A., Rizkallah P.J., Rosenbusch J.P., Rummel G., Schirmer T.1995. The structure of OmpF porin in a tetragonal crystal form. Structure. 3 (10), 1041–1050. https://doi.org/10.1016/S0969–2126(01)00240–4
- Baslé A., Rummel G., Storici P., Rosenbusch J.P., Schirmer T. 2006. Crystal structure of osmoporin OmpC from E. coli at 2.0 Å.J. Mol. Biol. 362 (5), 933–942. https://doi.org/10.1016/j.jmb.2006.08.002
- Acosta-Gutiérrez S., Bodrenko I., Scorciapino M.A., Ceccarelli M. 2016. Macroscopic electric field inside water-filled biological nanopores. Phys. Chem. Chem. Phys. 18 (13), 8855–8864. https://doi.org/10.1039/c5cp07902k
- Im W., Roux B. 2002. Ion permeation and selectivity of OmpF porin: A theoretical study based on molecular dynamics, Brownian dynamics, and continuum electrodiffusion theory. J. Mol. Biol. 322 (4), 851–869. https://doi.org/10.1016/S0022–2836(02)00778–7
- Bredin J., Saint N., Malléa M., Dé E., Molle G., Pagès J.M., Simonet V. 2002. Alteration of pore properties of Escherichia coli OmpF induced by mutation of key residues in anti-loop 3 region. Biochem. J. 363 (3), 521–528. https://doi.org/10.1042/0264–6021:3630521
- Yoshimura F., Nikaido H. 1985. Diffusion of beta-lactam antibiotics through the porin channels of Escherichia coli K-12. Antimicrob. Agents Chemother. 27 (1), 84–92. https://doi.org/10.1128/AAC.27.1.84
- Pagès J.M., James C.E., Winterhalter M. 2008. The porin and the permeating antibiotic: A selective diffusion barrier in Gram-negative bacteria. Nat. Rev. Microbiol. 6 (12), 893–903. https://doi.org/10.1038/nrmicro1994
- Choi U., Lee C.R. 2019. Distinct roles of outer membrane porins in antibiotic resistance and membrane integrity in Escherichia coli. Front. Microbiol. 10, 953. https://doi.org/10.3389/fmicb.2019.00953
- James C.E., Mahendran K.R., Molitor A., Bolla J.M., Bessonov A.N., Winterhalter M., Pagès J.M. 2009. How β-lactam antibiotics enter bacteria: A dialogue with the porins. PLoS One.4 (5), e5453. https://doi.org/10.1371/journal.pone.0005453
- Acosta-Gutiérrez S., Ferrara L., Pathania M., Masi M., Wang J., Bodrenko I., Zahn M., Winterhalter M., Stavenger R.A., Pagès J.M., Naismith J.H., van den Berg B., Page M., Ceccarelli M. 2018. Getting drugs into gram-negative bacteria: rational rules for permeation through general porins. ACS Infect. Dis. 4 (10), 1487–1498. https://doi.org/10.1021/acsinfecdis.8b00108
- Lou H., Chen M., Black S.S., Bushell S.R., Ceccarelli M., Mach T., Beis K., Low A.S., Bamford V.A., Booth I.R., Bayley H., Naismith J.H. 2011. Altered antibiotic transport in OmpC mutants isolated from a series of clinical strains of multi-drug resistant E. coli. PLoS One. 6 (10), e25825. doi: 10.1371/journal.pone.0025825
- Ziervogel B.K., Roux B. 2013. The binding of antibiotics in OmpF porin. Structure. 21 (1), 76–87. https://doi.org/10.1016/j.str.2012.10.014
- Sugawara E., Kojima S., Nikaido H. 2016. Klebsiella pneumoniae major porins OmpK35 and OmpK36 allow more efficient diffusion of β-lactams than their Escherichia coli homologs OmpF and Omp C.J. Bacteriol. 198 (23), 3200–3208. https://doi.org/10.1128/JB.00590–16
- Moya-Torres A., Mulvey M.R., Kumar A., Oresnik I.J., Brassinga A.K.C. 2014. The lack of OmpF, but not OmpC, contributes to increased antibiotic resistance in Serratia marcescens. Microbiol. 160 (9), 1882–1892. https://doi.org/10.1099/mic.0.081166–0
- Okamoto K., Gotoh N., Nishino T. 2001. Pseudomonas aeruginosa reveals high intrinsic resistance to penem antibiotics: Penem resistance mechanisms and their interplay. Antimicrob. Agents Chemother. 45 (7), 1964–1971. https://doi.org/10.1128/AAC.45.7.1964–1971.2001
- Bornet C., Davin-Regli A., Bosi C., Pages J.M., Bollet C. 2000. Imipenem resistance of Enterobacter aerogenes mediated by outer membrane permeability. J. Clin. Microbiol. 38 (3), 1048–1052. doi: 10.1128/jcm.38.3.1048–1052.2000
- Mortimer P.G.S., Piddok L.J.V. 1993. The accumulation of five antibacterial agents in porin-deficient mutants of Escherichia coli. J. Antimicrob. Chemother. 32 (2), 195–213. https://doi.org/10.1093/jac/32.2.195
- Mahendran K.R., Kreir M., Weingart H., Fertig N., Winterhalter M. 2010. Permeation of antibiotics through Escherichia coli OmpF and OmpC porins. J. Biomol. Screen. 15 (3), 302–307.doi: 10.1177/1087057109357791
- Mahendran K.R., Hajjar E., MacH T., Lovelle M., Kumar A., Sousa I., Spiga E., Weingart H., Gameiro P., Winterhalter M., Ceccarelli M. 2010. Molecular basis of enrofloxacin translocation through OmpF, an outer membrane channel of Escherichia coli — When binding does not imply translocation. J. Phys. Chem. B. 114 (15), 5170–5179. https://doi.org/10.1021/jp911485k
- Mach T., Neves P., Spiga E., Weingart H., Winterhalter M., Ruggerone P., Ceccarelli M., Gameiro P. 2008. Facilitated permeation of antibiotics across membrane channels — Interaction of the quinolone moxifloxacin with the OmpF channel. J. Am. Chem. Soc. 130 (40), 13301–13309. https://doi.org/10.1021/ja803188c
- Bajaj H., Acosta-Gutierrez S., Bodrenko I., Malloci G., Scorciapino M.A., Winterhalter M., Ceccarelli M. 2017. Bacterial outer membrane porins as electrostatic nanosieves: exploring transport rules of small polar molecules. ACS Nano. 11 (6), 5465–5473. https://doi.org/10.1021/acsnano.6b08613
- Nestorovich E.M., Danelon C., Winterhalter M., Bezrukov S.M. 2002. Designed to penetrate: Time-resolved interaction of single antibiotic molecules with bacterial pores. Proc. Natl. Acad. Sci. USA. 99 (15), 9789–9794. https://doi.org/10.1073/pnas.152206799
- Kojima S., Nikaido H. 2013. Permeation rates of penicillins indicate that Escherichia coli porins function principally as nonspecific channels. Proc. Natl. Acad. Sci. USA. 110 (28), 2629–2634. https://doi.org/10.1073/pnas.1310333110
- Bafna J.A., Pangeni S., Winterhalter M., Aksoyoglu M.A. 2020. Electroosmosis dominates electrophoresis of antibiotic transport across the outer membrane porin F. Biophys. J. 118 (11), 2844–2852. https://doi.org/10.1016/j.bpj.2020.04.011
- Gaussian 16W. Version 1.1. Gaussian Inc., Wallingford (CT), 2019.
- Khomenko V.A., Portnyagina O.Y., Novikova O.D., Isaeva M.P., Kim N.Y., Likhatskaya G.N., Vostrikova O.P., Solov’eva T.F. 2008. Isolation and characterization of recombinant OmpF-like porin from the Yersinia pseudotuberculosis outer membrane. Russ. J. Bioorg. Chem. 34 (2), 162–168. https://doi.org/10.1134/s1068162008020040
- Mueller P., Rudin D.O., Ti Tien H., Wescott W.C. 1962. Reconstitution of cell membrane structure in vitro and its transformation into an excitable system. Nature. 194 (4832), 979–980. https://doi.org/10.1038/194979a0
- Molecular Operating Environment (MOE), 2019.01; Chemical Computing Group ULC, 1010 Sherbooke St. West, Suite #910, Montreal, QC, Canada, H3A 2R7, 2021.
- Lee J., Cheng X., Swails J.M., Yeom M.S., Eastman P.K., Lemkul J.A., Wei S., Buckner J., Jeong J.C., Qi Y., Jo S., Pande V.S., Case D.A., Brooks C.L., MacKerell A.D., Klauda J.B., Im W. 2016. CHARMM-GUI input generator for NAMD, GROMACS, AMBER, OpenMM, and CHARMM/OpenMM simulations using the CHARMM36 additive force field. J. Chem. Theory Comput. 12 (1), 405–413. https://doi.org/10.1021/acs.jctc.5b00935
- Lee J., Hitzenberger M., Rieger M., Kern N.R., Zacharias M., Im W. 2020. CHARMM-GUI supports the Amber force fields. J. Chem. Phys. 153 (3), 035103–035109. https://doi.org/10.1063/5.0012280
- Case D.A., Babin V., Berryman J.T., Betz R.M., Cai Q., Cerutti D.S., Cheatham III T.E., Darden T.A., Duke R.E., Gohlke H.; Goetz A.W., Gusarov S., Homeyer N., Janowski P., Kaus J., Kolossváry I., Kovalenko A., Lee T.S., LeGrand S., Luchko T., Luo R., Madej B., Merz K.M., Paesani F., Roe D.R., Roitberg A., Sagui C., Salomon-Ferrer R., Seabra G., Simmerling C.L., Smith W., Swails J., Walker R.C., Wang J., Wolf R.M., Wu X., Kollman P.A. (2014), AMBER14, University of California, San Francisco.
- Dickson C. J., Madej B.D., Skjevik Å.A., Betz R.M., Teigen K., Gould I.R., Walker R.C. 2014. Lipid14: The amber lipid force field. J. Chem. Theory Comput. 10 (2), 865–879. https://doi.org/10.1021/ct4010307
- Jorgensen W. L., Chandrasekhar J., Madura J.D., Impey R.W., Klein M.L. 1983. Comparison of simple potential functions for simulating liquid water. J. Chem. Phys. 79 (2), 926–935. https://doi.org/10.1063/1.445869
- Methods for dilution of antimicrobial susceptibility tests for bacteria that grow aerobically; Approved standard — 10th Edition. CLSI Document M07-A10. (2015) Clinical and Laboratory Standards Institute, Wayne, PA. Available from: http://www.eucast.org.
- Samson R.A. 1974. Paecilomyces and some allied hyphomycetes. Studies in mycology. (6), 1–119.
- Ahumada A. A., Seeck J., Allemandi D., Manzo R.H. 1993. The pH/solubility profile of norfloxacin. S.T.R. Pharma Sciences. 3 (3), 250–253.
- Reed A. E., Weinstock R.B., Weinhold F. 1985. Natural population analysis. J. Chem. Phys. 83 (2), 735–746. https://doi.org/10.1063/1.449486.
- Reed A. E., Weinhold F. 1985. Natural localized molecular orbitals. J. Chem. Phys. 83 (4), 1736–1740. https://doi.org/10.1063/1.449360
- Malloci G., Vargiu A.V., Serra G., Bosin A., Ruggerone P., Ceccarelli M. 2015. A database of force-field parameters, dynamics, and properties of antimicrobial compounds. Molecules. 20 (8), 13997–14021. https://doi.org/10.3390/molecules200813997.
- Hoenger A., Pagès J.M., Fourel D., Engel A.1993. The orientation of porin OmpF in the outer membrane of Escherichia coli. J. Mol. Biol. 233 (3), 400–413. https://doi.org/10.1006/jmbi.1993.1520
- Danelon C., Brando T., Winterhalter M. 2003. Probing the orientation of reconstituted maltoporin channels at the single-protein level. J. Biol. Chem. 278 (237), 35542–35551. https://doi.org/10.1074/jbc.M305434200
- Tanabe M., Nimigean C.M., Iverson T.M. 2010. Structural basis for solute transport, nucleotide regulation, and immunological recognition of Neisseria meningitides Por B. Proc. Natl. Acad. Sci. USA. 107 (15), 6811–6816. https://doi.org/10.1073/pnas.0912115107
- Likhatskaya G.N., Solov’eva T.F., Novikova O.D., Issaeva M.P., Gusev K.V., Kryzhko I.B., Trifonov E.V., Nurminski E.A. 2005. Homology models of the Yersinia pseudotuberculosis and Yersinia pestis general porins and comparative analysis of their functional and antigenic regions. J. Biomol. Struct. Dyn. 23 (2), 163–174. https://doi.org/10.1080/07391102.2005.10507056
- Robertson K. M., Tieleman D.P. 2002. Orientation and interactions of dipolar molecules during transport through OmpF porin. FEBS Lett. 528 (1–3), 53–57. https://doi.org/10.1016/S0014–5793(02)03173–3
- Danelon C., Nestorovich E.M., Winterhalter M., Ceccarelli M., Bezrukov S.M. 2006. Interaction of zwitterionic penicillins with the OmpF channel facilitates their translocation. Biophys. J. 90 (5), 1617–1627. https://doi.org/10.1529/biophysj.105.075192
- Сama J., Bajaj H., Pagliara S., Maier T., Braun Y., Winterhalter M., Keyser U.F. 2015. Quantification of fluoroquinolone uptake through the outer membrane channel OmpF Escherichia coli. J. Am. Chem. Soc. 137 (43), 13836–13843. https://doi.org/10.1021/jacs.5b08960
- Prigogine I., Stuart A.R. 1999. Hydrogen bonds with large proton polarizability and proton transfer processes in electrochemistry and biology. Adv. Chem. Phys. 111, 1–217. https://doi.org/10.1002/9780470141700.CH1
- Woldegiorges K., Belay A., Kebede A., Abebe T. 2021. Estimating the ground and excited state dipole moments of levofloxacin and norfloxacin drugs using solvatochromic effects and computational work. J. Spectroscopy. Article ID7214182. https://doi.org/10.1155/2021/7214182
- Van Gelder P., Dumas F., Rosenbusch J.P., Winterhalter M. 2000. Oriented channels reveal asymmetric energy barriers for sugar translocation through maltoporin of Escherichia coli. Eur. J. Biochem. 267 (1), 79–84. https://doi.org/10.1046/j.1432–1327.2000.00960.x
Supplementary files










