Применение N,N,Nꞌ,Nꞌ-тетраметил-п-фенилендиамина и α,ω-гексадекандикарбоновой кислоты для определения коэффициентов Н+/О комплексов III и IV дыхательной цепи митохондрий печени в условиях свободного дыхания
- Авторы: Самарцев В.Н.1, Семенова А.А.1, Белослудцев К.Н.1,2, Дубинин М.В.1
-
Учреждения:
- Марийский государственный университет
- Институт теоретической и экспериментальной биофизики РАН
- Выпуск: Том 40, № 2 (2023)
- Страницы: 122-132
- Раздел: СТАТЬИ
- URL: https://ogarev-online.ru/0233-4755/article/view/135019
- DOI: https://doi.org/10.31857/S0233475523020068
- EDN: https://elibrary.ru/KWTSVK
- ID: 135019
Цитировать
Полный текст
Аннотация
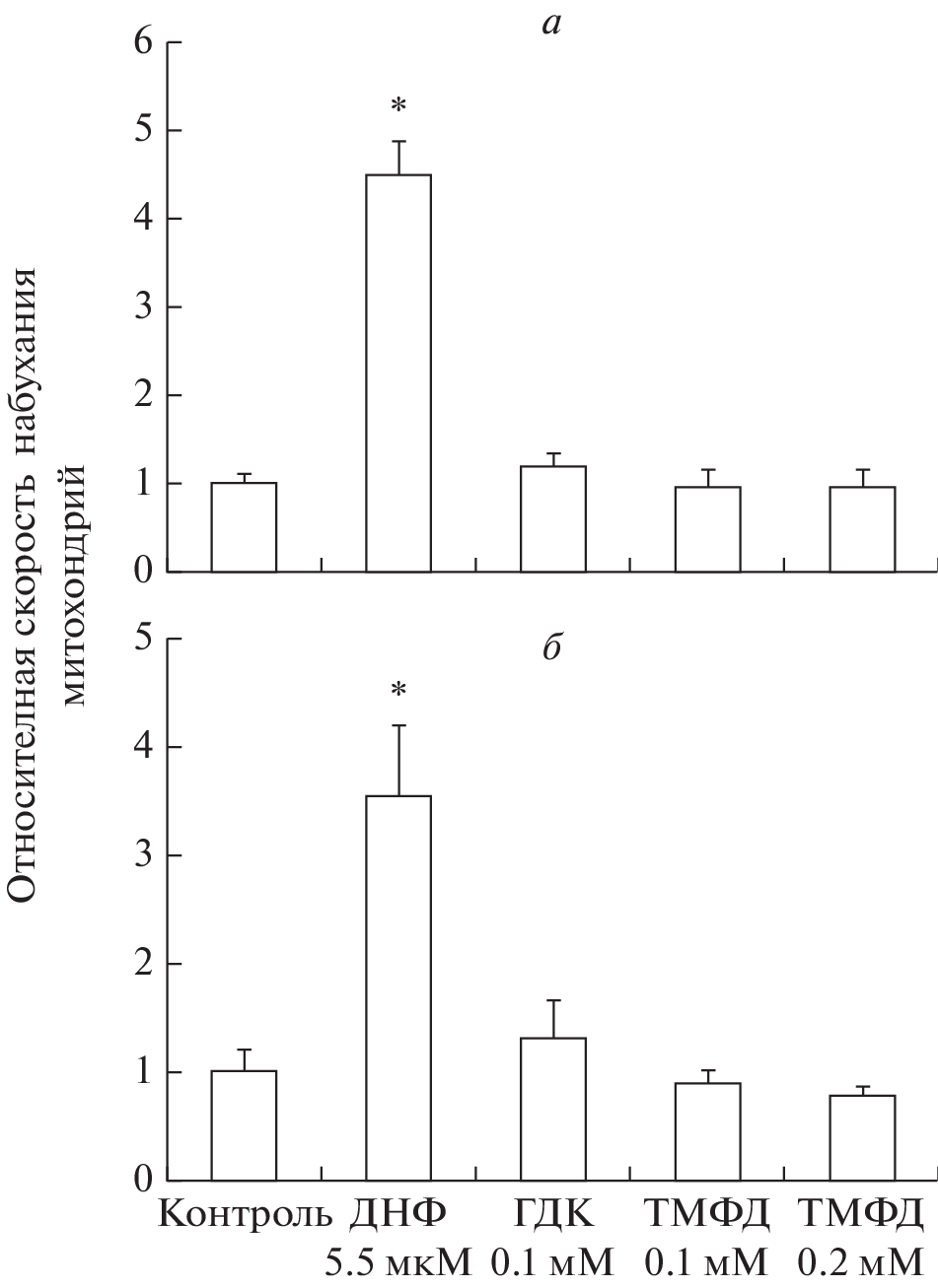
Известно, что в отсутствие синтеза АТР и действия протонофорных разобщителей, то есть в состоянии 4, стимуляция дыхания митохондрий без изменения пассивной утечки протонов сопровождается снижением коэффициента Н+/О. В настоящей работе установлено, что при окислении сукцината митохондриями печени N,N,N',N'-тетраметил-п-фенилендиамин (ТМФД) и α,ω-гексадекандикарбоновая кислота (ГДК) эффективно стимулируют дыхание в состоянии 4, и такое их действие, в отличие от протонофорного разобщителя 2,4-динитрофенола (ДНФ), не вызвано усилением протонной проводимости внутренней мембраны. При этих условиях ТМФД и ГДК не оказывают существенного влияния на эффективность окислительного синтеза АТР и на трансформацию энергии комплексом IV (цитохром с-оксидазой). Полученные данные рассматриваются как свидетельство того, что при окислении сукцината митохондриями печени ТМФД и ГДК избирательно отключают комплекс III электрон транспортной цепи от трансформации энергии. Теоретически обосновано, что при этих условиях коэффициент Н+/О может быть определен исходя из отношения скоростей дыхания в отсутствие и в присутствии ТМФД и ГДК. Основываясь на этой модели, рассмотрено изменение коэффициента Н+/О в зависимости от стимуляции ТМФД и ГДК дыхания митохондрий в состоянии 4. Установлено, что под влиянием ТМФД или ГДК значение коэффициента Н+/О уменьшается при окислении сукцината с 6 до предельных значений 2. Сделано заключение, что в митохондриях печени при свободном дыхании, в отличие от окислительного синтеза АТР, значения коэффициента Н+/О составляют 4 и 2 для комплексов III и IV соответственно.
Об авторах
В. Н. Самарцев
Марийский государственный университет
Email: dubinin1989@gmail.com
Россия, 424000,
Республика Марий Эл, Йошкар-Ола, пл. Ленина, 1
А. А. Семенова
Марийский государственный университет
Email: dubinin1989@gmail.com
Россия, 424000,
Республика Марий Эл, Йошкар-Ола, пл. Ленина, 1
К. Н. Белослудцев
Марийский государственный университет; Институт теоретической и экспериментальной биофизики РАН
Email: dubinin1989@gmail.com
Россия, 424000,
Республика Марий Эл, Йошкар-Ола, пл. Ленина, 1; Россия, 142290, Пущино
М. В. Дубинин
Марийский государственный университет
Автор, ответственный за переписку.
Email: dubinin1989@gmail.com
Россия, 424000,
Республика Марий Эл, Йошкар-Ола, пл. Ленина, 1
Список литературы
- Mitchell P. 2011. Chemiosmotic coupling in oxidative and photosynthetic phosphorylation. Biochim. Biophys. Acta. 1807, 1507–1538.
- Mitchell P., Moyle J. 1967. Respiration-driven proton translocation in rat liver mitochondria. Biochem. J. 105, 1147–1162.
- Skulachev V.P., Bogachev A.V., Kasparinsky F.O. 2013. Principles of bioenergetics. Berlin: Springer-Verlag. 436 p.
- Cadenas S. 2018. Mitochondrial uncoupling, ROS generation and cardioprotection. Biochim. Biophys. Acta. Bioenerg. 1859, 940–950.
- Mazat J.P., Ransac S., Heiske M., Devin A., Rigoulet M. 2013. Mitochondrial energetic metabolism – some general principles. IUBMB Life. 65, 171–179.
- Zorova L.D., Popkov V.A., Plotnikov E.Y., Silachev D.N., Pevzner I.B., Jankauskas S.S., Babenko V.A., Zorov S.D., Balakireva A.V., Juhaszova M., Sollott S.J., Zorov D.B. 2018. Mitochondrial membrane potential. Anal. Biochem. 552, 50–59.
- Klingenberg M. 2008. The ADP and ATP transport in mitochondria and its carrier. Biochim. Biophys. Acta. 1778, 1978–2021.
- Porter R.K., Brand M.D. 1993. Body mass dependens of H+ leak in mitochondria and its relevance to metabolic rate. Nature. 362, 628–630.
- Nicholls D.G. 2021. Mitochondrial proton leaks and uncoupling proteins. Biochim. Biophys. Acta. Bioenerg. 1862, 148428.
- Vinogradov A.D., Grivennikova V.G. 2016. Oxidation of NADH and ROS production by respiratory complex I. Biochim. Biophys. Acta. 1857, 863–871.
- Hummer G., Wikström M. 2016. Molecular simulation and modeling of complex I. Biochim Biophys Acta. 1857, 915–921.
- Sarewicz M., Osyczka A. 2015. Electronic connection between the quinone and cytochrome c redox pools and its role in regulation of mitochondrial electron transport and redox signaling. Physiol. Rev. 95, 219–243.
- Fisher N., Meunier B., Biagini G.A. 2020. The cytochrome bc1 complex as an antipathogenic target. FEBS Lett. 594, 2935–2952.
- Kao W.-C., Hunte C. 2022. Quinone binding sites of cyt bc complexes analysed by X-ray crystallography and cryogenic electron microscopy. Biochem. Soc. Trans. 50, 877–893.
- Wikström M., Krab K., Sharma V. 2018. Oxygen activation and energy conservation by cytochrome c oxidase. Chem. Rev. 118, 2469–2490.
- Brand M.D., Reynafarje B., Lehninger A.L. 1976. Re-evaluation of the H+/site ratio of mitochondrial electron transport with the oxygen pulse technique. J. Biol. Chem. 251, 5670–5679.
- Reynafarje B., Brand M.D., Lehninger A.L. 1976. Evaluation of the H+/site ratio of mitochondrial electron transport from rate measurements. J. Biol. Chem. 251, 7442–7451.
- Papa S., Guerrieri F., Lorusso M., Izzo G., Boffoli D., Capuano F., Capitanio N., Altamura N. 1980. The H+/e– stoicheiometry of respiration-linked proton translocation in the cytochrome system of mitochondria. Biochem. J. 192, 203–218.
- Watt I.N., Montgomery M.G., Runswick M.J., Leslie A.G., Walker J.E. 2010. Bioenergetic cost of making an adenosine triphosphate molecule in animal mitochondria. Proc. Natl. Acad. Sci. USA. 107, 16 823–16 827.
- Hinkle P.C. 2005. P/O ratios of mitochondrial oxidative phosphorylation. Biochim. Biophys. Acta. 1706, 1–11.
- Stoner C.D. 1987 Determination of the P/2e– stoichiometries at the individual coupling sites in mitochondrial oxidative phosphorylation. Evidence for maximum values of 1.0, 0.5, and 1.0 at sites 1, 2, and 3. J. Biol. Chem. 262, 10445–10453.
- Hinkle P.C., Kumar M.A., Resetar A., Harris D.L. 1991. Mechanistic stoichiometry of mitochondrial oxidative phosphorylation. Biochemistry. 30, 3576–3582.
- Samartsev V.N., Semenova A.A., Ivanov A.N., Dubinin M.V. 2022. Comparative study of free respiration in liver mitochondria during oxidation of various electron donors and under conditions of shutdown of complex III of the respiratory chain. Biochem. Biophys. Res. Commun. 606, 163–167.
- Brown G.C. 1989. The relative proton stoihiometries of the mitochondrial proton pumps are independent of the proton motive force. J. Biol. Chem. 264, 14 704–14 109.
- Chien L.F., Brand M.D. 1996. The effect of chloroform on mitochondrial energy transduction. Biochem. J. 320, 837–845.
- Skulachev V.P. 1998. Uncoupling: New approaches to an old problem of bioenergetics. Biochim. Biophys. Acta. 1363, 100–124.
- Luvisetto S., Conti E., Buso M., Azzone G.F. 1991. Flux ratios and pump stoichiometries at sites II and III in liver mitochondria. Effect of slips and leaks. J. Biol. Chem. 266, 1034–1042.
- Маркова О.В., Бондаренко Д.И., Самарцев В.Н. 1999. Опосредованное анионными переносчиками разобщающее действие дикарбоновых жирных кислот зависит от расположения второй карбоксильной группы. Биохимия. 64, 679–685.
- Semenova A.A., Samartsev V.N., Dubinin M.V. 2021. The stimulation of succinate-fueled respiration of rat liver mitochondria in state 4 by α,ω-hexadecanedioic acid without induction of proton conductivity of the inner membrane. Intrinsic uncoupling of the bc1 complex. Biochimie. 181, 215–225.
- Terada H., Shima O., Yoshida K., Shinohara Y. 1990. Effects of the local anesthetic bupivacaine on oxidative phosphorilation in mitochondria. Change from decoupling to uncoupling by formation of a leakage type ion pathway specific for H+ in cooperation with hydrophobic anions. J. Biol. Chem. 265, 7837–7842.
- Alexandre A., Lehninger A.L. 1984. Bypasses of the antimycin a block of mitochondrial electron transport in relation to ubisemiquinone function. Biochim. Biophys. Acta. 767, 120–129.
- Samartsev V.N., Semenova A.A., Dubinin M.V. 2020. A comparative study of the action of protonophore uncouplers and decoupling agents as inducers of free respiration in mitochondria in states 3 and 4: Theoretical and experimental approaches. Cell Biochem. Biophys. 78, 203–216.
- Garlid K.D., Nakashima R.A. 1983. Studies on the mechanism of uncoupling by amine local anesthetics. Evidence for mitochondrial proton transport mediated by lipophilic ion pairs. J. Biol. Chem. 258, 7974–7980.
- Popova L.B., Nosikova E.S., Kotova E.A., Tarasova E.O., Nazarov P.A., Khailova L.S., Balezina O.P., Antonenko Y.N. 2018. Protonophoric action of triclosan causes calcium efflux from mitochondria, plasma membrane depolarization and bursts of miniature end-plate potentials. Biochim. Biophys. Acta Biomembr. 1860, 1000–1007.
- Brierley G.P., Jurkowitz M., Scott K.M., Merola A.J. 1970. Ion transport by heart mitochondria. XX. Factors affecting passive osmotic swelling of isolated mitochondria. J. Biol. Chem. 245, 5404–5411.
- Самарцев В.Н., Кожина О.В., Полищук Л.С. 2005. Соотношение между дыханием и синтезом АТР в митохондриях при различной степени разобщения окислительного фосфорилирования. Биофизика. 50, 660–667.
- Terada H. 1981. The interaction of highly active uncouplers with mitochondria. Biochim. Biophys. Acta. 639, 225–242.
- Ponnalagu D., Singh H. 2017. Anion channels of mitochondria. Handb. Exp. Pharmacol. 240, 71–101.
- Groen A.K., Wanders R.J.A., Westerhoff H.V., Van der Meer R., Tager J.M. 1982. Quantification of the contribution of various steps to the control of mitochondrial respiration. J. Biol. Chem. 257, 2754–2757.
- Mookerjee S.A., Gerencser A.A., Watson M.A., Brand M.D. 2021. Controlled power: How biology manages succinate-driven energy release. Biochem. Soc. Trans. 49, 2929–2939.
- Самарцев В.Н., Чезганова С.А., Полищук Л.С., Пайдыганов А.П., Видякина О.В., Зелди И.П. 2003. Температурная зависимость дыхания митохондрий печени крыс при разобщении окислительного фосфорилирования жирными кислотами. Влияние неорганического фосфата. Биохимия. 68, 1137–1143.
Дополнительные файлы




