Механочувствительные каналы: история, многообразие, механизмы
- Авторы: Сухарев С.1,2, Анишкин А.1
-
Учреждения:
- Кафедра биологии, Университет Мэриленда
- Институт физических наук и технологий, Университет Мэриленда
- Выпуск: Том 40, № 1 (2023)
- Страницы: 19-42
- Раздел: ОБЗОРЫ
- URL: https://ogarev-online.ru/0233-4755/article/view/135017
- DOI: https://doi.org/10.31857/S0233475523010103
- EDN: https://elibrary.ru/NUDIVL
- ID: 135017
Цитировать
Полный текст
Аннотация
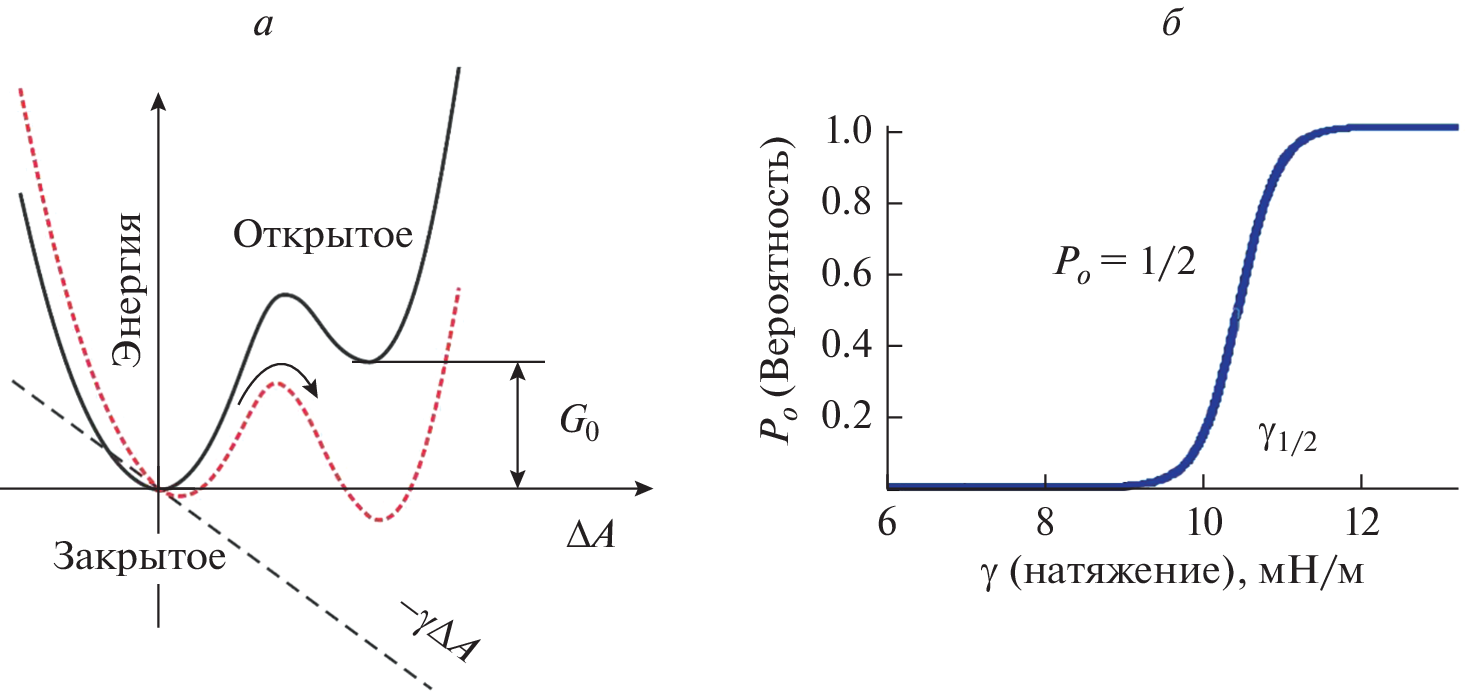
Многие клеточные процессы порождают механические напряжения. Деление клеток, их сократительная активность, а также адгезия создают внутренние напряжения в клетках, в то время как изменения во окружающей среде, такие как осмотический стресс, прямое механическое давление, сдвиговые деформации или звук, представляют собой внешние возмущения, силу которых клетки оценивают и на которые реагируют. Механочувствительные (МЧ) ионные каналы являются самыми быстрыми механoэлектрическими преобразователями (сенсорами) и представляют собой полифилетическую группу, характеризуемую многообразием белковых структур. В этом обзоре мы кратко проследим историю этой области, стараясь придерживаться хронологии в представлении основных результатов, опишем структурные особенности различных групп МЧ-каналов и проиллюстрируем некоторые общие физические принципы механизмов их функционирования.
Об авторах
С. Сухарев
Кафедра биологии, Университет Мэриленда; Институт физических наук и технологий, Университет Мэриленда
Автор, ответственный за переписку.
Email: sukharev@umd.edu
США, 20742, Мэрилэнд,
Колледж Парк; США, 20742, Мэрилэнд, Колледж Парк
А. Анишкин
Кафедра биологии, Университет Мэриленда
Автор, ответственный за переписку.
Email: anisan@umd.edu
США, 20742, Мэрилэнд,
Колледж Парк
Список литературы
- Wolfenson H., Yang B., Sheetz M.P. 2019. Steps in mechanotransduction pathways that control cell morphology. Ann. Rev. Physiol. 81, 585–605.
- Yasuda N., Miura S., Akazawa H., Tanaka T., Qin Y., Kiya Y., Imaizumi S., Fujino M., Ito K., Zou Y., Fukuhara S, Kunimoto S, Fukuzaki K, Sato T, Ge J, Mochizuki N, Nakaya H, Saku K, Komuro I. 2008. Conformational switch of angiotensin II type 1 receptor underlying mechanical stress-induced activation. EMBO Rep. 9 (2), 179–186. https://doi.org/10.1038/sj.embor.7401157
- Foo Y.H., Gao Y., Zhang H., Kenney L.J. 2015. Cytoplasmic sensing by the inner membrane histidine kinase EnvZ. Prog. Biophys. Mol. Biol. 118 (3), 119–129.
- Abeytunge S., Gianoli F., Hudspeth A.J., Kozlov A.S. 2021. Rapid mechanical stimulation of inner-ear hair cells by photonic pressure. Elife. 10, e65930.
- Handler A., Ginty D.D. 2021. The mechanosensory neurons of touch and their mechanisms of activation. Nat. Rev. Neurosci. 22 (9), 521–537.
- Cetiner U., Rowe I., Schams A., Mayhew C., Rubin D., Anishkin A., Sukharev S. 2017. Tension-activated channels in the mechanism of osmotic fitness in Pseudomonas aeruginosa. J. Gen. Physiol. 149 (5), 595–609.
- Corey D.P., Hudspeth A.J. 1979. Response latency of vertebrate hair cells. Biophys. J. 26 (3), 499–506.
- Moe P., Blount P. 2005. Assessment of potential stimuli for mechano-dependent gating of MscL: effects of pressure, tension, and lipid headgroups. Biochemistry. 44 (36), 12239–12244.
- Syeda R. 2021. Physiology and pathophysiology of mechanically activated PIEZO channels. Ann. Rev. Neurosci. 44, 383–402.
- Corey D.P., Hudspeth A.J. 1979. Ionic basis of the receptor potential in a vertebrate hair cell. Nature. 281 (5733), 675–677.
- Beurg M., Fettiplace R., Nam J.H., Ricci A.J. 2009. Localization of inner hair cell mechanotransducer channels using high-speed calcium imaging. Nature Neurosci. 12 (5), 553–558.
- Ricci A.J., Crawford A.C., Fettiplace R. 2003. Tonotopic variation in the conductance of the hair cell mechanotransducer channel. Neuron. 40 (5), 983–990.
- Longo-Guess C.M., Gagnon L.H., Cook S.A., Wu J., Zheng Q.Y., Johnson K.R. 2005. A missense mutation in the previously undescribed gene Tmhs underlies deafness in hurry-scurry (hscy) mice. Proc. Natl. Acad. Sci. USA. 102 (22), 7894–7899.
- Kawashima Y., Geleoc G.S., Kurima K., Labay V., Lelli A., Asai Y., Makishima T., Wu D.K., Della Santina C.C., Holt J.R., Griffith A.J. 2011. Mechanotransduction in mouse inner ear hair cells requires transmembrane channel-like genes. J. Clin. Invest. 121 (12), 4796–4809.
- Pan B., Akyuz N., Liu X.P., Asai Y., Nist-Lund C., Kurima K., Derfler B.H., Gyorgy B., Limapichat W., Walujkar S., Wimalasena L.N., Sotomayor M., Corey D.P., Holt J.R. 2018. TMC1 forms the pore of mechanosensory transduction channels in vertebrate inner ear hair cells. Neuron. 99 (4), 736–753.e6. https://doi.org/10.1016/j.neuron.2018.07.033
- Cunningham C.L., Qiu X., Wu Z., Zhao B., Peng G., Kim Y.H., Lauer A., Muller U. 2020. TMIE defines pore and cating properties of the mechanotransduction channel of mmammalian cochlear hair cells. Neuron. 107 (1), 126–143. e128.
- Gyobu S., Ishihara K., Suzuki J., Segawa K., Nagata S. 2017. Characterization of the scrambling domain of the TMEM16 family. Proc. Natl. Acad. Sci. USA. 114 (24), 6274–6279.
- Jeong H., Clark S., Goehring A., Dehghani-Ghahnaviyeh S., Rasouli A., Tajkhorshid E., Gouaux E. 2022. Structure of C. elegans TMC-1 complex illuminates auditory mechanosensory transduction. Preprint. https://doi.org/10.21203/rs.3.rs-1623715/v1
- Sotomayor M., Weihofen W.A., Gaudet R., Corey D.P. 2012. Structure of a force-conveying cadherin bond essential for inner-ear mechanotransduction. Nature. 492 (7427), 128–132.
- Ge J., Elferich J., Goehring A., Zhao H., Schuck P., Gouaux E. 2018. Structure of mouse protocadherin 15 of the stereocilia tip link in complex with LHFPL5. Elife. 7.
- Guharay F., Sachs F. 1984. Stretch-activated single ion channel currents in tissue-cultured embryonic chick skeletal muscle. J. Physiol. 352, 685–701.
- Martinac B., Buechner M., Delcour A.H., Adler J., Kung C. 1987. Pressure-sensitive ion channel in Escherichia coli. Proc. Natl. Acad. Sci. USA. 84 (8), 2297–2301.
- Gustin M.C., Zhou X.L., Martinac B., Kung C. 1988. A mechanosensitive ion channel in the yeast plasma membrane. Science. 242 (4879), 762–765.
- Zhang Y., Gao F., Popov V.L., Wen J.W., Hamill O.P. 2000. Mechanically gated channel activity in cytoskeleton-deficient plasma membrane blebs and vesicles from Xenopus oocytes. J. Physiol. 523 Pt 1, 117–130.
- Cosgrove D.J., Hedrich R. 1991. Stretch-activated chloride, potassium, and calcium channels coexisting in plasma membranes of guard cells of Vicia faba L. Planta. 186 (1), 143–153.
- Hamill O.P., McBride D.W., Jr. 1996. The pharmacology of mechanogated membrane ion channels. Pharmacol. Rev. 48 (2), 231–252.
- Bae C., Sachs F., Gottlieb P.A. 2011. The mechanosensitive ion channel Piezo1 is inhibited by the peptide GsMTx4. Biochemistry. 50 (29), 6295–6300.
- Chalfie M., Sulston J. 1981. Developmental genetics of the mechanosensory neurons of Caenorhabditis elegans. Develop. Biol. 82 (2), 358–370.
- Arnadottir J., Chalfie M. 2010. Eukaryotic mechanosensitive channels. Ann. Rev. Biophys. 39, 111–137.
- Arnadottir J., O’Hagan R., Chen Y., Goodman M.B., Chalfie M. 2011. The DEG/ENaC protein MEC-10 regulates the transduction channel complex in Caenorhabditis elegans touch receptor neurons. J. Neurosci. 31 (35), 12695–12704.
- Geffeney S.L., Goodman M.B. 2012. How we feel: Ion channel partnerships that detect mechanical inputs and give rise to touch and pain perception. Neuron. 74 (4), 609–619.
- Adams C.M., Anderson M.G., Motto D.G., Price M.P., Johnson W.A., Welsh M.J. 1998. Ripped pocket and pickpocket, novel Drosophila DEG/ENaC subunits expressed in early development and in mechanosensory neurons. J. Cell Biol. 140 (1), 143–152.
- Ruthe H.J., Adler J. 1985. Fusion of bacterial spheroplasts by electric fields. Biochim. Biophys. Acta. 819 (1), 105–113.
- Sukharev S.I., Martinac B., Arshavsky V.Y., Kung C. 1993. Two types of mechanosensitive channels in the Escherichia coli cell envelope: Solubilization and functional reconstitution. Biophys. J. 65 (1), 177–183.
- Berrier C., Besnard M., Ajouz B., Coulombe A., Ghazi A. 1996. Multiple mechanosensitive ion channels from Escherichia coli, activated at different thresholds of applied pressure. J. Membr. Biol. 151 (2), 175–187.
- Sukharev S.I., Blount P., Martinac B., Blattner F.R., Kung C. 1994. A large-conductance mechanosensitive channel in E. coli encoded by mscL alone. Nature. 368 (6468), 265–268.
- Levina N., Totemeyer S., Stokes N.R., Louis P., Jones M.A., Booth I.R. 1999. Protection of Escherichia coli cells against extreme turgor by activation of MscS and MscL mechanosensitive channels: Identification of genes required for MscS activity. EMBO J. 18 (7), 1730–1737.
- Li Y., Moe P.C., Chandrasekaran S., Booth I.R., Blount P. 2002. Ionic regulation of MscK, a mechanosensitive channel from Escherichia coli. EMBO J. 21 (20), 5323–5330.
- Edwards M.D., Black S., Rasmussen T., Rasmussen A., Stokes N.R., Stephen T.L., Miller S., Booth I.R. 2012. Characterization of three novel mechanosensitive channel activities in Escherichia coli. Channels. 6(4), 272–281.
- Sukharev S. 2002. Purification of the small mechanosensitive channel of Escherichia coli (MscS): The subunit structure, conduction, and gating characteristics in liposomes. Biophys. J. 83 (1), 290–298.
- Steinbacher S., Bass R., Strop P., Rees D.C. 2007. Structures of the prokaryotic mechanosensitive channels MscL and MscS. Mechanosensitive Ion Channels, Part A. 58, 1–24.
- Balleza D., Gomez-Lagunas F. 2009. Conserved motifs in mechanosensitive channels MscL and MscS. Eur. Biophys. J. 38 (7), 1013–1027.
- Hamilton E.S., Schlegel A.M., Haswell E.S. 2015. United in diversity: Mechanosensitive ion channels in plants. Ann. Rev. Plant Biol. 66, 113–137.
- Qi Z., Kishigami A., Nakagawa Y., Iida H., Sokabe M. 2004. A mechanosensitive anion channel in Arabidopsis thaliana mesophyll cells. Plant Cell Physiol. 45 (11), 1704–1708.
- Ding J.P., Pickard B.G. 1993. Mechanosensory calcium-selective cation channels in epidermal cells. Plant J. 3 (1), 83–110. https://doi.org/10.1111/j.1365-313x.1993.tb00013.x
- Fujiu K., Nakayama Y., Iida H., Sokabe M., Yoshimura K. 2011. Mechanoreception in motile flagella of Chlamydomonas. Nature Cell Biol. 13 (5), 630–632.
- Procko C., Murthy S., Keenan W.T., Mousavi S.A.R., Dabi T., Coombs A., Procko E., Baird L., Patapoutian A., Chory J. 2021. Stretch-activated ion channels identified in the touch-sensitive structures of carnivorous Droseraceae plants. Elife. 10.
- Maathuis F.J.M. 2011. Vacuolar two-pore K+ channels act as vacuolar osmosensors. New Phytol. 191 (1), 84–91.
- Murthy S.E., Dubin A.E., Whitwam T., Jojoa-Cruz S., Cahalan S.M., Mousavi S.A.R., Ward A.B., Patapoutian A. 2018. OSCA/TMEM63 are an evolutionarily conserved family of mechanically activated ion channels. Elife. 7.
- Honore E., Patel A.J., Chemin J., Suchyna T., Sachs F. 2006. Desensitization of mechano-gated K2P channels. Proc. Natl. Acad. Sci. USA. 103 (18), 6859–6864.
- Honore E. 2007. The neuronal background K2P channels: Focus on TREK1. Nat. Rev. Neurosci. 8 (4), 251–261.
- Brohawn S.G., Su Z., MacKinnon R. 2014. Mechanosensitivity is mediated directly by the lipid membrane in TRAAK and TREK1 K+ channels. Proc. Natl. Acad. Sci. USA. 111 (9), 3614–3619.
- Brohawn S.G., del Marmol J., MacKinnon R. 2012. Crystal structure of the human K2P TRAAK, a lipid- and mechano-sensitive K+ ion channel. Science. 335 (6067), 436–441.
- Gees M., Owsianik G., Nilius B., Voets T. 2012. TRP channels. Comprehensive Physiol. 2 (1), 563–608.
- Zhou X.L., Batiza A.F., Loukin S.H., Palmer C.P., Kung C., Saimi Y. 2003. The transient receptor potential channel on the yeast vacuole is mechanosensitive. Proc. Natl. Acad. Sci. USA. 100 (12), 7105–7110.
- Ahmed T., Nisler C.R., Fluck E.C., 3rd, Walujkar S., Sotomayor M., Moiseenkova-Bell V.Y. 2022. Structure of the ancient TRPY1 channel from Saccharomyces cerevisiae reveals mechanisms of modulation by lipids and calcium. Structure. 30 (1), 139–155. e135.
- Loukin S., Su Z., Zhou X., Kung C. 2010. Forward genetic analysis reveals multiple gating mechanisms of TRPV4. J. Biol. Chem. 285 (26), 19884–19890.
- Jin P., Bulkley D., Guo Y., Zhang W., Guo Z., Huynh W., Wu S., Meltzer S., Cheng T., Jan L.Y. Jan Y.N., Cheng Y. 2017. Electron cryo-microscopy structure of the mechanotransduction channel NOMPC. Nature. 547 (7661), 118–122. https://doi.org/10.1038/nature22981
- Liang X., Madrid J., Gartner R., Verbavatz J.M., Schiklenk C., Wilsch-Brauninger M., Bogdanova A., Stenger F., Voigt A., Howard J. 2013. A NOMPC-dependent membrane-microtubule connector is a candidate for the gating spring in fly mechanoreceptors. Curr. Biol. 23 (9), 755–763.
- Wang Y., Guo Y., Li G., Liu C., Wang L., Zhang A., Yan Z., Song C. 2021. The push-to-open mechanism of the tethered mechanosensitive ion channel NompC. Elife. 10.
- Nauli S.M., Alenghat F.J., Luo Y., Williams E., Vassilev P., Li X., Elia A.E., Lu W., Brown E.M., Quinn S.J., Ingber D.E., Zhou J. 2003. Polycystins 1 and 2 mediate mechanosensation in the primary cilium of kidney cells. Nature Genetics. 33 (2), 129–137. https://doi.org/10.1038/ng1076
- Delmas P. 2004. The gating of polycystin signaling complex. Biol. Res. 37 (4), 681–691.
- Kunzelmann K. 2015. TMEM16, LRRC8A, bestrophin: chloride channels controlled by Ca2+ and cell volume. Trends Biochem. Sci. 40 (9), 535–543.
- Syeda R., Qiu Z., Dubin A.E., Murthy S.E., Florendo M.N., Mason D.E., Mathur J., Cahalan S.M., Peters E.C., Montal M., Patapoutian A. 2016. LRRC8 proteins form volume-regulated anion channels that sense ionic strength. Cell. 164 (3), 499–511. https://doi.org/10.1016/j.cell.2015.12.031
- Saotome K., Murthy S.E., Kefauver J.M., Whitwam T., Patapoutian A., Ward A.B. 2018. Structure of the mechanically activated ion channel Piezo1. Nature. 554 (7693), 481–486.
- Coste B., Mathur J., Schmidt M., Earley T.J., Ranade S., Petrus M.J., Dubin A.E., Patapoutian A. 2010. Piezo1 and Piezo2 are essential components of distinct mechanically activated cation channels. Science. 330 (6000), 55–60.
- Lewis A.H., Grandl J. 2015. Mechanical sensitivity of Piezo1 ion channels can be tuned by cellular membrane tension. Elife. 4.
- Cox C.D., Bae C., Ziegler L., Hartley S., Nikolova-Krstevski V., Rohde P.R., Ng C.A., Sachs F., Gottlieb P.A., Martinac B. 2016. Removal of the mechanoprotective influence of the cytoskeleton reveals PIEZO1 is gated by bilayer tension. Nature Comm. 7, 10366.
- Maneshi M.M., Ziegler L., Sachs F., Hua S.Z., Gottlieb P.A. 2018. Enantiomeric Abeta peptides inhibit the fluid shear stress response of PIEZO1. Sci. Rep. 8 (1), 14267.
- Guo Y.R., MacKinnon R. 2017. Structure-based membrane dome mechanism for Piezo mechanosensitivity. Elife. 6.
- Wang L., Zhou H., Zhang M., Liu W., Deng T., Zhao Q., Li Y., Lei J., Li X., Xiao B. 2019. Structure and mechanogating of the mammalian tactile channel PIEZO2. Nature. 573 (7773), 225–229.
- Lee W., Leddy H.A., Chen Y., Lee S.H., Zelenski N.A., McNulty A.L., Wu J., Beicker K.N., Coles J., Zauscher S., Grandl J., Sachs F., Guilak F., Liedtke W.B. 2014. Synergy between Piezo1 and Piezo2 channels confers high-strain mechanosensitivity to articular cartilage. Proc. Natl. Acad. Sci. USA. 111 (47), E5114–E5122. https://doi.org/10.1073/pnas.1414298111
- Zeng W.Z., Marshall K.L., Min S., Daou I., Chapleau M.W., Abboud F.M., Liberles S.D., Patapoutian A. 2018. PIEZOs mediate neuronal sensing of blood pressure and the baroreceptor reflex. Science. 362 (6413), 464–467.
- Gnanasambandam R., Ghatak C., Yasmann A., Nishizawa K., Sachs F., Ladokhin A.S., Sukharev S.I., Suchyna T.M. 2017. GsMTx4: Mechanism of inhibiting mechanosensitive ion channels. Biophys. J. 112 (1), 31–45.
- Xiao B. 2020. Levering mechanically activated piezo channels for potential pharmacological intervention. Ann. Rev. Pharmacol. Toxicol. 60, 195–218.
- Young M., Lewis A.H., Grandl J. 2022. Physics of mechanotransduction by Piezo ion channels. J. Gen. Physiol. 154 (7).
- Carattino M.D., Sheng S., Kleyman T.R. 2004. Epithelial Na+ channels are activated by laminar shear stress. J. Biol. Chem. 279(6), 4120–4126.
- Corey D.P., Hudspeth A.J. 1983. Kinetics of the receptor current in bullfrog saccular hair cells. J. Neurosci. 3 (5), 962–976.
- Markin V.S., Sachs F. 2004. Thermodynamics of mechanosensitivity. Phys. Biol. 1(1–2), 110–124.
- Hille B. 2001. Ion channels of excitable membranes. 3rd edn. Sunderland. Mass.: Sinauer, 2001.
- Sachs F. 2010. Stretch-activated ion channels: What are they? Physiol. 25(1), 50–56.
- Zheng W., Gracheva E.O., Bagriantsev S.N. 2019. A hydrophobic gate in the inner pore helix is the major determinant of inactivation in mechanosensitive Piezo channels. Elife. 8.
- Vollrath M.A., Kwan K.Y., Corey D.P. 2007. The micromachinery of mechanotransduction in hair cells. Ann. Rev. Neurosci. 30, 339–365.
- Markin V.S., Hudspeth A.J. 1995. Gating-spring models of mechanoelectrical transduction by hair cells of the internal ear. Ann. Rev. Biophys. Biomol. Struct. 24, 59–83.
- Cheung E.L., Corey D.P. 2006. Ca2+ changes the force sensitivity of the hair-cell transduction channel. Biophys. J. 90 (1), 124–139.
- Kachar B., Parakkal M., Kurc M., Zhao Y., Gillespie P.G. 2000. High-resolution structure of hair-cell tip links. Proc. Natl. Acad. Sci. USA. 97 (24), 13 336–13 341.
- Powers R.J., Kulason S., Atilgan E., Brownell W.E., Sun S.X., Barr-Gillespie P.G., Spector A.A. 2014. The local forces acting on the mechanotransduction channel in hair cell stereocilia. Biophys. J. 106(11), 2519–2528.
- Bialecka-Fornal M., Lee H.J., Deberg H.A., Gandhi C.S., Phillips R. 2012. Single-cell census of mechanosensitive channels in living bacteria. PLoS One. 7(3), e33077.
- Akitake B., Anishkin A., Sukharev S. 2005. The “dashpot” mechanism of stretch-dependent gating in MscS. J. Gen. Physiol. 125 (2), 143–154.
- Chang G., Spencer R.H., Lee A.T., Barclay M.T., Rees D.C. 1998. Structure of the MscL homolog from Mycobacterium tuberculosis: A gated mechanosensitive ion channel. Science. 282 (5397), 2220–2226.
- Reddy B., Bavi N., Lu A., Park Y., Perozo E. 2019. Molecular basis of force-from-lipids gating in the mechanosensitive channel MscS. Elife. 8.
- Zhang Y., Daday C., Gu R.X., Cox C.D., Martinac B., de Groot B.L., Walz T. 2021. Visualization of the mechanosensitive ion channel MscS under membrane tension. Nature. 590 (7846), 509–514.
- Chiang C.S., Anishkin A., Sukharev S. 2004. Gating of the large mechanosensitive channel in situ: estimation of the spatial scale of the transition from channel population responses. Biophys. J. 86 (5), 2846–2861.
- Akitake B., Anishkin A., Liu N., Sukharev S. 2007. Straightening and sequential buckling of the pore-lining helices define the gating cycle of MscS. Nat. Struct. Mol. Biol. 14 (12), 1141–1149.
- Belyy V., Anishkin A., Kamaraju K., Liu N., Sukharev S. 2010. The tension-transmitting 'clutch' in the mechanosensitive channel MscS. Nat. Struct. Mol. Biol. 17 (4), 451–458.
- Vasquez V., Sotomayor M., Cordero-Morales J., Schulten K., Perozo E. 2008. A structural mechanism for MscS gating in lipid bilayers. Science. 321 (5893), 1210–1214.
- Corry B., Hurst A.C., Pal P., Nomura T., Rigby P., Martinac B. 2010. An improved open-channel structure of MscL determined from FRET confocal microscopy and simulation. J. Gen. Physiol. 136 (4), 483–494.
- Rajeshwar T.R., Anishkin A., Sukharev S., Vanegas J.M. 2021. Mechanical activation of MscL revealed by a locally distributed tension molecular dynamics approach. Biophys. J. 120 (2), 232–242.
- Sukharev S.I., Sigurdson W.J., Kung C., Sachs F. 1999. Energetic and spatial parameters for gating of the bacterial large conductance mechanosensitive channel, MscL. J. Gen. Physiol. 113 (4), 525–540.
- Nomura T., Cranfield C.G., Deplazes E., Owen D.M., Macmillan A., Battle A.R., Constantine M., Sokabe M., Martinac B. 2012. Differential effects of lipids and lyso-lipids on the mechanosensitivity of the mechanosensitive channels MscL and MscS. Proc. Natl. Acad. Sci. USA. 109 (22), 8770–8775.
- Betanzos M., Chiang C.S., Guy H.R., Sukharev S. 2002. A large iris-like expansion of a mechanosensitive channel protein induced by membrane tension. Nat. Struct. Biol. 9 (9), 704–710.
- Perozo E., Cortes D.M., Sompornpisut P., Kloda A., Martinac B. 2002. Open channel structure of MscL and the gating mechanism of mechanosensitive channels. Nature. 418 (6901), 942–948.
- Anishkin A., Chiang C.S., Sukharev S. 2005. Gain-of-function mutations reveal expanded intermediate states and a sequential action of two gates in MscL. J. Gen. Physiol. 125 (2), 155–170.
- Sukharev S.I., Sigurdson W.J., Kung C., Sachs F. 1999. Energetic and spatial parameters for gating of the bacterial large conductance mechanosensitive channel, MscL. J. Gen. Physiol. 113 (4), 525–540.
- Gullingsrud J., Schulten K. 2004. Lipid bilayer pressure profiles and mechanosensitive channel gating. Biophys. J. 86 (6), 3496–3509.
- Perozo E., Kloda A., Cortes D.M., Martinac B. 2002. Physical principles underlying the transduction of bilayer deformation forces during mechanosensitive channel gating. Nat. Struct. Biol. 9 (9), 696–703.
- Belyy V., Kamaraju K., Akitake B., Anishkin A., Sukharev S. 2010. Adaptive behavior of bacterial mechanosensitive channels is coupled to membrane mechanics. J. Gen. Physiol. 135 (6), 641–652.
- Boer M., Anishkin A., Sukharev S. 2011. Adaptive MscS gating in the osmotic permeability response in E. coli: The question of time. Biochemistry. 50 (19), 4087–4096.
- Kamaraju K., Belyy V., Rowe I., Anishkin A., Sukharev S. 2011. The pathway and spatial scale for MscS inactivation. J. Gen. Physiol. 138 (1), 49–57.
- Rowe I., Anishkin A., Kamaraju K., Yoshimura K., Sukharev S. 2014. The cytoplasmic cage domain of the mechanosensitive channel MscS is a sensor of macromolecular crowding. J. Gen. Physiol. 143 (5), 543–557.
- Anishkin A., Akitake B., Sukharev S. 2008. Characterization of the resting MscS: Modeling and analysis of the closed bacterial mechanosensitive channel of small conductance. Biophys. J. 94 (4), 1252–1266.
- Wang W., Black S.S., Edwards M.D., Miller S., Morrison E.L., Bartlett W., Dong C., Naismith J.H., Booth I.R. 2008. The structure of an open form of an E. coli mechanosensitive channel at 3.45 A resolution. Science. 321 (5893), 1179–1183.
- Shi Z., Graber Z.T., Baumgart T., Stone H.A., Cohen A.E. 2018. Cell membranes resist flow. Cell. 175 (7), 1769–1779 e1713.
- Ermakov Y.A., Kamaraju K., Sengupta K., Sukharev S. 2010. Gadolinium ions block mechanosensitive channels by altering the packing and lateral pressure of anionic lipids. Biophys. J. 98 (6), 1018–1027.
- Kirschner M., Gerhart J. 1998. Evolvability. Proc. Natl. Acad. Sci. USA. 95 (15), 8420–8427.
Дополнительные файлы












