Electron Transport in Chloroplast Membranes of Shade-Tolerant and Light-Loving Tradescantia Species
- Authors: Suslichenko I.S.1, Benkov M.A.1, Kovalishina D.А.1, Petrova M.O.1, Trubitsin B.V.1, Tikhonov A.N.1
-
Affiliations:
- Lomonosov Moscow State University, Faculty of Physics
- Issue: Vol 40, No 2 (2023)
- Pages: 92-104
- Section: Articles
- URL: https://ogarev-online.ru/0233-4755/article/view/135011
- DOI: https://doi.org/10.31857/S023347552302007X
- EDN: https://elibrary.ru/KWQRNW
- ID: 135011
Cite item
Full Text
Abstract
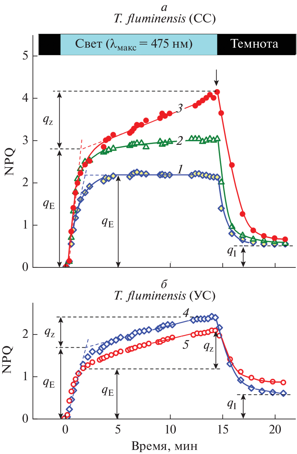
In this work we investigated the electron transport processes in chloroplasts of two contrasting species of Tradescantia, the shade-tolerant species T. fluminenesis and the light-loving species T. sillamontana, grown under moderate or strong light conditions. Plants were acclimated to a moderate or high intensity of photosynthetically active radiation. Photochemical activity of Photosystem 2 (PS2) was assayed by measuring chlorophyll a (Chl a) fluorescence, using the OJIP test, and by monitoring a slow induction of Chl a fluorescence (SIF) in Tradescantia leaves in vivo and in situ. The coefficient of non-photochemical quenching (NPQ) of Chl a fluorescence was determined from the SIF kinetics. Photochemical activity of photosystem 1 (PS1) was determined by electron paramagnetic resonance from the light-induced redox transients of P700, photoreaction center of PS1. Shade-tolerant (T. fluminenesis) and light-loving (T. sillamontana) species showed clear differences in their photosynthetic characteristics depending on long-term (up to 5 months) acclimatization to moderate (50–125 µmol photons m–2 s–1) or strong (850–1000 µmol photons m–2 s–1) irradiation with photosynthetically active white light. In the leaves of light-loving species T. sillamontana, the photosynthetic characteristics changed only slightly upon variations of light intensity. Leaves of the shade-tolerant species T. fluminenesis exhibited a pronounced sensitivity to changes in light intensity during acclimatization, showing a reversible increase in NPQ accompanied by an attenuation of PS2 photochemistry. After the reduction of light intensity, photochemical activity of PS2 recovered.
About the authors
I. S. Suslichenko
Lomonosov Moscow State University, Faculty of Physics
Email: an_tikhonov@mail.ru
Russia, 119991, Moscow
M. A. Benkov
Lomonosov Moscow State University, Faculty of Physics
Email: an_tikhonov@mail.ru
Russia, 119991, Moscow
D. А. Kovalishina
Lomonosov Moscow State University, Faculty of Physics
Email: an_tikhonov@mail.ru
Russia, 119991, Moscow
M. O. Petrova
Lomonosov Moscow State University, Faculty of Physics
Email: an_tikhonov@mail.ru
Russia, 119991, Moscow
B. V. Trubitsin
Lomonosov Moscow State University, Faculty of Physics
Email: an_tikhonov@mail.ru
Russia, 119991, Moscow
A. N. Tikhonov
Lomonosov Moscow State University, Faculty of Physics
Author for correspondence.
Email: an_tikhonov@mail.ru
Russia, 119991, Moscow
References
- Haehnel W. 1984. Photosynthetic electron transport in higher plants. Annu. Rev. Plant Physiol. Plant Mol. Biol. 35, 659–693.
- Nelson N., Yocum C.F. 2006. Structure and function of photosystems I and II. Annu. Rev. Plant. Biol. 57, 521–565.
- Mamedov M., Govindjee, Nadtochenko V., Semenov A. 2015. Primary electron transfer processes in photosynthetic reaction centers from oxygenic organisms. Photosynth. Res. 125, 51–63.
- Tikhonov A.N. 2014. The cytochrome b6 f complex at the crossroad of photosynthetic electron transport pathways. Plant Physiol. Biochem. 81, 163–183.
- Malone L.A., Proctor M.S., Hitchcock A., Hunter C.N., Johnson M.P. 2021.Cytochrome b6 f – Orchestrator of photosynthetic electron transfer. Biochim. Biophis. Acta. 1862, 148380. https://doi.org/10.1016/j.bbabio.2021.148380
- Höhner R., Pribil M., Herbstová M., Lopez L.S., Kunz H.-H., Li M., Wood M., Svoboda V., Puthiyaveetil S., Leister D., Kirchhoff H. 2020. Plastocyanin is the long-range electron carrier between photosystem II and photosystem I in plants. Proc. Natl. Acad. Sci. USA. 117, 15 354–15 362.
- Boyer P.D. 1997. The ATP synthase – a splendid molecular machine, Annu. Rev. Biochem. 66, 717–749.
- Junge W., Nelson N. 2015. ATP synthase. Annu. Rev. Biochem. 83, 631–657.
- Романовский Ю.М., Тихонов А.Н. 2010. Молекулярные преобразователи энергии живой клетки. Протонная АТР-синтаза – вращающийся молекулярный мотор. Успехи физических наук, 180, 931–956.
- Эдвардс Дж., Уокер Д. 1986. Фотосинтез С3 и С4 растений: механизмы и регуляция. М.: Мир. 598 с.
- Allakhverdiev S.I., Murata N. 2004. Environmental stress inhibits the synthesis de novo of proteins involved in the photodamage-repair cycle of photosystem II in Synechocystis sp. PCC 6803. Biochim. Biophis. Acta. 1657, 23–32.
- Järvi S., Suorsa M., Aro E.-M. 2015. Photosystem II repair in plant chloroplasts — Regulation, assisting proteins and shared components with photosystem II biogenesis. Biochim. Biophys. Acta. 1847, 900–909.
- Kono M., Terashima I. 2014. Long-term and short-term responses of the photosynthetic electron transport to fluctuating light. J. Photochem. Photobiol. B. 137, 89–99.
- Berry J., Björkman O. 1980. Photosynthetic response and adaptation to temperature in higher plants. Annu. Rev. Plant Physiol. 31, 491–543.
- Allakhverdiev S.I., Kreslavski V.D., Klimov V.V., Los D.A., Carpentier R., Mohanty P. 2008. Heat stress: An overview of molecular responses in photosynthesis. Photosynth. Res. 98, 541–550.
- Allen D.J., Ort D.R. 2001. Impact of chilling temperatures on photosynthesis in warm climate plants. Trends Plant Sci. 6, 36–42.
- Tikhonov A.N., Vershubskii A.V. 2020. Temperature‑dependent regulation of electron transport and ATP synthesis in chloroplasts in vitro and in silico. Photosynth. Res. 146, 299–329.
- Michelet L., Zaffagnini M., Morisse S., Sparla F., Pérez-Pérez M.E., Francia F., Danon A., Marchand C.H., Fermani S., Trost P., Lemaire S.D. 2013. Redox regulation of the Calvin-Benson cycle: Something old, something new. Front. Plant Sci. 4, 470. https://doi.org/10.3389/fpls.2013.00470
- Balsera M., Schumann P., Buchanan B.B. 2016. Redox regulation in chloroplasts. In: Chloroplasts. Current research and future trends. Ed. Kirchhoff H. Norfolk, UK: Caister Academic Press, p. 187–207.
- Rumberg B., Siggel U. 1969. pH changes in the inner phase of the thylakoids during photosynthesis. Naturwissenschaften. 56, 130–132.
- Kramer D.M., Sacksteder C.A., Cruz J.A. 1999. How acidic is the lumen? Photosynth. Res. 60, 151–163.
- Tikhonov A.N. 2013. pH-Dependent regulation of electron transport and ATP synthesis in chloroplasts. Photosynth. Res. 116, 511–534.
- Schansker G. 2022. Determining photosynthetic control, a probe for the balance between electron transport and Calvin–Benson cycle activity, with the DUA-L-KLAS-NIR. Photosynth. Res. 153, 191–204.
- Lemeille S., Rochaix J.-D. 2010. State transitions at the crossroad of thylakoid signalling pathways. Photosynth. Res. 106, 33–46.
- Lichtenthaler H.K., Babani F. 2004. Light adaptation and senescence of the photosynthetic apparatus. Changes in pigment composition, chlorophyll fluorescence parameters and photosynthetic activity. In: Chlorophyll a Fluorescence. Springer, p. 713–736.
- Lichtenthaler H.K., Babani F., Navrátil M., Buschmann C. 2013. Chlorophyll fluorescence kinetics, photosynthetic activity, and pigment composition of blue-shade and half-shade leaves as compared to sun and shade leaves of different trees. Photosynth. Res. 117, 355–366.
- Kirchhoff H. 2013. Architectural switches in plant thylakoid membranes. Photosynth. Res. 116, 481–487.
- Tikkanen M., Jarvi S., Aro E.-M. 2015. Light acclimation involves dynamic re-organization of the pigment–protein megacomplexes in non-appressed thylakoid domains. The Plant J. 84, 360–373.
- Puthiyaveetil S., Kirchhoff H., Höhner R. 2016. Structural and functional dynamics of the thylakoid membrane system. In: Chloroplasts. Current research and future trends. Ed. Kirchhoff H. Norfolk, UK: Caister Academic Press, p. 59–87.
- Demmig-Adams B. 1998. Survey of thermal energy dissipation and pigment composition in sun and shade leaves. Plant Cell Physiol. 39, 474–482.
- Samoilova O.P., Ptushenko V.V., Kuvykin I.V., Kiselev S.A., Ptushenko O.S., Tikhonov A.N. 2011. Effects of light environment on the induction of chlorophyll fluorescence in leaves: A comparative study of Tradescantia species of different ecotypes. BioSystems. 105, 41–48.
- Ptushenko V.V., Ptushenko E.A., Samoilova O.P., Tikhonov A.N. 2013. Chlorophyll fluorescence in the leaves of Tradescantia species of different ecological groups: Induction events at different intensities of actinic light. Biosystems. 114, 85–97.
- Mishanin V.I., Trubitsin B.V., Benkov M.A., Minin A.A., Tikhonov A.N. 2016. Light acclimation of shade-tolerant and light-resistant Tradescantia species: Induction of chlorophyll a fluorescence and P700 photooxidation, expression of PsbS and Lhcb1 proteins. Photosynth. Res. 130, 275–291.
- Mishanin V.I., Trubitsin B.V., Patsaeva S.V., Ptushenko V.V., Solovchenko A.E., Tikhonov A.N. 2017. Acclimation of shade-tolerant and light-resistant Tradescantia species to growth light: Chlorophyll a fluorescence, electron transport, and xanthophyll content. Photosynth. Res. 133, 87–102.
- Ptushenko V.V., Zhigalova T.V., Avercheva O.V., Tikhonov A.N. 2019. Three phases of energy-dependent induction of and Chl a fluorescence in Tradescantia fluminensis leaves. Photosynth. Res. 139, 509–522.
- Benkov M.A., Yatsenko A.M., Tikhonov A.N. 2019. Light acclimation of shade-tolerant and sun-resistant Tradescantia species: Photochemical activity of PSII and its sensitivity to heat treatment. Photosynth. Res. 139, 203–214.
- Suslichenko I.S., Tikhonov A.N. 2019. Photo-reducible plastoquinone pools in chloroplasts of Tradescantia plants acclimated to high and low light. FEBS Lett. 593, 788–798.
- Randall R.P. 2012. A global compendium of weeds. 2nd edn. Department of Agriculture and Food, Western Australia. 1125 p.
- Лютова М.И., Тихонов А.Н. 1988. Сопоставление температурной зависимости подвижности липидо-растворимой спиновой метки в тилакоидных мембранах хлоропластов дыни и огурца. Биофизика. 33, 460–464.
- Anderson J.M., Chow W.S., Park Y., Franklin L.A., Robinson S.P.-A., van Hasselt P.R. 2001. Response of Tradescantia albifora to growth irradiance: Change versus changeability. Photosynth. Res. 67, 103–112.
- Gounaris K., Brain A.P.R., Quinn P.J., Williams W.P. 1984. Structural reorganization of chloroplast thylakoid membranes in response to heat-stress. Biochim. Biophys. Acta. 766, 198–208.
- Li Z., Wakao S., Fischer B.B., Niyogi K.K. 2009. Sensing and responding to excess light. Annu. Rev. Plant B-iol. 60, 239–260.
- Murata N., Takahashi S., Nishiyama Y., Allakhverdiev S.I. 2007. Photoinhibition of photosystem II under environmental stress. Biochim. Biophis. Acta. 1767, 414– 421.
- Tikhonov A.N. 2020. Structure-function relationships in chloroplasts: EPR study of temperature-dependent regulation of photosynthesis, an overview. In Photosynthesis: molecular approaches to solar energy conversion. Eds. Shen J.R., Satoh K., Allakhverdiev S.I. p. 343–373, https://doi.org/10.1007/978-3-030-67407-6_13
- Lazár D. 1999. Chlorophyll a fluorescence induction. Biochim. Biophys. Acta. 1412, 1–28.
- Baker N.R. 2008. Chlorophyll fluorescence: a probe of photosynthesis in vivo. Annu. Rev. Plant Biol. 59, 89–113.
- Adams W.W. III, Demmig-Adams B. 2004. Chlorophyll fluorescence as a tool to monitor plant response to the environment. In: Chlorophyll a fuorescence: A signature of photosynthesis. Advances in photosynthesis and respiration. Eds. Papageorgiou G.C., Govindjee G. Springer, Dordrecht, p. 583–604.
- Kalaji H.M., Schansker G., Ladle R.J., Goltsev V., Bosa K., Allakhverdiev S.I., Brestic M., Bussotti F., Calatayud A., Dąbrowski P., Elsheery N.I., Ferroni L., Guidi L., Hogewoning S.W, Jajoo A., Misra A.N., Nebauer S.G., Pancaldi S., Penella C., Poli D., Pollastrini M., Romanowska-Duda Z.B., Rutkowska B., Serôdio J., Suresh K., Szulc W., Tambussi E., Yanniccari M., Zivcak M. 2014. Frequently asked questions about in vivo chlorophyll fluorescence: Practical issues. Photosynth. Res. 122, 121–158.
- Niyogi K.K., Truong T.B. 2013. Evolution of flexible non-photochemical quenching mechanisms that regulate light harvesting in oxygenic photosynthesis. Curr. Opin. Plant Biol. 16, 307–314.
- Nilkens M., Kress E., Lambrev P., Miloslavina Y., Müller M., Holzwarth A.R., Jahns P. 2010. Identification of a slowly inducible zeaxanthin-dependent component of non-photochemical quenching of chlorophyll fluorescence generated under steady-state conditions in Arabidopsis. Biochim. Biophys. Acta. 1797, 466–475.
- Jahns P., Holzwarth A.R. 2012. The role of the xanthophyll cycle and of lutein in photoprotection of photosystem II. Biochim. Biophys. Acta. 1817, 182–193.
- Ruban A.V. 2016. Nonphotochemical chlorophyll fluorescence quenching: mechanism and effectiveness in protecting plants from photodamage, Plant Physiol. 170, 1903–1916.
- Murchie E.H., Ruban A.V. 2020. Dynamic non-photochemical quenching in plants: From molecular mechanism to productivity. Plant J. 101, 885-896.
- Kuvykin I.V., Ptushenko V.V., Vershoubsky A.V., Tikhonov A.N. 2011. Regulation of electron transport in C3 plant chloroplasts in situ and in silico. Short-term effects of atmospheric CO2 and O2. Biochim. Biophys. Acta. 1807, 336–347.
- Trubitsin B.V., Vershubskii A.V., Priklonskii V.I., Tikhonov A.N. 2015. Short-term regulation and alternative pathways of photosynthetic electron transport in Hibiscus rosa-sinensis leaves. J. Photochem. Photobiol. B. 152, 400–415.
- Stirbet A. 2012. Chlorophyll a fluorescence induction: a personal perspective of the thermal phase, the J–I–P rise. Photosynth. Res. 113, 15–61.
- Stirbet A., Govindjee G. 2011. On the relation between the Kautsky effect (chlorophyll a fluorescence induction) and photosystem II: Basics and applications of the OJIP fluorescence transient. J. Photoch. Photobiol. B. 104, 236–257.
- Schansker G., Tóth S.Z., Strasser R.J. 2006. Dark recovery of the Chl a fluorescence transient (OJIP) after light adaptation: The qT-component of non-photochemical quenching is related to an activated photosystem I acceptor side. Biochim. Biophys. Acta. 1757, 787–797.
- Jallet D., Cantrell M., Peers G. 2016. New players for photoprotection and light acclimation. In: Chloroplasts. Current research and future trends. Ed. Kirchhoff H. Norfolk, UK: Caister Academic Press, p. 133–159.
- Tikkanen M., Mekala N.R., Aro E.-M. 2014. Photosystem II photoinhibition-repair cycle protects Photosystem I from irreversible damage. Biochim. Biophis. Acta. 1837, 210–215.
- Strand D.D., Fisher N., Kramer D.M. 2016. Distinct energetics and regulatory functions of the two major cyclic electron flow pathways in chloroplasts. In: Chloroplasts: Current Research and Future Trends. Ed. Kirchhoff H. Norfolk, UK: Caister Academic Press, p. 89–100.
- Stiehl H.H., Witt H.T. 1969. Quantitative treatment of the function of plastoquinone in photosynthesis. Z. Naturforsch. 24b, 1588–1598.
- Рыжиков С.Б., Тихонов А.Н. 1988. Регуляция скорости переноса электрона в фотосинтетических мембранах высших растений. Биофизика. 33, 642–646.
- Suslichenko I.S., Trubitsin B.V., Vershubskii A.V., Tikhonov A.N. 2022. The noninvasive monitoring of the redox status of photosynthetic electron transport chains in Hibiscus rosa-sinensis and Tradescantia leaves. Plant Physiol. Biochem. 185, 233–243.
- Kalmatskaya O.A., Trubitsin B.V., Suslichenko I.S., Karavaev V.A., Tikhonov A.N. 2020. Electron transport in Tradescantia leaves acclimated to high and low light: Thermoluminescence, PAM‑fluorometry, and EPR studies. Photosynth. Res. 146, 123–141.
- Eberhard S., Finazzi G., Wollman F.-A. 2008. The dynamics of photosynthesis. Annu. Rev. Genet. 42, 463–515.
- Foyer C.H., Neukermans J., Queval G., Noctor G., Harbinson J. 2012. Photosynthetic control of electron transport and the regulation of gene expression. J. Exp. Bot. 63, 1637–1661.
- Tikhonov A.N. 2015. Induction events and short-term regulation of electron transport in chloroplasts: An overview. Photosynth. Res. 125, 65–94.
Supplementary files









