Образование ионных сеток в расплавленных солевых смесях. Компьютерный эксперимент
- Авторы: Галашев А.Е.1,2
-
Учреждения:
- Институт высокотемпературной электрохимии Уральского отделения Российской академии наук
- Уральский Федеральный Университет имени первого президента России Б.Н. Ельцина
- Выпуск: Том 44, № 1 (2025)
- Страницы: 3-15
- Раздел: Элементарные физико-химические процессы
- URL: https://ogarev-online.ru/0207-401X/article/view/286850
- DOI: https://doi.org/10.31857/S0207401X25010017
- ID: 286850
Цитировать
Полный текст
Аннотация
Расплавленные соли используются как теплопроводящие среды в жидко-солевых реакторах и в солнечных установках. Знание теплопроводности расплавленной соли необходимо для безопасной эксплуатации этих агрегатов. Вычислительные методы являются альтернативой труднодоступному экспериментальному пути определения теплопроводности. В настоящей работе методом равновесной молекулярной динамики рассчитана температурная зависимость теплопроводности расплавленной соли FLiNaK, а также этого солевого расплава с растворенным в нем NdF3. Температурное поведение теплопроводности, а также ее изменение после растворения NdF3 во FLiNaK объясняется на основе определения динамической сети ионных связей, существующей в модели солевых расплавов. Установлены сети ионных связей с верхним пределом межионного расстояния, равным 0.2 нм для обоих типов солевых расплавов, и с пределом в 0.27 нм для связанной сети Nd–F в расплаве, содержащем NdF3. Эти сети связей со временем появляются в разных частях системы и могут полностью исчезать. Общая численность узлов динамических сетей, определенная за время корреляции тепловых потоков, имеет влияние на значение теплопроводности моделируемой системы. Новый метод интерпретации температурного поведения теплопроводности расплавленной соли в компьютерной модели может быть использован для прогнозирования процесса растворения в солевых расплавах фторидов различных лантаноидов и актиноидов.
Ключевые слова
Полный текст
1. ВВЕДЕНИЕ
Интерес к расплавленным фторидным солям во многом продиктован их использованием в жидкосолевых реакторах (ЖСР) [1, 2]. Причем в зависимости от типа реактора жидкая фторидная соль может выступать как в роли теплоносителя, так и одновременно быть растворителем ядерного топлива. Такое применение фторидных солей связано с их стабильностью при облучении, минимальным “паразитным” поглощением нейтронов и относительно низкой температурой плавления. Высокотемпературная расплавленная соль действует как аккумулятор тепла и используется в качестве теплоносителя на солнечных тепловых электростанциях, дающих бесперебойное электроснабжение в часы пик [3]. За счет высокой активности фтора низкомолекулярные фторполимеры при пиролитической переработке способны формировать новые аналоги [4].
При переработке отработанного ядерного топлива (ОЯТ) ставится цель извлечь и отделить друг от друга все полезные элементы, в том числе редкоземельные, а также минимизировать радиоактивные отходы. Редкоземельные элементы практически значимы. Они используются при создании волоконной оптики, электронно-лучевых трубок и жидкокристаллических дисплеев [5]. Редкоземельные элементы имеют свойства, схожие со свойствами актиноидов. Редкоземельный элемент неодим (Nd) входит в состав ОЯТ. Элемент Nd нерадиоактивен, он может служить в качестве имитатора актиноида в модельных экспериментах по переработке ядерного топлива.
Расплавленные соли представляют собой небезопасную коррозионную среду. Этим продиктована необходимость знания их теплофизических свойств, ключевым среди которых является теплопроводность [6, 7]. Погрешность определения экспериментальных данных по теплопроводности высока, а точность расчетных данных подвергается сомнению [8, 9]. Согласно традиционным представлениям, теплопроводность должна быть обратно пропорциональна расстоянию между атомами [10]. Фторидные расплавленные соли имеют положительный коэффициент теплового расширения [11]. С ростом температуры межатомные расстояния во фторидном солевом расплаве увеличиваются. Поэтому его теплопроводность должна уменьшаться. Однако многие экспериментальные данные указывают на увеличение теплопроводности этих систем с ростом температуры [12, 13].
Есть мнение, что нестандартное поведение теплопроводности при росте температуры системы связано с пренебрежением вкладов, обусловленных излучением и конвекцией. Это подкрепляется данными для однокомпонентных хлоридных солей, полученными методом вынужденного рэлеевского рассеяния [14]. Данные рассеяния демонстрируют отрицательный температурный ход теплопроводности соли. Однако тот же самый метод, примененный к фторидной соли (FLiNaK), указывает на небольшой, но слегка положительный температурный ход [15]. Такие исследования были выполнены для расплава соли FLiNaK эвтектического состава: LiF/NaF/KF в соотношении 46.5/11.5/42 мольн.%. Измерения проводятся на слишком коротких временных интервалах (мкс) и расстояниях (мкм), чтобы конвекция могла играть роль в теплопередаче. Радиационный вклад при этом методе измерения теплопроводности также невелик. Таким образом, до сих пор явлению увеличения теплопроводности фторидного солевого расплава с ростом температуры не было дано сколько-нибудь разумного объяснения.
Термин “фонон” или квант энергии упругих колебаний среды до определенного времени трактовался как согласованное колебательное движение атомов твердого тела. Однако постепенно этот термин был распространен на жидкое состояние. В простой жидкости коллективные возбуждения акустического типа с короткими волнами были обнаружены в жидком рубидии [16]. Они появляются из-за вязкоупругой реакции жидкости. В многокомпонентных жидкостях, содержащих заряды обоих знаков, экспериментально обнаружены коллективные возбуждения как акустического, так и оптического типа [17]. Появление последних может быть вызвано колебательным процессом взаимной диффузии ионов.
Можно привести некоторые экспериментальные и теоретические факты, подтверждающие существование фононов в расплавах галогенидов щелочных металлов. Исследование фононной динамики расплавленного NaI методом неупругого рентгеновского рассеяния показало возможность распространения быстрой звуковой моды, примерно на 45% превышающей скорость распространения звука в ультразвуковом диапазоне [18]. Оптические фононоподобные возбуждения были найдены расчетным путем в расплавленном NaCl [19]. Авторы полагают, что подобные возбуждения могут быть связаны с быстрыми флуктуациями концентрации массы (заряда в NaCl). Наличие взаимной зависимости у источников волн приводит к совместной генерации волн различной природы [20].
Цель настоящей работы – разработка метода предсказания поведения температурного поведения теплопроводности чистого расплавленного FLiNaK, а также этой солевой смеси с растворенным в ней трифторидом неодима (NdF3), мольная концентрация которого составляла 15 мольн.%.
2. КОМПЬЮТЕРНАЯ МОДЕЛЬ
Молекулярно-динамическое (МД) моделирование выполнялось с использованием модели расплавленной солевой смеси FLiNaK, содержащей 20000 частиц. Состав солевой смеси LiF–NaF–KF определялся как 46.5/11.5/42 мольн.%, т.е. соответствовал эвтектическому составу FLiNaK. Таким образом, модель состояла из 9300 ионов компонента LiF, 2300 ионов компонента NaF и 8400 ионов компонента KF. Интегрирование уравнений движения выполнялось с временным шагом 0.1 фс. В расчетах были задействованы термостат и баростат Нозе–Гувера.
Взаимодействие между ионами в расплавленной солевой смеси FLiNaK определялось с использованием потенциала Борна–Хаггинса–Майера [21]. Это означает, что расплавленный FLiNaK моделировался как система точечных зарядов в среде с единичной диэлектрической проницаемостью, т.е. эффекты поляризуемости не учитывались. Основой представления потенциала является модель твердой сферы Борна. Полная энергия, описывающая взаимодействие между ионами в форме Фуми–Този [22], представляется в виде
Вклад , описывающий короткодействующее отталкивание, характеризует “перекрывающиеся” силы, возникающие между ионами. Форму отталкивающего взаимодействия предложили Хаггинс и Майер [21]:
Здесь параметр A для ионов, входящих в расплав FLiNaK, определялся по параметрам Полинга [23], а для описания взаимодействия неодима с FLiNaK значение A было установлено путем квантовомеханического расчета [24]. Параметры i и j определяются как “базовые радиусы” для ионов i и j; – “параметр жесткости”, характеризующий конкретную соль.
Дисперсионные силы типа Ван-дер-Ваальса записываются как
,
где Cij и Dij – коэффициенты соответственно диполь-дипольной и диполь-квадрупольной дисперсии, полученные Майером из квантовомеханических расчетов на основе экспериментальных данных по поглощению ультрафиолета; было показано, что взаимодействия более высокого порядка пренебрежимо малы [25].
Последний вклад определяется парным кулоновским взаимодействием:
,
где qi и qj – заряды ионов.
Параметры потенциала Борна–Хаггинса–Мейера для компонентов расплавленной соли FLiNaK показаны в табл. 1 [26]. Параметры взаимодействия ионов расплава FLiNaK с добавкой NdF3 определялись в отдельных расчетах с применением теории функционала плотности (DFT) [24]. Эти данные приведены в табл. 2. Дисперсионное взаимодействие в этом случае отсутствовало, т.е. полагалось, что Cij = 0 и Dij = 0.
Таблица 1. Параметры потенциала Борна–Хаггинса–Мейера для компонентов расплавленной соли FLiNaK [26]
Ионная пара | A, эВ | , Å | , Å | Cij, эВ · Å6 | Dij, эВ · Å8 |
F-–F- | 0.15795 | 2.358 | 0.330 | 10.31 | 12.26 |
F-–Li+ | 0.29007 | 1.995 | 0.299 | 0.449 | 0.374 |
F-–Na+ | 0.21096 | 2.349 | 0.330 | 2.8 | 2.37 |
F-–K+ | 0.21096 | 2.642 | 0.338 | 12.17 | 13.107 |
Li+–Li+ | 0.42192 | 1.632 | 0.299 | 0.0455 | 0.0187 |
Li+–Na+ | 0.29007 | 1.986 | 0.3145 | 0.54 | 0.25885 |
Li+–K+ | 0.29007 | 2.279 | 0.2855 | 7.6 | 7.49 |
Na+–Na+ | 0.2637 | 2.340 | 0.330 | 1.04 | 0.499 |
Na+–K+ | 0.2637 | 2.633 | 0.334 | 8.1 | 7.7345 |
K+–K+ | 0.2637 | 2.926 | 0.338 | 15.16 | 14.97 |
Таблица 2. Параметры взаимодействия Nd3+ с компонентами расплавленной соли FLiNaK
Ионная пара | A, эВ | ρ, Å | σ, Å |
Nd3+ – Nd3+ | 0.723 | 0.117 | 1.96 |
Nd3+ – F– | 1.634 | 0.3328 | 2.31 |
Nd3+ – Li+ | 0.012 | 0.110 | 1.74 |
Nd3+ – Na+ | 0.028 | 0.121 | 2.00 |
Nd3+ – K+ | 0.032 | 0.146 | 2.36 |
При использовании периодических граничных условий (ПГУ) кулоновские взаимодействия между ионами рассчитывалось с использованием метода PPPM (Particle-Particle Particle-Mesh) [27]. Данные, полученные в МД-расчетах, в которых используются ПГУ, могут быть распространены на случай ограничения основной МД ячейки атомно гладкими металлическими стенками, на которых энергетическая стабильность осажденного атома не зависит от места адсорбции [28]. Как и при выполнении работы [24], моделирование включало два этапа. Сначала осуществлялось плавление кристаллов LiF, NaF, KaF, NdF3 в NVT-ансамбле. При этом система перегревалась до 3000 К, и в течение 0.5 нс было достигнуто хорошее перемешивание в равновесном расплаве. На втором этапе (в условиях ансамблей NPT и NVE) осуществлялись доведение системы до экспериментального значения плотности, геометрическая оптимизация, релаксация и расчет физико-химических свойств. По прошествии 2.5 нс, когда система достигала равновесия, переходили к расчету теплопроводности (λ). На рис. 1 показана система FLiNaK + 15 мольн.% NdF до плавления (слева) и по окончании получения равновесного расплава при T = 1020 K (справа).
Рис. 1. Общий вид системы FLiNaK + 15 мольн.% NdF3 перед МД-расчетом (t = 0 с, на рисунке слева) и в конце расчета, когда был получен расплав при T = 1020 K (t = 2.5 нс, на рисунке справа).
Будем устанавливать категориальные коллективные колебания в модели, исходя из состава солевого расплава. Это связано с тем, что ионы, имеющие одинаковый электрический заряд, но различающиеся размером и массой, по-разному ведут себя в расплавленной соли. За содержанием связей в системе следила специальная, написанная нами программа, с помощью которой можно было определить, какие ионы и в каком количестве образуют связную сеть с определенным размером длины связи. В первую очередь при исследовании систем FLiNaK и FLiNaK+NdF3 нас интересовало количество связей Li+ с F-. Это связано с тем, что ионы Li+ являются самыми представительными среди положительных ионов в этих системах. Кроме того, это самые динамичные ионы, которые резче всех других положительных ионов реагируют на изменение внешних условий, т.е. температуры и плотности. Наконец, эти ионы формируют с ионами F- самые тесные мгновенные связи, характеризуемые наименьшей длиной. По данным работы [29], химическая ковалентная связь между парами атомов Li–F и Nd–F образуется при их сближении на расстояниях 0.185 и 0.258 соответственно. Программа определения связности ионов в системе анализировала координаты всех ионов системы, записанные через одинаковые промежутки времени (5 пс). С помощью этой программы было установлено, что при всех рассмотренных температурах и плотностях связи с длиной, не большей чем 0.2 нм устанавливаются почти исключительно между ионами Li+ и F-. На долю всех других положительных ионов приходилось меньше 0.1% таких связей с ионами F-. Таким образом, величина порогового расстояния, равная 0.2 нм, служила основным параметром связности в моделях исследуемых солевых расплавов. Вследствие большого заряда ионы Nd3+ значительно сильнее притягивают к себе ионы F-, чем одновалентные ионы. Поэтому, когда исследовалась система с растворенным NdF3, обращалось также внимание на образование сети связей, состоящей из ионов Nd3+ и F-. В этом случае пороговым значением для образования связи служила величина, равная 0.27 нм. Оба пороговых расстояния (0.20 и 0.27 нм) попадают в диапазон между первыми максимумом и минимумом соответствующей парциальной функции радиального распределения. Минимальное расстояние между ионами Li+ и F- в расплавленном FLiNaK и этой соли, содержащей трифторид неодима при различных температурах, составляло ~0.14–0.17 нм, а между ионами Nd3+ и F- оно составляло 0.203–0.207 нм.
Принцип работы программы связности основан на выборе расстояний между всеми (или какими-то определенными) положительными и всеми отрицательными ионами системы, которые удовлетворяют условию связности. При сохранении списка таких расстояний одновременно сохранялись номера ионов, между которыми устанавливались эти малые расстояния. После полной такой обработки всей конфигурации на основе сохраненных номеров отобранных ионов проводился анализ связности выбранных заряженных частиц. Необходимым условием для получения связной структуры, т.е. сети, было наличие у каждого отобранного иона не менее двух связей (близких соседей). Другими словами, номер каждого связанного иона должен был появляться в списке номеров не менее двух раз. Таким образом, на выходе мы имели координаты и номера ионов, образующих связанную сеть. Теперь, чтобы установить номера и количество разных ионов, образующих сеть, достаточно было выполнить еще одно сокращение списка ионов так, чтобы в нем каждый из образующих сеть ионов появлялся один раз. В результате мы получали номера, а следовательно, и координаты ионов, образующих сеть связей. Кроме того, были определены минимальное и максимальное расстояния в полученной сети связей. Количество ионов (как положительных, так и отрицательных), формирующих связанную сеть, наглядно представлять в относительных единицах или процентах по отношению к полному числу ионов в системе. В дальнейшем будут рассматриваться два типа динамических категориальных связей, длины которых не превышают 0.2 и 0.27 нм. Первые в основном относятся к ионной паре Li+–F-, а вторые – к паре Nd3+–F-.
Теплопроводность предварительно уравновешенных структур рассчитывалась в соответствии с формализмом Грина–Кубо [30]:
где kB – постоянная Больцмана, t – время, T и V – температура и объем системы, а ⟨Sa(t)Sa(0)⟩ – текущая автокорреляционная функция a-компоненты теплоты. Полное время корреляции составляло 50 пс, а моделирование продолжалось в течение 2.1 нс.
Каждая из компонент α = x, y, z теплового потока определялась согласно выражению
где mi и Vi – масса и скорость иона i; u(rij) – вклад в потенциальную энергию от взаимодействия ионов i и j, а rij – расстояние между этими ионами; сила взаимодействия между ионами i и j обозначена как Fij; N – число ионов в системе.
Здесь первое слагаемое отражает поток полной энергии, второе слагаемое – поток, связанный с силами, действующими между атомами. Значение λ определялось как среднее арифметическое для трех ее компонент: λx, λy и λz.
РЕЗУЛЬТАТЫ МОДЕЛИРОВАНИЯ
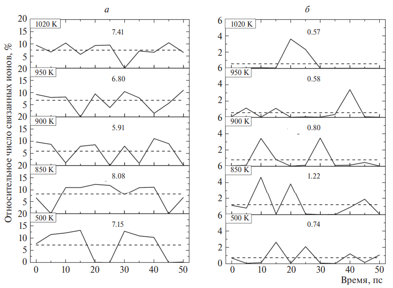
Распределение по количеству узлов сети связей в течение времени корреляции при расчете теплопроводности системы FLiNaK + 15 мольн.% NdF3 показано на рис. 2. Рисунок 2а показывает количество узлов, образованных ионами Li+ и F- в сети, в то время как рис. 2б – число узлов в сети, сформированной ионами Nd3+ и F-. В обоих случаях число узлов сетки представлено в процентном отношении к полному числу ионов во всей системе. Из этого рисунка видно, что те и другие сети тесно связанных ионов могут появляться и исчезать в ходе эволюции системы. Число ионов Li+ в системе более чем в 5 раз превосходит количество ионов Nd3+. Поэтому сети, образованные с участием ионов Li+ более представительны. Можно отметить, что среднее число узлов в Nd–F-сети уменьшается с ростом температуры, начиная с T = 850 K. Однако такая закономерность не прослеживается в случае Li–F-сети.
Рис. 2. Относительное количество взаимосвязанных положительных и отрицательных ионов в системе FLiNaK + + 15 мольн.% NdF3, образующих связи Li+–F-, длина которых не превышает 0.2 нм (а) и связи Nd3+–F- с длиной ≤0.27 (б); штриховые линии и цифры у кривых показывают средние значения числа связанных ионов Nb.
Ионы Li+ заполняют весь объем МД-ячейки, отражающей систему FLiNaK + 15 мольн.% NdF3 (рис. 3). Однако нельзя сказать, что их распределение по объему ячейки является однородным. Периферия ячейки менее заселена ионами Li+, чем ее центр. Возможно, это связано со спецификой выполнения периодических граничных условий в неупорядоченной многокомпонентной ионной системе.
Рис. 3. Размещение ионов Li+ в системе FLiNaK + + 15 мольн.% NdF3 (800 K) в конце расчета.
На рис. 4 представлена наибольшая из наблюдаемых ионная Li–F-сеть в системе с NdF3. Следует отметить, что в целом флуктуирующие во времени Li–F-сети в системе, содержащей включение NdF3, более представительны, чем сети в чистом FLiNaK при аналогичных внешних условиях. Значит разбавление солевого расплава путем введения значительно более тяжелых трехвалентных ионов Nd3+, а также внесения дисбаланса между числом положительных и отрицательных ионов в исследуемую систему (при соблюдении равенства общих зарядов между теми и другими ионами) способствует сближению ионов Li+ и F - и их объединению в единую сеть с размером звена сети ≤0.2 нм.
Рис. 4. Узлы наибольшей сетки связей с длинами связей не более 0.2 нм между положительными и отрицательными ионами в системе FLiNaK + 15 мольн.% NdF3 при температуре 800 K.
Тяжелые ионы Nd+ распределены по объему МД неравномерно (рис. 5). Эта неравномерность может быть обусловлена рядом факторов: формой используемых потенциалов взаимодействия, пренебрежением влияния поляризуемости на взаимодействие ионов, влиянием периодических граничных условий и др. Однако не исключено, что такая неоднородность будет встречаться и в реальных системах расплавленных солей в силу некоторых других причин, например недостаточно эффективного перемешивания. Трехвалентные ионы Nd3+ склонны удерживать возле себя ионы F -. В силу малой подвижности ионов Nd3+ картина их распределения по МД ячейке мало меняется с ростом температуры. В этом случае температурные изменения морфологии Nd–F-сети происходят в основном благодаря значительно более подвижным ионам F -. Сеть Nd–F, полученная при температуре 1020 K, выглядит как скопление неправильной формы (рис. 6). При всех рассмотренных температурах размер Nd–F-сетей уступает размеру Li–F-сетей. Однако их появление также должно оказывать влияние на значение коэффициента теплопроводности солевой смеси.
Рис. 5. Размещение ионов Nd3+ в системе FLiNaK + + 15 мольн.% NdF3 в конце расчета при температуре 1020 К.
Рис. 6. Узлы сетки связей между ионами Nd3+ и F- в системе FLiNaK + 15 мольн.% NdF3 с длинами связей не более 0.27 нм в конце расчета при температуре 1020 K.
Среднее число ионов, образующих временную сеть связей в системах расплавленных солей FLiNaK и FLiNaK + 15 мольн.% NdF3, в зависимости от температуры показано на рис. 7. Как видно ил рисунка, среднее число ионов Li+ и F-, создающих сеть в системе, содержащей ионы Nd3+, при всех рассмотренных температурах превосходит аналогичную характеристику для таких же ионов в системе FLiNaK. Создающие свою сеть ионы Nd3+ и F- увеличивают совокупность ионов, производящих временные ионные сети, доводя их среднее число в температурном диапазоне 750 ≤ T ≤ 1020 K до 8.05% от общего числа ионов в системе. В чистом расплавленном FLiNaK в этом же температурном интервале средняя доля ионов Li+ и F-, создающих ионную сеть, составила 5.10%. Таким образом, растворение в расплавленном FLiNaK трифторида неодима увеличивает ионное сетеобразование, что, в свою очередь, усиливает теплопроводность солевого расплава. Тенденция изменения температурных зависимостей представлена на рис. 7 штриховыми линиями. Верхняя штриховая линия отражает линейную аппроксимацию двух показанных на рисунке температурных зависимостей для системы, содержащей ионы Nd3+, а нижняя относится к чистому FLiNaK. Видно, что в случае обоих систем доля узлов ионной сети уменьшается с ростом температуры. Мы полагаем, что появление ионных сетей является важным фактором повышения теплопроводности системы. Поэтому и в той, и другой системе следует ожидать уменьшения теплопроводности с ростом температуры.
Рис. 7. Температурная зависимость относительного числа связанных ионов для систем FLiNaK и FLiNaK + 15 мольн.% NdF3; штриховые линии – линейная аппроксимация представленных зависимостей; на рисунке термин “общее число” означает, что учитываются длины связей Lb всех положительных ионов с F -, не превышающие 0.2 нм, а также Lb растворенных ионов со связями Nd3+–F - не более 0.27 нм.
На рис. 8 показаны рассчитанные нами в МД-модели температурные зависимости теплопроводности солевых расплавленных смесей FLiNaK и FLiNaK + 15 мольн.% NdF3. Здесь также приведена экспериментальная температурная зависимость чистого FLiNaK, полученная методом лазерной вспышки [31]. Как видно из этого рисунка, все представленные на нем зависимости имеют отрицательный температурный ход. Кроме того, каждая из зависимостей хорошо аппроксимируется линейным приближением. Наблюдается хорошее соответствие рассчитанных данных для чистого FLiNaK с соответствующими экспериментальными данными. Коэффициент λ, полученный при всех рассмотренных температурах для солевого расплава с растворенным NdF3, оказывается выше соответствующего коэффициента, рассчитанного для чистого FLiNaK. В среднем различие между теплопроводностями систем FLiNaK и FLiNaK + 15 мольн.% на температурном интервале 750 ≤ T ≤ 870 K составило 6.7%. Есть основание полагать, что рост теплопроводности в солевом расплаве, содержащем NdF3, достигается за счет увеличения размера пульсирующих ионных сетей при появлении этой добавки. Средний размер ионных сеток в системах с NdF3 увеличился на 25.2% в температурном интервале, на котором определена теплопроводность.
Рис. 8. Теплопроводность систем FLiNaK и FLiNaK + + 15 мольн.% NdF3, определенная в молекулярно-динамическом расчете (настоящая работа) и в эксперименте по определению коэффициента λ методом лазерной вспышки [31].
ОБСУЖДЕНИЕ
В общепринятом понимании теплопроводность описывает, насколько легко материал может передавать тепло при наличии приложенного температурного градиента. Решеточной теплопроводностью обычно называют теплопроводность, обусловленную колебаниями ионов решетки в твердом теле. Взаимодействие фононов вызывает ангармонизм колебаний. В результате взаимодействия двух мод (1, q1 и 2, q2) может появиться третья мода (3, q3). Ненулевая вероятность этого процесса существует, если 1 + 2 = 3 и q1 + q2 = q3 + Q. Когда Q равен вектору обратной решетки, возникает так называемый процесс переброса. В этом случае суммарный поток фононов меняет направление. Именно процессы переброса вызывают термическое сопротивление, а не нормальные процессы, когда Q = 0. Физические механизмы, объясняющие теплопроводность расплавленных солей, все еще недостаточно изучены.
Есть экспериментальные факты, указывающие на зависимость теплопроводности от координационного числа и степени связности атомов в различных системах с ковалентными связями. Было показано, что при гидрировании пленок a-SiO, a-SiC и a-Si их теплопроводность может снизиться до 2 раз [32]. Установлено, что скорость звука, атомная плотность и теплоемкость не могут объяснить измеренное снижение теплопроводности тонких аморфных пленок. Передача энергии происходит через неводородную сеть атомов. Нарушение связности основных атомов есть причина снижения теплопроводности аморфных пленок.
Разрыв сплошности среды может привести к резкому снижению теплопроводности. Так, в случае упрочнения композиционного материала на основе алюминия путем армирования графеновыми чешуйками теплопроводность композита сократилась (по отношению к алюминию) в 9 раз [33].
Теплопроводность тонкой пленки нитрида алюминия уменьшалась в 3.6 раза при ее нагреве от 100 до 400 К [34]. Резкое снижение теплопроводности авторы объясняют образованием в процессе нагрева вакансий, наличие которых вызывает наибольшую диссипацию. При этом вклад в теплопроводность от фононов с длиной волны менее 0.3 мкм составлял 50%.
Изменением теплопроводности можно управлять, меняя координацию атомов. На основе МД-моделирования было показано, что массовая плотность и координация атомов существенно влияют на фундаментальные колебательные характеристики системы a-SiC:H [30]. Медианная координация атомов увеличивается с ростом плотности, что влечет за собой линейный рост теплопроводности.
Ионы в солевом расплаве совершают колебания и оказываются подверженными воздействию тепловой энергии. При столкновениях ионы передают кинетическую энергию соседям, которые затем возбуждают ионы еще дальше по потоку от источника тепла. Колебания, вызванные тепловой энергией, распространяются через материал к более холодным областям. Теплопроводность большинства жидкостей уменьшается с ростом температуры, а при приближении к температуре кипения снижение теплопроводности становится почти линейным.
За счет кулоновского дальнодействия отдельные, мгновенно локально стабилизированные части солевого расплава оказываются связанными между собой [35]. Поэтому в области низких температур есть предпосылки реализации в солевом расплаве фононно-подобного механизма теплопроводности. Здесь фононы распространяются на небольшие расстояния в течение короткого промежутка времени, и низкотемпературный расплав имеет высокую теплопроводность. С ростом температуры наблюдается разрушение частично связной структуры расплава. Разрывы в непрерывном связывании фрагментов солевого расплава, часто повторяющиеся во времени, создают препятствия для распространения фононов. С ростом температуры таких препятствий становится все больше. Поэтому вследствие усиления рассеяния фононов теплопроводность солевого расплава уменьшается с ростом температуры. Различные примеси, существующие в реальной системе, могут способствовать консолидации или, наоборот, созданию разрыва сплошности солевого расплава. В результате температурное поведение теплопроводности в физическом эксперименте может принимать несколько неожиданные формы, например быть малочувствительным к температурным изменениям или даже увеличиваться с ростом температуры.
В настоящей работе мы рассмотрели только два типа категорийных связей, создаваемых парами ионов Li+–F- и Nd3+–F -. Эти флуктуирующие связи являются более прочными, чем связи, образуемые ионами Na+ и K+ с ионами F -. Это объясняется тем, что катионы Li+ из-за их малого размера могут сближаться с анионами F - на более близкие расстояния, чем это способны делать ионы Na+ и K+. В то же время ионы Nd3+ из-за их большого электрического заряда обладают существенно большей способностью притягивать ионы F - по сравнению с ионами Na+ и K+. Другими словами, категорийные сети связей, сформированные парами Li+–F - и Nd3+–F -, по характеру воздействия на теплопроводность (а также вязкость) оказываются существенно более эффективными.
В этой работе впервые обращено внимание на связность ионов, наблюдаемую в расплавленной солевой смеси. Каждая конфигурация ионной сети является короткоживущей. Она возникает и исчезает. Кроме того, ионная сеть способна перемещаться по объему системы. Ранее при изучении структуры расплавов соли обращалось внимание только на образование комплексных ионных групп, например в расплаве Na3AlF6 формировались группы Al–F [36, 37]. В этом случае система состоит из достаточно легких ионов трех типов: Na+, Al3+ и F-. С использованием первопринципной молекулярной динамики, были обнаружены три достаточно стабильных образования в такой расплавленной соли: AlF4, AlF5 и AlF6 [37].
Когда в солевых фторидных расплавах AF - (A=Li+, Na+, K+) растворены тяжелые ионы, такие как Th4+ и U4+, катионы тория и урана могут собирать около себя в среднем восемь ионов F- [38]. Образование таких комплексов при растворении в электролите до 35 мольн.% ThF4 или UF4 приводит к увеличению вязкости солевого расплава.
ЗАКЛЮЧЕНИЕ
Разработка новых реакторов и солнечных энергетических систем нуждается в точном предсказании теплофизических свойств расплавленных солей. Теплопроводность является одним из наиболее важных свойств в этом отношении. В настоящей работе методом молекулярной динамики рассчитана температурная зависимость теплопроводности расплавленной соли FLiNaK, в том числе с растворенным в ней трифторидом неодима. Для объяснения изменения теплопроводности, вызванного растворением соли лантаноида NdF3 в этой солевой смеси, а также температурного тренда теплопроводности чистого FLiNaK, исследовано образование определенных ионных связей в рассматриваемых системах. Установлено существование связности между ионами, создающими наиболее короткие связи (≤0.2 нм) в обоих типах рассматриваемых систем, а также связности ионов Nd3+ и F- (с длиной связи ≤0.27 нм) в системе с растворенным NdF3. Выявленные динамические сети ионных связей имеют пульсирующий характер во времени, т.е. они могут время от времени появляться в разных частях системы и полностью или частично исчезать. Установлена корреляция между общим числом узлов ионной сети, в среднем существующих на временно́м интервале определения автокорреляционной функции потоков тепла, и значением теплопроводности исследуемой системы. Таким образом, определяя степень развития динамических ионных сетей установленных категорий, можно предсказывать изменения теплопроводности системы, вызванные растворением фторидов тяжелых ионов и температурными изменениями.
Разработанный метод предсказания поведения теплопроводности будет полезен при прогнозировании этого важного теплофизического свойства для многокомпонентных солевых расплавов с растворенными фторидами лантаноидов и актиноидов.
Работа выполнена по теме госзадания № 122020100205-5 (FUME-2022-0005) и в рамках соглашения № 075-03-2023-006 от 16.01.2023 (FEUZ-2020-0037).
Об авторах
А. Е. Галашев
Институт высокотемпературной электрохимии Уральского отделения Российской академии наук; Уральский Федеральный Университет имени первого президента России Б.Н. Ельцина
Автор, ответственный за переписку.
Email: galashev@ihte.uran.ru
Россия, Екатеринбург; Екатеринбург
Список литературы
- Halliday C., Hatton T.A. // Appl. Energy. 2020. V. 280. Art. № 116016. https://doi.org/10.1016/j.apenergy.2020.116016
- Sorbom N., Ball J., Palmer T.R. et al. // Fusion Eng. Des. 2015. V. 100. P. 378. https://doi.org/10.1016/j.fusengdes.2015.07.008
- Akanda M.A.M., Shin D. // J. Ener. Storage. 2023. V. 60. Art. № 106608. https://doi.org/10.1016/j.est.2023.106608
- Игнатьева Л.Н., Машенко В.А., Горбенко О.М., Бузник В.М. // Хим. физика 2023. № 11. С. 23. https://doi.org/10.31857/S0207401X23110031
- Froese B. C. // Adsorption of Neodymium Experiment Design to Simulate Nuclear Fuel Reprocessing. Syracuse: University Honors Program Capstone Projects, 2011. P. 5–14. https://surface.syr.edu/honors_capstone/249
- Cervi E., Lorenzi A., Cammi A., Luzzi L. // Chem. Eng. Sci. 2019. V. 193. P. 379. https://doi.org/10.1016/j.ces.2018.09.025
- Nunes V.M.B., Lourenco M.J.V., Santos F.J.V., Nieto de Castro C.A. // J. Chem. Eng. Data. 2003. V. 48. № 3. P. 446. https://doi.org/10.1021/je020160l
- Gheribi A.E., Chartrand P. // J. Chem. Phys. 2016. V. 144. № 8. P. 084506. https://doi.org/10.1063/1.4942197
- Gheribi A.E., Torres J.A., Chartrand P. // Sol. Energy Mater. Sol. Cells. 2014. V. 126. P. 11. https://doi.org/10.1016/j.solmat.2014.03.028
- Ross R.G. // Rep. Prog. Phys. 1984. V. 47. № 10. P. 1347. https://doi.org/10.1088/0034-4885/47/10/002
- Romatoski R.R., Hu L.W. // Ann. Nucl. Energy. 2017. V. 109. № 2–3. P. 635. https://doi.org/10.1016/j.anucene.2017.05.036
- An X.-H., Cheng J.-H., Yin H.-Q., Xie L.-D., Zhang P. // Intern. J. Heat Mass Transfer. 2015. V. 90. P. 872. https://doi.org/10.1016/j.ijheatmasstransfer.2015.07.042
- Robertson S.G., Wiser R., Yang W. et al. // J. Appl. Phys. 2022. V. 131. № 22. 225102. https://doi.org/10.1063/5.0088059
- Nagasaka Y., Nakazawa N., Nagashima A. // Intern. J. Thermophys. 1992. V. 13. № 4. P. 555. https://doi.org/10.1007/BF00501941
- Robertson G., Short M.P. // Rev. Sci. Instrum. 2021. V. 92. Art. № 064905. https://doi.org/10.1063/5.0049727
- Copley J.R.D., Rowe J.M. // Phys. Rev. Lett. 1974. V. 32. № 2. P. 49. https://doi.org/10.1103/PhysRevLett.32.49
- Demmel F., Hosokawa S., Pilgrim W.-C. // J. Phys.: Condens. Matter. 2021. V. 33. № 37. Art. № 375103. https://doi.org/10.1088/1361-648X/ac101c
- Hosokawa S., Demmel F., Pilgrim W.-C. et al. // Electrochem. 2009. V. 77. № 8. P. 608. https://doi.org/10.5796/electrochemistry.77.608
- Bryk T., Mryglod I.M. // J. Mol. Liquids. 2005. V. 120. № 1–3. P. 83. https://doi.org/10.1016/j.molliq.2004.07.041
- Кишевецкий С.П., Курдяева Ю.А., Гаврилов Н.М. // Хим. физика. 2023. Т. 42. № 10. С. 77. https://doi.org/10.31857/S0207401X23100096
- Tosi M.P., Fumi F.G. // J. Phys. Chem. Solids. 1964. V. 25. № 1. P. 45. https://doi.org/10.1016/0022-3697(64)90160-x
- Adams D.J., McDonald I.R. // J. Phys. C: Sol. State Phys. 1974. V. 7. № 16. P. 2761. https://doi.org/10.1088/0022-3719/7/16/009
- Pauling L. // J. Amer. Chem. Soc. 1929. V. 51. № 4. P. 1010. https://doi.org/10.1021/ja01379a006
- Galashev A.Y., Rakhmanova O.R., Abramova K.A. et al. // J. Phys. Chem. B. 2023. V. 127. № 5. P. 1197. https://doi.org/10.1021/acs.jpcb.2c06915
- Mayer J.E. // J. Chem. Phys. 1933. V. 1. № 4. P. 270. https://doi.org/10.1063/1.1749283
- Wang H. Ph.D. Dis. Molecular dynamics simulations of molten salts: Force field evaluation and development. Indiana, Notre Dame: University of Notre Dame, 2022.
- Ishii Y., Sato K., Salanne M., Madden P.A., Ohtori N. // J. Phys. Chem. B. 2014. V. 118. № 12. P. 3385. https://doi.org/10.1021/jp411781n
- Руденко Е.И., Дохликова Н.В., Гатин А.К., Сарвадий С.Ю., Гришин М.В. // Хим. физика. 2023. Т. 42. № 7. С. 70. https://doi.org/10.31857/50207401X23070166
- Cordero B., Gomes V., Platero-Prats A. et al. // Dalton Trans. 2008. V. 21. № 21. P. 2832. https://doi.org/10.1039/b801115j
- Thakur S., Dionne C.J., Karna P., King S.W., Lanford W. // Phys. Rev. Mater. 2022. V. 6. Art. № 094601. https://doi.org/10.1103/PhysRevMaterials.6.094601
- Rudenko A., Redkin A., Il’ina E. et al. // Materials. 2022. V. 15. № 16. Art. № 5603. https://doi.org/10.3390/ma15165603
- Braun I.L., King S.W., Giri A. et al. // Appl. Phys. Lett. 2016. V. 109. № 19. Art.№ 191905. https://doi.org/10.1063/1.4967309
- Возняковский А.А., Возняковский А.П., Кидалов С.В., Заваринский В.И. // Хим. физика. 2021. Т. 40. № 6. С. 14. https://doi.org/10.31857/S0207401X21060169
- Xu R.L., Rojo M.M., Islam S.M. et al. // J. Appl. Phys. 2019. V. 126. № 18. Art.№ 185105. https://doi.org/10.1063/1.5097172
- Galashev A.Y. // Appl. Sci. 2023. V. 13, № 2. P. 1085. https://doi.org/10.3390/app13021085
- Özen A.S., Akdeniz Z. // J. Mol. Liquids. 2022. V. 368. Part B. P. 120771. https://doi.org/10.1016/j.molliq.2022.120771
- Li J., Guo H., Zhang H., Li T., Gong Y. // Chem. Phys. Lett. 2019. V. 718, P. 63. https://doi.org/10.1016/j.cplett.2019.01.035
- Bessada C., Zanghi D., Salanne M. et al. // J. Mol. Liquids. 2020. V. 307. № 2. Art. № 112927. https://doi.org/10.1016/j.molliq.2020.112927
Дополнительные файлы










