Antioxidant activity of catecholamines during the oxidation of methyl linoleoate in Triton X-100 micelles
- Authors: Ryabkova V.A.1, Tikhonov I.V.1, Pliss E.M.1
-
Affiliations:
- Demidov Yaroslavl State University
- Issue: Vol 43, No 9 (2024)
- Pages: 35-41
- Section: Kinetics and mechanism of chemical reactions, catalysis
- URL: https://ogarev-online.ru/0207-401X/article/view/282076
- DOI: https://doi.org/10.31857/S0207401X24090042
- ID: 282076
Cite item
Full Text
Abstract
The effect of catecholamines on the oxidation of methyl linoleate in Triton X-100 micelles was studied. It has been established that catecholamines do not inhibit oxidation at a pH 7.4. Inhibition is only possible in the presence of the superoxide dismutase enzyme or at lower pH levels. The reason for this effect is the interaction of anionic forms of phenols and phenoxyl radicals with oxygen with the formation of superoxide anions. High values of inhibition coefficients for catecholamines in the presence of superoxide dismutase are due to the reactions of the resulting ortho-quinones, leading to the regeneration of OH groups.
Full Text
1. ВВЕДЕНИЕ
Катехоламины играют важную роль в жизнедеятельности организмов, выполняя нейромедиаторные функции. По химической природе катехоламины являются производными пирокатехина, т.е. относятся к полифенолам. Ранее было показано, что многие полифенолы являются эффективными антиоксидантами [1–3], а некоторые из них по силе действия сравнимы с α-токоферолом. В этой связи следует ожидать, что катехоламины обладают антиоксидантными свойствами. Исследование активности антиоксидантов проводят как с использованием в качестве субстратов окисления объектов биологической природы, так и с применением модельных систем [4]. Удобной моделью для изучения антиоксидантов в условиях, приближенных к липидной мембране, является окисление метиллинолеата в мицеллах [3]. Исследование с применением данной модели ранее было проведено только для двух представителей катехоламинов; результаты имеют неоднозначный характер [5]. В настоящей работе исследовано влияние катехоламинов на окисление метиллинолеата в мицеллах Triton X-100 при различных значениях pH среды, а также в присутствии фермента супероксиддисмутазы.
2. ЭКСПЕРИМЕНТАЛЬНАЯ ЧАСТЬ
В работе использовались следующие реактивы производства компании Sigma-Aldrich: азоинициатор – 2,2′-азобис(2-амидинопропан)дигидрохлорид (AAPH); мицеллообразователь – Triton X-100, субстрат окисления – метиллинолеат (LH); катехоламины (в виде гидрохлоридов) – адреналин, норадреналин, 3,4-дигидроксифенилаланин (ДОФА), дофамин. Супероксиддисмутаза (СОД) из бычьей печени применялась как акцептор супероксидных радикалов.
Буферный раствор готовили путем смешивания индивидуальных растворов NaH2PO4 и Na2HPO4 производства компании Merck (Germany) концентрации 0.05 моль ⋅ л–1, которые дополнительно очищали от следов переходных металлов с помощью ионообменной смолы Chelex-100 производства компании Bio-Rad (USA).
Окисление LH (0.01 моль ⋅ л–1) исследовали в мицеллах Triton X-100 (0.05 моль ⋅ л–1) в фосфатном буфере (0.05 моль ⋅ л–1) под действием инициатора AAPH (0.004 моль ⋅ л–1) при 310 K. Кинетику поглощения кислорода при окислении LH изучали с использованием кислородного биологического монитора YSI 5300A (USA). Скорость инициирования Wi определяли методом ингибиторов по времени окончания периода индукции τind с помощью соотношения Wi = 2[InH]0/τind. В качестве ингибитора (InH) при этом использовали 6-гидрокси-2,5,7,8-тетраметилбензохроман-2-карбоновую кислоту (Sigma Aldrich). Коэффициенты ингибирования f определяли по формуле
Величины τind определяли интегральным методом по уравнению
где [QH2] — концентрация фенола, W0 и W — скорость окисления в отсутствие и в присутствии ингибитора соответственно.
Значение константы скорости реакции фенолов с пероксидным радикалом, k4, определяли по изменению скорости ингибированного окисления во времени согласно уравнению [6]
где k2 — константа скорости продолжения цепи в LH (70 л ⋅ моль–1 ⋅ с–1 [7]).
3. РЕЗУЛЬТАТЫ И ИХ ОБСУЖДЕНИЕ
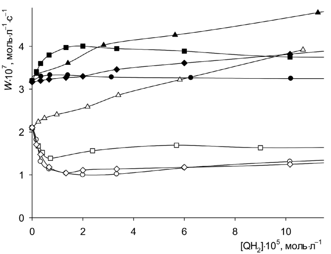
Первоначально исследовано влияние катехоламинов на окисление LH в мицеллах Triton X-100 при pH = 7.4. Установлено, что введение катехоламинов приводит не к снижению скорости окисления, а даже к некоторому ее возрастанию (рис. 1, сплошные точки). Таким образом, катехоламины не проявляют антиоксидантного действия при окислении LH в мицеллах Triton X-100 при pH = 7.4. Ранее такой эффект был обнаружен для отдельных катехоламинов [5], гидрохинонов [8, 9] и производных пирогаллола [3]. Отсутствие антиоксидантного действия у ДОФА и дофамина авторы объясняли их высокой гидрофильностью [5], приводящей к низкой локальной концентрации в мицеллах. Но более вероятной причиной этого эффекта является взаимодействие фенола QH2 или феноксильного радикала QH• с кислородом, приводящее к образованию гидропероксидного (супероксидного) радикала, ведущего далее цепь окисления [3, 8]. В этом случае ингибирование возможно только при эффективном устранении радикалов HO2•/O2•– из системы, которого можно достигнуть путем введения фермента супероксиддисмутазы [3, 8, 9]. Поэтому далее было исследовано влияние концентрации катехоламинов на скорость окисления LH в присутствии СОД (рис. 1, контурные точки). Отметим, что введение СОД само приводит к снижению скорости неингибированного окисления LH на ~30 %, что обусловлено блокированием передачи цепи между мицеллами за счет радикала HO2• [7, 10]. В области низких концентраций катехоламины, за исключением адреналина, ингибируют окисление LH в присутствии СОД. При их высоких концентрациях (>2 ⋅ 10–5 моль · л–1) происходит увеличение скорости окисления, т.е. проявляется некоторое прооксидантное действие.
Рис. 1. Зависимость скорости окисления LH в мицеллах W от концентрации адреналина (▲, ), норадреналина (⬥, ), ДОФА (■, ) и дофамина (●, ○) в отсутствие (темные точки) и в присутствии 100 ед./мл СОД (светлые точки) при pH = 7.4.
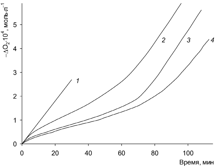
Классический механизм антиоксидантного действия полифенолов представлен на Cхеме 1. Антиоксидантную активность характеризуют двумя независимыми параметрами: константой скорости взаимодействия с пероксидным радикалом, k4, и коэффициентом ингибирования f. Для определения данных параметров была исследована кинетика ингибированного катехоламинами окисления LH в мицеллах в присутствии СОД при pH = 7.4; примеры кинетических кривых приведены на рис. 2. Результаты определения параметров антиоксидантной активности для исследованных катехоламинов представлены в табл. 1.
Таблица 1. Параметры антиоксидантной активности катехоламинов при окислении LH в мицеллах в присутствии 100 ед./мл СОД, при pH = 7.4
QH2 | k4, л ⋅ моль-1 ⋅ с-1 | f | lg P [16] |
Дофамин | 5.3 ⋅ 103 | 4.4 | –0.99 |
ДОФА | 4.4 ⋅ 103 | 2.9 | –2.38 |
Норадреналин | 3.4 ⋅ 103 | 4.7 | –1.85 |
Схема 1. Механизм антиоксидантного действия полифенолов [1, 3]
(i)
(1)
(2)
(3)
(4)
(5)
(6)
Значения коэффициента ингибирования f для всех соединений значительно превышает теоретическое значение для фенолов, равное двум [1, 3]. Кроме того, из кинетических кривых видно, что скорость в середине периода индукции падает по сравнению с таковой в его начале (рис. 2). Ранее оба подобных эффекта были обнаружены для некоторых производных пирокатехина при окислении LH в мицеллах и объяснены реакциями продуктов превращения антиоксидантов с исходными фенолами [3]. В случае катехоламинов к регенерации ОН-групп в ходе окисления может приводить циклизация первичного продукта превращения – орто-хинона, являющаяся одной из стадий превращения катехоламинов в циклические хиноидные структуры [11, 12]. Например, превращение дофамина в аминохром можно описать следущей последовательностью стадий:
Рис. 2. Кинетические кривые поглощения кислорода при окислении LH в мицеллах без ингибитора (1) и в присутствии 4 · 10–6 моль · л–1 ДОФА (2), дофамина (3) и норадреналина (4); [СОД] = 100 ед./мл, pH = 7.4.
Данный процесс может протекать не только ферментативным, но и радикальным путем [12–14]. На второй стадии представленной упрощенной схемы образуется производное пирокатехина гетероциклической природы (5,6-дигидроксииндол), которое само по себе должно обладать антиоксидантными свойствами. Причем наличие донорной аминогруппы в бензольном кольце может обуславливать более высокую силу антиоксидантного действия по сравнению с исходным катехоламином. Отметим, что значения f для катехоламинов при окислении этилбензола не превышают двух [15], т.е. такая циклизация в органической среде не происходит.
Значения k4 для катехоламинов (табл. 1) близки между собой. Как показано ранее [3, 8], значения k4 в мицеллах являются эффективными и зависящими от нескольких факторов: образования водородной связи между ОН-группой фенола и полярными компонентами системы, распределения антиоксиданта между внутренней частью мицеллы и водой. Последний фактор количественно можно охарактеризовать величиной lg P – логарифмом коэффициента распределения в стандартной системе “октанол–вода” (табл. 1). Абсолютные значения k4 для исследованных катехоламинов не должны сильно различаться, поскольку наличие гидроксильных и карбоксильных групп в боковой цепи не может оказывать сильного влияния на фенольные группы посредством индуктивного эффекта. По этой же причине значения констант комплексообразования фенольных ОН-групп катехоламинов с компонентами среды также, вероятно, близки. Примечательно, что из трех исследованных катехоламинов близкой структуры наибольшим значением k4 обладает дофамин, являющийся согласно приведенным lg P (табл. 1) более липофильным соединением из представленных.
Итак, при pH = 7.4 катехоламины не тормозят окисление LH, а ингибирование возможно только при введении СОД. Подобный эффект свидетельствует о протекании побочных реакций с участием катехоламинов, наиболее вероятными из которых являются взаимодействие феноксильных радикалов с кислородом по радикальному или ион-радикальному механизмам, а также реакция прямого автоокисления антиоксиданта кислородом:
Для определения ключевой реакции, приводящей к образованию радикалов HO2•/O2•–, было исследовано ингибированное окисление LH в мицеллах при различных значениях pH буферного раствора. С уменьшением pH все исследованные катехоламины проявляют ингибирующее действие даже в отсутствие СОД: с увеличением концентрации катехоламина происходит однозначное снижение скорости окисления (представлено на рис. 3 на примере дофамина). Увеличение эффективности антиоксидантного действия при снижении pH свидетельствует о том, что катехоламины (или их феноксильные радикалы) вступают в побочные реакции в ионизированной форме.
Рис. 3. Зависимость скорости окисления LH в мицеллах от концентрации дофамина при pH = 4.0 (1), 5.0 (2), 6.0 (3), 7.4 (4).
Проведем кинетическую оценку вклада автоокисления катехоламинов в отсутствие у них антиоксидантных свойств при pH = 7.4. При [QH2] = = 4 ⋅ 10–5 моль · л–1 начальная скорость окисления адреналина в буферном растворе с pH 7.4, измеренная по поглощению кислорода, составила 1.5 ⋅ 10–8 моль · л–1 · с–1. Если принять, что расходование катехоламина описывается кинетическим уравнением псевдопервого порядка с эффективной константой скорости k = 1.5 ⋅ 10–8/4 ⋅ 10–5 = = 3.8 ⋅ 10–4 c–1, то время его полупревращения составит 30 мин. В условиях ингибированного окисления при данной концентрации [QH2] теоретический период индукции (при f = 2) равен 350 мин. Очевидно, что скорость расходования адреналина в процессе автоокисления существенно превышает скорость его ожидаемого взаимодействия с пероксидными радикалами в процессе ингибированного окисления. Таким образом, автоокисление катехоламинов объясняет отсутствие у них антиоксидантных свойств при pH = 7.4. Введение СОД подавляет процесс автоокисления, вследствие чего катехоламины тормозят окисление LH в мицеллах. При этом следует понимать, что автоокисление включает в себя реакцию с кислородом не только фенолов, но и их феноксильных радикалов. По-видимому, протекание обеих реакций обуславливает отсутствие антиоксидантных свойств у катехоламинов.
Механизм анти/прооксидантного действия катехоламинов при окислении LH в мицеллах может быть описан Схемой 1 с включением в нее дополнительных реакций (Схема 2). Побочные реакции (7) и (8) обуславливают прооксидантное действие катехоламинов, так как образующиеся в них радикалы O2•– (HO2•) продолжают цепи окисления аналогично реакции (2) в Схеме 1. Снижение pH среды уменьшает концентрацию анионных форм (QH– и Q•–), и, как следствие, вклад побочных реакций (7), (8) в сравнении с основными реакциями ингибирования (4)–(6). Реакция (9) схематично изображает регенерацию OH-групп при циклизации орто-хинонов катехоламинов.
Схема 2. Реакции катехоламинов и продуктов их превращения при окислении LH в мицеллах
(7)
(8)
(9)
Следует отметить, что окисление LH в мицеллах Triton X-100 является очень упрощенной моделью окислительных процессов в липидных мембранах. В реальных клеточных мембранах фенольные антиоксиданты могут взаимодействовать с фосфолипидами [17, 18], что может приводить к усилению антиоксидантного действия. Так, показано, что дофамин ингибирует окисление метиллинолеата в липосомах при pH = 7.4, причем ингибирование более выражено в липосомах фосфатидилхолина, чем в липосомах фосфатидилглицерина [19]. Авторы объясняют данный эффект гидрофобным взаимодействием дофамина с фосфатидилхолином на поверхности липосомы.
4. ЗАКЛЮЧЕНИЕ
Катехоламины не тормозят окисление метилленолеата в мицеллах при pH = 7.4, вследствие побочных реакций взаимодействия QH– и Q•– с кислородом с образованием супероксидных анион-радикалов. Введение СОД, а также снижение pH среды подавляют данные процессы и благоприятствуют ингибированию. Высокие значения коэффициентов ингибирования для катехоламинов в присутствии СОД обусловлены циклизацией образующихся орто-хинонов, приводящей к регенерации ОН-групп. Наиболее активным антиоксидантом из исследованных катехоламинов является дофамин, обладающий более высокой липофильностью.
ФИНАНСИРОВАНИЕ РАБОТЫ
Исследование выполнено за счет гранта Российского научного фонда № 20-13-00148; https://rscf.ru/project/20-13-00148/.
About the authors
V. A. Ryabkova
Demidov Yaroslavl State University
Email: tikhonoviv.ysu@gmail.com
Russian Federation, Yaroslavl
I. V. Tikhonov
Demidov Yaroslavl State University
Author for correspondence.
Email: tikhonoviv.ysu@gmail.com
Russian Federation, Yaroslavl
E. M. Pliss
Demidov Yaroslavl State University
Email: tikhonoviv.ysu@gmail.com
Russian Federation, Yaroslavl
References
- I. Tikhonov, V. Roginsky, and E. Pliss, Int. J. Chem. Kinet. 41, 92 (2008). https://doi.org/10.1002/kin.20377
- I. Tichonov, V. Roginsky, and E. Pliss, Eur. J. Lipid Sci. Technol. 112, 887 (2010). https://doi.org/10.1002/ejlt.200900282
- V. Roginsky, Arch. Biochem. Biophys. 414, 261 (2003). https://doi.org/10.1016/S0003-9861(03)00143-7
- V. Roginsky, and E.A. Lissi, Food Chem. 92, 235 (2005). https://doi.org/10.1016/j.foodchem.2004.08.004
- K. Jodko-Piorecka, and G. Litwinienko, Free Radic. Biol. Med. 83, 1 (2015). https://doi.org/10.1016/j.freeradbiomed.2015.02.006
- D. Loshadkin, V. Roginsky, and E. Pliss, Int. J. Chem. Kinet. 34, 162 (2002). https://doi.org/10.1002/kin.10041
- V. Roginsky, and T. Barsukova, Chem. Phys. Lipids 111, 87 (2001). https://doi.org/10.1016/S0009-3084(01)00148-7
- V. Roginsky, T. Barsukova, D. Loshadkin, and E. Pliss, Chem. Phys. Lipids 125, 49 (2003). https://doi.org/10.1016/S0009-3084(03)00068-9
- V. Roginsky, Free Radic. Res. 35, 55 (2001). https://doi.org/10.1080/10715760100300591
- I.V. Moskalenko, and I.V. Tikhonov, Russ. J. Phys. Chem. B 16, 602 (2022). https://doi.org/10.1134/S1990793122040121
- V.M. Costa, R. Silva, L.M. Ferreira, P.S. Branco, F. Carvalho, M.L. Bastos, R.A. Carvalho, M. Carvalho, and F. Remiao, Chem. Res. Toxicol. 20, 1183 (2007). https://doi.org/10.1021/tx7000916
- T.V. Sirota, Biophysics. 65, 548 (2020). https://doi.org/10.1134/S0006350920040223
- N.A. Mautjana, J. Estes, J.R. Eyler, and A. Brajter-Toth, Electroanalysis 20, 1959 (2008). https://doi.org/10.1002/elan.200804279
- I. Iftikhar, K. Abou El-Nour, and A. Brajter-Toth, Electrochim. Acta 249, 145 (2017). https://doi.org/10.1016/j.electacta.2017.07.087
- I.F. Rusina, T.L. Veprintsev, and R.F. Vasil’ev, Russ. J. Phys. Chem. B 16, 50 (2022). https://doi.org/10.1134/S1990793122010274
- F. Mack, and H. Bonisch, Naunyn-Schmiedeberg’s Arch. Pharmacol. 310, 1 (1979). https://doi.org/10.1007/BF00499868
- N.Yu. Gerasimov, O.V. Nevrova, I.V. Zhigacheva, I.P. Generozova, and A.N. Goloshchapov, Russ. J. Phys. Chem. B 17, 135 (2023). https://doi.org/10.1134/S1990793123010049
- L.N. Shishkina, M.V. Kozlov, T.V. Konstantinova, A.N. Smirnova, and V.O. Shvydkiy, Russ. J. Phys. Chem. B 17, 141 (2023). https://doi.org/10.1134/S1990793123010104
- K. Jodko-Piorecka, B. Sikora, M. Kluzek, P. Przybylski, and G. Litwinienko, J. Org. Chem. 87, 1791 (2022). https://doi.org/10.1021/acs.joc.1c02308
Supplementary files






