Трехмерное математическое моделирование детонации в двухфазных системах газообразный окислитель – капли жидкого горючего
- Авторы: Иванов В.С.1, Фролов С.М.1,2
-
Учреждения:
- Федеральный исследовательский центр химической физики им. Н.Н. Семёнова Российской академии наук
- Национальный исследовательский ядерный университет “МИФИ”
- Выпуск: Том 43, № 10 (2024)
- Страницы: 61-70
- Раздел: Горение, взрыв и ударные волны
- URL: https://ogarev-online.ru/0207-401X/article/view/281904
- DOI: https://doi.org/10.31857/S0207401X24100054
- ID: 281904
Цитировать
Полный текст
Аннотация
Приведены результаты трехмерного моделирования процесса распространения детонационных волн в двухфазной смеси воздух – капли жидкого изооктана. Методика расчета детонации основана на решении трехмерных уравнений двухфазного сжимаемого турбулентного реагирующего течения с учетом движения, дробления, нагрева и испарения капель и конечных скоростей смешения топливных компонентов и химических превращений. Достоверность методики проверена путем сравнения расчетных и измеренных скоростей гетерогенной детонации в вертикальном канале квадратного сечения. Рассмотрено влияние предыстории формирования двухфазной горючей смеси на скорость и структуру детонационной волны, в частности учтено влияние коагуляции капель. Получены новые данные о структуре детонационной волны в двухфазных системах.
Полный текст
1. ВВЕДЕНИЕ
В настоящее время активно разрабатываются новые системы реактивного движения, в том числе с импульсно-детонационными [1, 2] и непрерывно-детонационными [3–5] двигателями. Наиболее актуальная задача, требующая решения при разработке таких двигателей, – создание условий для распространения детонационной волны в гетерогенной смеси газообразный окислитель – капли жидкого горючего. В отличие от газовой детонации, в гетерогенной детонации энерговыделение за фронтом волны может лимитироваться процессами смесеобразования. Горючая смесь образуется вследствие аэродинамического дробления и испарения капель и их фрагментов. Энерговыделение начинается в локальных очагах самовоспламенения и распространяется в пространстве в зависимости от локальных распределений температуры и концентрации паров горючего. Фронт реакции за ударной волной может распространяться в режимах ламинарного или турбулентного гомогенного или диффузионного пламени, пламени в частично перемешанном газе, пламени вокруг одиночных капель или ансамблей капель, а также в режиме волны самовоспламенения. Многомерное нестационарное численное моделирование таких процессов – очень сложная задача.
В связи с ростом вычислительных мощностей количество работ по многомерному численному моделированию гетерогенной детонации увеличивается с каждым годом. В литературе по гетерогенной детонации имеется множество работ по численному моделированию стационарного процесса распространения детонационной волны в смесях с каплями тяжелых углеводородных горючих, например н-декана [6], а также с твердыми частицами, например, с частицами алюминия [7]. Также есть ряд обзорных статей разных лет по этой тематике [8–11]. В расчетных работах течение дисперсной фазы рассматривается либо в эйлеровой, либо в лагранжевой постановках как без учета, так и с учетом конечной скорости процессов межфазного обмена и химических превращений. В подавляющем большинстве расчетных работ никак не учитывается предыстория смесеобразования: как правило, в качестве начальных условий принимаются пространственные равномерные распределения капель. Такие процессы смесеобразования, как коагуляция капель и образование жидких пленок на ограничивающих поверхностях, в литературе вообще не рассматриваются, а такой процесс, как дробление капель в ударной волне, либо вообще не рассматривается, либо описывается простейшими полуэмпирическими моделями одностадийного дробления, т.е. без учета вторичного распада фрагментов дробления. Очевидно, что такие модели не позволяют предсказывать значения характеристик гетерогенной детонации с крупными каплями горючего. В работе [12] описана феноменология сопутствующих физико-химических процессов в волне гетерогенной детонации жидких горючих и предложена модель детонации с конечными скоростями межфазного обмена и химических реакций. Модель показывает сильное влияние степени предварительного испарения жидкого горючего, начального давления, температуры, типа горючей жидкости и других определяющих параметров задачи на условия распространения стационарной детонационной волны. В недавних работах [13, 14] проведено численное моделирование структуры гетерогенной детонационной волны в смеси газообразного окислителя с каплями легко летучего жидкого горючего – н-гептана.
В лаборатории детонации ФИЦ ХФ РАН задача о переходе горения в детонацию и распространении детонации в газовых и двухфазных смесях решается в течение длительного времени. Для моделирования таких процессов предложено использовать комбинацию модели горения с явным выделением фронта пламени и метода частиц [15], которая позволяет одновременно отслеживать эволюцию фронта пламени и очагов предпламенного самовоспламенения. Например, в работе [16] проведено моделирование перехода горения в детонацию в газовой смеси, заполняющей полуограниченный щелевой канал. Эту работу можно рассматривать как первое приближение к решению задачи о переходе горения в детонацию в изначально расслоенной системе “газ – пленка жидкого горючего” [17]. Детонация в такой расслоенной системе может распространяться только при быстром турбулентно-молекулярном смешении микрокапель и паров горючего, вызванном ударной волной, скользящей над пленкой, причем химические превращения протекают в условиях больших неоднородностей температуры и состава образующейся взрывчатой смеси. Цель данной работы – создание на основе подходов из работ [15, 16] физико-математической модели гетерогенной детонации для многомерных нестационарных расчетов с учетом коагуляции, испарения и дробления капель.
РАСЧЕТНАЯ МОДЕЛЬ МНОГОФАЗНОГО ТУРБУЛЕНТНОГО РЕАГИРУЮЩЕГО ТЕЧЕНИЯ
Базовая модель
Математическая модель многофазного многомерного сжимаемого турбулентного реагирующего течения основана на осредненных по Фавру дифференциальных уравнениях сохранения массы, количества движения и энергии, записанных для контрольного объема, с источниковыми членами, описывающими межфазный обмен и протекание химических реакций в газовой фазе [18, 19]. Межфазный обмен вызван разными скоростями и температурами фаз. При численной реализации алгоритма такой подход позволяет использовать неструктурированные расчетные сетки для пространственных областей сложной геометрии.
При расчете многофазного течения источники массы, количества движения и энергии в осредненных уравнениях течения газа определяются по изменению массы, количества движения и энергии в дисперсной жидкой фазе. Жидкая фаза представляется множеством распределенных жидких псевдочастиц (ЖП), каждая из которых содержит N идентичных капель диаметром d. Движение каждой ЖП описывается уравнениями движения одиночной капли под действием сил аэродинамического сопротивления, тяжести и давления. Нагрев и испарение капель горючего в ЖП описывается моделью [20], в которой предполагается, что на поверхности капли достигается фазовое равновесие. Движущаяся капля претерпевает дробление, когда ее число Вебера (We) превышает критическое значение Wecr ≈ 12, где
(1)
Здесь s – коэффициент поверхностного натяжения жидкости, r – плотность газа, U – относительная скорость газа и капли. Дробление капель описывается моделью WAVE [21], согласно которой в течение характерного времени дробления tb радиус капли r непрерывно уменьшается до некоторого устойчивого значения rs:
(2)
где tb – характерное время дробления. В соответствии с изложенным в работе [12] за ударной волной, ведущей детонацию, tb ≈ 10 мкс и rs ≈ 30 мкм. Полученные изменения массы, количества движения и энергии одиночной капли в ЖП умножаются на N, берутся с обратным знаком и вносятся в виде источниковых членов в осредненные уравнения сохранения массы, количества движения и энергии для газовой фазы. Аналогичная процедура проводится для всех ЖП в потоке в каждый момент времени.
Для многомерных расчетов объемных химических источниковых членов, входящих в уравнения неразрывности химических компонентов и в уравнение энергии для газа, используется метод частиц [22–24], основанный на лагранжевом подходе к описанию переноса скалярных переменных (энергии и массовых долей химических компонентов). Этот метод заключается в том, что мгновенные локальные состояния турбулентного реагирующего течения представляются в виде большого набора взаимодействующих газовых псевдочастиц (ГП), обладающих индивидуальными свойствами (масса, скорость, энергия, концентрации компонентов и др.). Уравнения течения решаются численно с использованием метода Монте-Карло, причем пульсационная составляющая скорости каждой ГП рассчитывается с использованием генератора случайных чисел. Во время движения каждая ГП взаимодействует с окружающим газом. Обменные процессы каждой ГП (потоки массы и энергии) сосредоточены в локальной ячейке. Концентрация веществ и энергия в ГП изменяются за счет молекулярных диффузионных и тепловых потоков, а также за счет протекания химических реакций. Основные достоинства этого метода – возможность точного определения средних скоростей химических реакций с учетом конечных скоростей молекулярного смешения.
В расчетах используются глобальные кинетические схемы, описывающие окисление горючего; при этом параметры в законе Аррениуса зависят от температуры, давления и состава смеси. Для расчета задержек самовоспламенения в заданном диапазоне параметров течения составлены таблицы с зависимостями кинетических параметров реакций от температуры, давления и состава смеси.
Система определяющих уравнений замыкается калорическим и термическим уравнениями состояния идеального газа с переменной теплоемкостью, а также начальными и граничными условиями. Также используется k–ε-модель турбулентности, модель явного выделения фронта пламени и метод частиц. В качестве граничных условий на ограничивающих твердых стенках используются стандартные пристеночные функции: стенки считаются непроницаемыми, изотермическими и некаталитическими. На входе расчетной области ставятся условия постоянного расхода двухфазной смеси. На выходе из расчетной области ставятся условия статического атмосферного давления. Все теплофизические параметры газа и жидкости считаются переменными. Уравнения осредненного течения в сочетании с k–ε-моделью турбулентности решаются методом контрольных объемов [19, 25], уравнения для ЖП решаются явным методом, уравнения для ГП –методом Монте-Карло по явной разностной схеме.
Модель коагуляции капель
Для учета коагуляции капель при смесеобразовании (например, при гравитационной седиментации капель) нами разработана модель коагуляции по турбулентному кинетическому механизму, который доминирует в течениях неплотных двухфазных смесей в каналах [26]. Согласно этому механизму в двухфазном течении может сохраняться различие между скоростями капель и газа, т.е. полного увлечения частиц турбулентными пульсациями не происходит. Математическая модель коагуляции основана на ряде упрощающих допущений, а именно: 1) течение газа в канале одномерное и квазистационарное; 2) средняя скорость частиц не отличается от средней скорости газа; 3) размер частиц изменяется только вследствие коагуляции; 4) вероятность коагуляции частиц разного размера при столкновении равна единице; 5) вероятность коагуляции частиц одинакового размера равна нулю; 6) начальное распределение частиц задано. Принятые допущения позволяют записать следующее уравнение для числовой концентрации частиц n(D, x):
(3)
где β – скорость коагуляции по турбулентному кинетическому механизму [27]:
(4)
S(D1,D2) – площадь эффективного сечения “трубки столкновений”; w(D1,D2) – относительная скорость взаимодействующих частиц в турбулентном потоке.
Кинетика химических реакций
Для сокращения вычислительных ресурсов в расчетах, как правило, используются глобальные кинетические механизмы. В расчетах, обсуждаемых ниже, используется глобальный кинетический механизм окисления изооктана, состоящий из пяти реакций [28] с кинетическими параметрами, показанными в табл. 1:
Таблица 1. Параметры реакций (5)–(9)
Номер реакции | A, моль, л, с | E, ккал/моль |
(5) | 3.0 ∙ 1011/P0.13 при Т < 840 К 2.8 ∙ 1012 ∙ P0.31 при Т > 840 K | 28.5 45 |
(6) | 1 ∙ 1012/P | 42 |
(7) | 3.1 ∙ 1013/P | 50 |
(8) | 7 ∙ 1013/P 0.5 | 21 |
(9) | 8.5 ∙ 1012/P 1.5 | 21 |
Примечание: давление Р – в атмосферах.
(5)
(6)
(7)
(8)
(9)
Этот механизм удовлетворительно описывает задержки самовоспламенения [29] смесей углеводородных горючих с воздухом в интересном для практики диапазоне начальных давлений и температур.
ПОСТАНОВКА ЗАДАЧИ
Разработанная физико-математическая модель проверена путем сравнения результатов расчетов с экспериментальными данными из работы [30] по распространению детонации в двухфазной смеси изооктан–воздух в вертикальном канале квадратного сечения 53 × 53 мм длиной 4 м (рис. 1а). Эксперименты в [30] проводились с мелкими каплями изооктана (диаметром от 10 до 70 мкм и средним диаметром 30 мкм (кривая 0 на рис. 1б), получаемыми с помощью ультразвукового генератора капель. В эксперименте вертикальный канал сначала медленно (со скоростью около 1 м/c) заполнялся двухфазной смесью, а затем в него снизу перепускалась детонационная волна из трубы-предетонатора. Измеренное значение скорости детонации в стехиометрической двухфазной изооктано-воздушной смеси (1600–1700 м/с) оказалось существенно ниже термодинамической скорости детонации (1880 м/c).
В расчете для инициирования детонации у нижнего конца трубы размещается область длиной 140 мм, в которой задаются условия с повышенными давлением и температурой (выделена темным цветом на рис. 1а). Базовая расчетная сетка содержит 800 000 расчетных ячеек с характерным размером, равным 2 мм. В расчетах с более тонким пространственным разрешением используется расчетная сетка с характерным размером ячеек в 0.2 мм и общим количеством ячеек выше 20 млн.
Рис. 1. а – Схематическое изображение расчетной области – вертикального канала с вектором ускорения силы тяжести, направленным сверху вниз; б – массовое распределение капель изооктана по размерам: кривая 0 – эксперимент, кривые 1– 4 – расчет по модели коагуляции капель для разных сечений канала, цифры 1–4 соответствуют расстоянию от начала канала в метрах.
Расчеты проводятся как для условий стационарной продувки канала гетерогенной смесью, так и для изначально покоящейся гетерогенной смеси. В первом случае через нижний конец канала подается смесь монодисперсных капель изооктана с воздухом. Время продувки канала – около 4 с, а общее время обеспечивает продувку канала не менее чем двукратным объемом смеси. В расчетах с продувкой канала начальное значение степени Ω предварительного испарения капель равно нулю по всей высоте канала, а конечное значение Ω изменяется по высоте канала и может достигать 60% вследствие испарения капель. Во втором случае, когда учитывается коагуляция частиц, полидисперсная капельная смесь изначально покоится, а значение Ω принимается постоянным по всей высоте канала.
В табл. 2 приведены значения параметров расчетов, проведенных в данной работе, где Тb – температура кипения, d – начальный диаметр капель, Ф – суммарный коэффициент избытка горючего (с учетом горючего в жидкой и газовой фазах) и Ω – степень предварительного испарения капель.
Таблица 2. Значения параметров расчетов
№ | Тb, °С | d, мкм | Ф | Ω, % | Примечание |
1 | 99.3 | 150, 400 | 0.6–1.8 | 0 | продувка |
2 | 99.3 | коагуляция | 1,0 | 0–20% | смесь покоится |
РЕЗУЛЬТАТЫ РАСЧЕТОВ И ИХ ОБСУЖДЕНИЕ
Характеристики исходной горючей смеси перед инициированием детонации
Исходная горючая смесь в расчетах с продувкой (№1 в табл. 2) формируется в процессе стационарной продувки вертикального канала капельно-воздушной смесью со скоростью 1 м/с при комнатной температуре, как и в работе [30], где на основе измерений утверждается, что средний размер капель на выходе из форсунки-распылителя в самом низу канала близок к 30 мкм. Однако результаты наших расчетов с продувкой канала газовзвесью из таких мелких капель изооктана показывают, что они успевают полностью испариться, не достигнув верхнего конца канала. Если бы в эксперименте капли полностью испарялись, измеренная скорость детонации должна была быть близкой к термодинамической скорости, составляющей 1880 м/c, а не отличаться от нее на 10%.
Наше объяснение полученного противоречия состоит в том, что в экспериментах продувка канала капельной газовзвесью, по-видимому, сопровождалась коагуляцией капель с образованием более крупных фракций. Наш расчет показывает, что без учета коагуляции даже капли изооктана с начальным диаметром 120 мкм успевают полностью испариться до достижения верхнего конца канала. Если же в канал подавать капли диаметром 150 мкм, то их размер в верхнем выходном сечении канала составит 30–40 мкм, т.е. они испарятся почти полностью. При подаче же в канал капель диаметром 400 мкм их конечный диаметр составит около 300 мкм, а доля испарившегося горючего, увеличиваясь по высоте канала, достигнет Ω = 60%. Таким образом, чтобы в канале перед инициированием детонации находилась двухфазная горючая смесь, характерный диаметр капель в смеси должен быть не меньше 150–400 мкм. Для дальнейшего анализа важно также отметить следующее. Расчеты продувки канала изначально монодисперсной двухфазной смесью с каплями размером 150–400 мкм показывают, что массовая концентрация горючего распределяется по сечению канала неравномерно: в окрестности стенок она выше, чем в центральной части канала. Этот эффект вызван неравномерными профилями скоростей газа и капель вследствие торможения потока на стенках канала.
Характеристики исходной горючей смеси в расчетах с изначально покоящейся двухфазной средой (№ 2 в табл. 2) задаются с использованием модели коагуляции капель (см. п. 2.2), примененной к условиям экспериментов [30]. В предварительном расчете продувки вертикального канала со скоростью 1 м/с определены средние значения кинетической энергии турбулентности и ее диссипации, необходимые для расчета коагуляции капель: k = 0.01 м2/с2 и ε = 0.2 м2/с3. Далее проводится модельный (одномерный) расчет течения двухфазной смеси в канале с учетом коагуляции капель, причем начальное распределение капель по размерам у нижнего конца канала соответствует экспериментально измеренному распределению капель со средним диаметром 30 мкм и шириной от 10 до 70 мкм (см. кривую 0 на рис. 1б). Затем полученные в модельном расчете распределения капель по размерам используются для формирования начальных условий для многомерного газодинамического расчета: вертикальный канал разбивается на конечное количество интервалов длины (в нашем случае 10) с разным начальным распределением капель по размерам. Наконец, вводится допущение, что при заполнении канала происходит частичное испарение капель, составляющее например, в среднем 10% от их первоначальной массы. Чтобы учесть такое предварительное испарение, на каждом интервале длины канала 10% массы жидкости переводится в паровую фазу, что приводит к появлению парциального давления пара в 30–50% от давления насыщения при заданной температуре. Отметим, что в расчетах с продувкой степень предварительного испарения увеличивается по высоте канала, т.е. не является заданной постоянной величиной.
Из рис. 1б следует, что при учете коагуляции максимальный диаметр капель может достигать 1000 мкм (см. кривую 4 на рис. 1б), а максимальная масса жидкости сосредоточена в каплях диаметром 80–90 мкм на высоте канала 1 м, 400 мкм на высоте 2 м, 500–600 мкм на высоте 3 м и 900–1000 мкм на высоте 4 м. Следует отметить, что максимальная числовая плотность на всех выделенных участках канала достигается для капель диаметром менее 100 мкм.
Инициирование детонации и выход на установившийся режим
После формирования в канале двухфазной капельной смеси проводится инициирование детонации. Расчетная процедура инициирования заключается в моментальном размещении ограниченной области с высокими значениями давления (10 МПа) и температуры (3000 К) вблизи нижнего закрытого конца канала. На рис. 2 показан пример расчетной зависимости скорости детонации от пройденного расстояния вверх по каналу для стехиометрической двухфазной изооктано-воздушной смеси с монодисперсными каплями начального диаметра 400 мкм. Видно, что после инициирования детонация распространяется в пересжатом режиме с постепенным снижением скорости до стационарного значения ~1690 м/с. Эта скорость приблизительно на 200 м/с (на 10%) ниже, чем термодинамическая скорость Чепмена–Жуге (ЧЖ) для гомогенной изооктано-воздушной смеси (DCJ = 1880 м/с). Снижение скорости детонации по сравнению с термодинамическим значением связано с двухфазными потерями, вызванными значительной неоднородностью параметров в зоне реакции детонационной волны, недогоранием смеси, а также потерями количества движения и энергии на стенках канала [31].
Рис. 2. Расчетное изменение скорости фронта детонационной волны вдоль вертикального канала, заполненного стехиометрической изооктано-воздушной смесью. Расчет проведен для условий, полученных путем продувки канала изначально монодисперсной двухфазной смесью с каплями диаметром 400 мкм. Горизонтальная штриховая линия соответствует термодинамической скорости детонации ЧЖ.
Структура детонационной волны
На рис. 3 показаны мгновенные расчетные распределения массовой доли паров горючего, температуры и давления, а также условная зона реакции в установившейся детонационной волне, бегущей по обедненной горючим (Ф = 0.7, рис. 3а), стехиометрической (Ф = 1, рис. 3б) и обогащенной горючим (Ф = 1.8, рис. 3в) двухфазным смесям. Условная зона реакции и детонационной волны – это зона, внутри которой разность скоростей детонации и спутного потока меньше местной скорости звука, а на краях выполняется условие ЧЖ. Минимальный продольный размер зоны реакции достигается в детонационной волне, бегущей по смеси, обогащенной горючим, что хорошо согласуется с теорией [12]. Такая волна распространяется благодаря быстрому самовоспламенению и выгоранию ударно-сжатой смеси предварительно испаренного горючего с воздухом почти равномерно по всему поперечному сечению канала: массовая доля паров горючего за фронтом детонационной волны быстро уменьшается практически до нуля, приводя к выполнению условия ЧЖ. В работе [12] такой механизм распространения гетерогенной детонации назван кинетическим. Далее оставшееся в жидкой фазе горючее испаряется в продуктах детонации и относительно медленно догорает в диффузионном режиме при смешении с оставшимся воздухом, приводя к некоторому повышению температуры. Как и следовало ожидать, в продуктах реакции остается много непрореагировавшего горючего.
Рис. 3. Расчетные распределения температуры, давления и массовой доли паров горючего при распространении гетерогенной детонации снизу вверх в вертикальном канале при разном начальном составе смеси: а – Ф = 0.7, б – Ф = 1.0, в – Ф = 1.8. Расчет проведен для условий, полученных продувкой канала изначально монодисперсной двухфазной смесью воздуха с каплями изооктана диаметром 400 мкм. Белым цветом на нижних рисунках условно показана зона реакции в детонационной волне, внутри которой разность скоростей детонации и спутного потока меньше местной скорости звука, а на краях выполняется условие ЧЖ.
В смесях, обедненных горючим, зона реакции занимает только часть сечения канала. Ввиду повышенных концентраций паров горючего у стенок канала реакция протекает быстрее в пристеночных областях, где формируются лидирующие точки детонационной волны. В центральной части канала капли сгорают в относительно медленном диффузионном режиме. В работе [12] такой механизм распространения гетерогенной детонации назван диффузионным. Но несмотря на то, что суммарный состав смеси обеднен горючим, за лидирующим фронтом волны при этом формируются локальные области со смесью, обогащенной горючим.
По структуре зоны реакции смесь суммарного стехиометрического состава можно рассматривать как некоторую промежуточную между смесями, обедненными и обогащенными горючим. Так же как и в богатой смеси, здесь имеется область быстрого сгорания паров горючего за лидирующим фронтом волны, а так же, как в бедной смеси, имеются области с диффузионным горением капель внутри зоны реакции. Как и для смеси с составом, суммарно обедненным горючим, в суммарно стехиометрической смеси наблюдаются локальные области со смесью, обогащенной горючим. В работе [12] такой механизм распространения гетерогенной детонации назван диффузионно-кинетическим.
Скорость распространения детонации
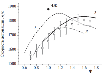
На рис. 4 приведено сравнение рассчитанных нами и измеренной в работе [30] зависимостей скорости стационарной гетерогенной детонации от суммарного коэффициента избытка горючего в двухфазной изооктано-воздушной смеси с разными исходными распределениями капель по размерам: получаемыми при продувке канала монодисперсными каплями начальных диаметров 150 и 400 мкм и по модели коагуляции полидисперсными каплями с условной степенью предварительного испарения Ω = 10%. Скорость детонационной волны определяется, начиная с расстояния, на котором она устанавливается на постоянном среднем уровне (см. рис. 2), а именно на расстоянии от 2.5 до 4 м от места инициирования.
Рис. 4. Сравнение расчетных (кривые) и измеренной (квадраты) зависимостей скорости детонации в двухфазной изооктано-воздушной смеси от суммарного коэффициента избытка горючего. Расчеты проведены для условий, полученных путем продувки канала изначально монодисперсными двухфазными смесями с каплями диаметром 150 (кривая 1) и 400 мкм (кривая 2) и для условий с начальной полидисперсной двухфазной смесью, учитывающей коагуляцию капель при продувке канала (кривая 3). Черная точка соответствует термодинамической скорости детонации ЧЖ.
Из рис. 4 следует, что результаты расчетов с учетом коагуляции очень хорошо согласуются с экспериментальными данными до Ф = 1.3, а с последующим увеличением Ф расчетная скорость детонации становится ниже измеренной. Последнее, по-видимому, связано с принятой низкой и постоянной степенью предварительного испарения жидкости (Ω = 10%), что косвенно подтверждается хорошим согласием расчета с экспериментом для капель начальным диаметром 400 мкм. Напомним, что для таких капель значение Ω получалось из расчета продувки канала и непрерывно увеличивалось по высоте канала, достигая 60%. Что касается расчета для капель с начальным диаметром 150 мкм, то, как отмечалось выше, для таких капель при продувке канала Ω ≈100%. Поэтому неудивительно, что расчетная скорость детонации для двухфазной смеси с такими каплями оказывается выше измеренных значений и приближается к термодинамическому значению скорости детонации ЧЖ.
ЗАКЛЮЧЕНИЕ
Разработана методика многомерного расчета гетерогенной детонации в системах жидкое горючее – газообразный окислитель. Методика основана на решении осредненных по Фавру уравнений сохранения массы, количества движения и энергии для двухфазного двухскоростного и двухтемпературного течения. Течение дисперсной фазы моделируется с использованием лагранжева метода с учетом движения, дробления, нагрева и испарения капель жидкого горючего в турбулентном сжимаемом газовом потоке. Для моделирования вклада газофазных химических реакций с учетом конечных скоростей турбулентно-молекулярного смешения используется метод Монте-Карло с глобальным кинетическим механизмом окисления углеводородов. Достоверность методики проверена путем сравнения результатов расчетов с экспериментальными данными по инициированию и распространению детонации в двухфазной изооктано-воздушной смеси в вертикальном канале квадратного сечения. Показано, что при моделировании эксперимента необходимо учитывать предысторию формирования горючей смеси, в частности возможность коагуляции капель при заполнении канала. Снижение скорости гетерогенной детонации по сравнению с ее термодинамическим значением связано с двухфазными потерями, вызванными значительной неоднородностью параметров в зоне реакции детонационной волны, недогоранием смеси, а также потерями количества движения и энергии на стенках канала. Получены данные о структуре фронта гетерогенной детонации. Показано, что детонация богатых двухфазных смесей более устойчива, чем детонация стехиометрических и бедных двухфазных смесей.
Работа выполнена при поддержке Российским научным фондом (проект № 23-23-00364).
Об авторах
В. С. Иванов
Федеральный исследовательский центр химической физики им. Н.Н. Семёнова Российской академии наук
Email: smfrol@chph.ras.ru
Россия, Москва
С. М. Фролов
Федеральный исследовательский центр химической физики им. Н.Н. Семёнова Российской академии наук; Национальный исследовательский ядерный университет “МИФИ”
Автор, ответственный за переписку.
Email: smfrol@chph.ras.ru
Россия, Москва; Москва
Список литературы
- Roy G.D., Frolov S.M., Borisov A.A., Netzer D.W. // Progr. Energy Combust. Sci. 2004. V. 30. Issue 6. P. 54.
- Фролов С.М., Аксёнов В.С., Иванов В.С., Шамшин И.О., Набатников С.А. // Горение и взрыв. 2019. Т. 12. №1. С. 63.
- Быковский Ф. А., Ждан С.А. Непрерывная спиновая детонация. Новосибирск: ИГиЛ СО РАН, 2013.
- Фролов С.М., Иванов В.С., Шамшин И.О. и др. // Горение и взрыв. 2022. Т. 15. №1. С.67.
- Фролов С.М., Иванов В.С. // Хим. физика. 2021. T. 40. № 4. C. 68.
- Smirnov N., Nikitin V., Dushin V.R. et al. // Acta Astronautica. 2015. V. 115. P. 94.
- Fedorov A., Khmel T.A. // Combust. Explos. Shock Waves. 2005. V. 41. P. 435.
- Dabora E.K., Weinberger L.P. // Acta Astronautica. 1974. V. 1. P. 361.
- Митрофанов В.В. Детонация гомогенных и гетерогенных систем. Новосибирск: Изд-во Ин-та гидродинамики им. М. А. Лаврентьева СО РАН, 2003.
- Kailasanath K. // AIAA J. 2003. V. 41. №2. P. 145.
- Tangirala V., Dean A., Peroomian O., Palaniswamy S. // Proc. 45th AIAA Aerospace Sciences Meeting and Exhibit. V. 24. Reno, NY, 2007. P. 1173. doi: 10.2514/6.2007-1173
- Frolov S.M., Posvyanskii V.S. // Explosion Dynamics and Hazardss Eds. by Frolov S.M., Zhang F., Wolanski P. Moscow: Torus Press, 2010. P. 337.
- Meng Q., Zhao M., Xu Y., Zhang, L., Zhang H. doi: 10.48550/arXiv.2209.11913. 2022
- Jourdaine N., Tsuboi N., Hayashi A.K. // Combust. And Flame. 2022. V. 244. P. 112278.
- Иванов В.С., Фролов С.М. // Горение и взрыв. 2010. № 3. C. 63–70.
- Ivanov V.S., Shamshin I.O., Frolov S.M. // Energies. 2023. V. 16. P. 7028.
- Фролов С.М., Аксёнов В.С., Шамшин И.О. // Хим. физика. 2017. T. 36. № 6. C. 34.
- Tannehill J.C., Dale A.A., Pletcher R.H. Computational fluid mechanics and heat transfer. Washington DC: Taylor and Francis, 1997.
- Versteeg H.K., Malalasekera W. An introduction to computational fluid dynamics: the finite volume method. London: Longman Scientific and Technical, 2007.
- Dukowicz J. K. Quasi–steady droplet change in the presence of convection Los Alamos: University of California, 1979.
- Reitz R.D. // Atomisation Spray Technology. 1987. V. 3(4). P. 309.
- Pope S.B. // Prog. Energy Combust. Sci. 1985. V. 11. № 2. P. 119.
- Frolov S.M., Ivanov V.S., Basara B., Suffa M. // J. Loss Prevention Process Industries. 2013. V. 26. P. 302.
- Frolov S.M., Ivanov V.S. // Deflagrative and detonative combustion / Eds. Roy G., Frolov S. Moscow: Torus Press, 2010. P. 133.
- Mangani L., Bianchini C. // Proc. OpenFOAM International Conference. V. 1. 2007. P. 1; https://flore.unifi.it/retrieve/handle/2158/418277/15222/OFIC-07.pdf
- Авдеев К.А., Иванов В.С., Фролов С.М., Basara B., Priesching P., Suffa M. // Горение и взрыв. 2012. T. 5. C. 91.
- Пискунов В.Н. Теоретические модели кинетики формирования аэрозолей. Саров: РФЯЦ-ВНИИЭФ, 2000.
- Басевич В.Я., Беляев А.А., Медведев С.Н., Посвянский В.С., Фролов C.М. // Горение и взрыв. 2015. Т. 8. № 1. C. 21.
- Naik C., Westbrook, C.K., Herbinet O. Pitz W. Mehl M. // Proc. Combust. Inst. 2011 V. 33. P. 383.
- Wu Z., Mao Y., Yu L., Qian Y., Lu, X. // Combust. and Flame. 2021. V. 228. P. 302.
- Фролов С.М., Поленов А.Н., Гельфанд Б.Е., Борисов А.А. // Хим. физика. 1986. T. 5. №7. C 978.
Дополнительные файлы






