Orientational isomerism in water clusters (h2o)n = 2–5, corresponding to the complete set of oriented graphs
- Authors: Shirokova E.A.1, Ignatov S.K.1
-
Affiliations:
- Lobachevsky State University of Nizhni Novgorod
- Issue: Vol 43, No 10 (2024)
- Pages: 21-35
- Section: СТРОЕНИЕ ХИМИЧЕСКИХ СОЕДИНЕНИЙ, КВАНТОВАЯ ХИМИЯ, СПЕКТРОСКОПИЯ
- URL: https://ogarev-online.ru/0207-401X/article/view/281900
- DOI: https://doi.org/10.31857/S0207401X24100028
- ID: 281900
Cite item
Full Text
Abstract
On the basis of quantum-chemical calculation X3LYP/6-311++G(2d, 2p) for orientational isomers of water clusters (H2O)n = 2–5, corresponding to the full set of oriented graphs with the number of vertices from 2 to 5, thermodynamic functions and concentrations of clusters in the gas phase have been determined. It is found that the phenomenon of orientational isomerism of water clusters must be taken into account to correctly estimate the gas-phase concentrations. For the full set of orientational isomers, the concentration of water clusters in the gas phase in saturated vapor under standard conditions is 1–2 orders of magnitude higher than the concentrations calculated only for the lowest-energy structures.
Full Text
1. ВВЕДЕНИЕ
В атмосфере Земли в малых концентрациях содержится множество веществ, которые играют важную роль в многочисленных физических и химических процессах и потому представляют большой интерес для изучения [1–3]. Одними из таких компонентов атмосферы являются кластеры воды, которые влияют на радиационный перенос, формирование и изменение климата, участвуют в поглощении электромагнитного излучения, представляют собой ядра конденсации, взаимодействуют со следовыми газами и принимают участие в образовании радикалов [4–6]. Имеются данные о способности кластеров воды в десятки и сотни раз ускорять газофазные химические реакции, в частности реакции гидролиза и гидратации, вследствие чего они могут протекать по совершенно иным механизмам, чем при участии одиночных молекул воды [7–11]. Для понимания механизмов перечисленных процессов и явлений важна корректная оценка термодинамических свойств и газофазных концентраций водных кластеров. Однако изучение свойств кластеров воды осложняется существованием большого числа изомерных структур, которое резко возрастает с увеличением размера кластера.
У каждой молекулы воды в кластере есть возможность образовывать от одной до четырех водородных связей; при этом для двух связей она может выступать донором протона, а для других двух – акцептором. Различные варианты расположения водородных связей обуславливают значительное структурное многообразие кластеров. Для кластера, состоящего из n молекул воды, возможны два типа изомерии:
1) изомерия кислородного “скелета” (рис. 1а) – структуры, образованной атомами кислорода;
2) ориентационная изомерия, которая возникает за счет разной ориентации молекул воды в рамках каждого кислородного “скелета” (рис. 1б).
Рис. 1. Виды изомерии кластеров воды: a – три типа кислородных “скелетов” для гексамера воды, б – некоторые из возможных ориентационных изомеров для одного кислородного “скелета”.
Ориентационная изомерия подчиняется правилам, аналогичным правилам Бернала–Фаулера для кристаллов льда. В идеальном кристалле льда каждая молекула воды связана водородными связями с четырьмя другими молекулами и каждой связи принадлежит только один атом водорода [12]. Для газофазных кластеров воды эти правила можно сформулировать следующим образом: каждая молекула воды связана водородными связями не более чем с четырьмя другими молекулами и каждой связи принадлежит только один атом водорода; каждый атом водорода участвует в формировании только одной водородной связи.
В настоящее время проведены обширные исследования кластеров воды как экспериментальными, так и теоретическими методами [13, 14]. Теоретические исследования водных кластеров (в том числе кластеров с включением других молекул) представлены в первую очередь методами квантовой химии [15–19] и молекулярной динамики [20–26]. Молекулярное моделирование с использованием эмпирических потенциалов демонстрирует значительное многообразие водных кластеров, однако явление ориентационной изомерии детально рассматривается лишь в небольшом числе работ [26–30], причем влияние ориентационной изомерии на концентрации кластеров в этих работах не исследуется. В работе [31] было показано, что ориентационная изомерия существенно влияет на способность кластеров льда (H2O)11 адсорбировать молекулы пероксида водорода, изменяя энергию адсорбции на 10–15%. Необходимость учитывать различные возможные изомеры при описании атмосферных процессов ранее отмечалась и для других компонентов атмосферы, в частности для интермедиатов Криге [32].
Таким образом, несмотря на значительное число исследований свойств кластеров воды, вопрос о способе оценки термодинамических функций кластеров, способных к ориентационной изомерии (что необходимо для определения газофазных концентраций кластеров), в настоящее время остается открытым. Средние значения термодинамических функций можно получить по результатам молекулярного моделирования на основе теории функционала плотности или потенциалов ab initio, однако это требует слишком больших вычислительных затрат. Современные хорошо откалиброванные классические потенциалы (в частности, HHB2-pol и MB-pol) хорошо “работают” в случае кластеров из нейтральных молекул воды, но в случае ионизированных систем или присутствия в кластере посторонней адсорбированной молекулы примеси они становятся неприменимыми. Для таких случаев классический квантовохимический расчет остается единственным надежным способом оценки термодинамических функций. Однако стандартный подход, когда физико-химические параметры определяются для небольшого числа наиболее низкоэнергетических структур, представляется не вполне верным, поскольку в нем не учитывается потенциальный разброс параметров изомерных структур. Чтобы прояснить этот вопрос, необходимо рассмотреть плотность состояний для всего набора структур, возникающих вследствие ориентационной изомерии.
Ранее нами были рассмотрены наборы ориентационных изомеров для ограниченного числа кислородных “скелетов” гексамера воды. Было показано, что даже высокоэнергетические изомеры вносят существенный вклад в газофазные концентрации кластеров [33]. В настоящей работе мы расширяем это исследование на полный набор кислородных “скелетов”. Для определения газофазных концентраций нейтральных кластеров воды рассматриваются все возможные ориентационные изомеры кластеров размером от двух до пяти молекул.
2. МЕТОДОЛОГИЯ РАСЧЕТОВ
Генерация исходных структур
Ориентационные изомеры кластеров воды можно представить в виде связных ориентированных графов [34–36]: каждая из вершин орграфа соответствует молекуле воды в составе кластера, каждой водородной связи соответствует ребро орграфа, направленное от донора протона к акцептору (рис. 2).
Рис. 2. Представление водородных связей в кластере воды как направленных ребер орграфа (по [30]).
Списки связных неориентированных графов с числом вершин от 2 до 10 в формате g6, полученные Брэнданом Маккеем, представлены на сайте [37]. Для дальнейшей работы с помощью оригинальной программы, написанной на языке Python, были отобраны графы с числом вершин от 2 до 5 (соответствующие кластерам от димера до пентамера включительно) и степенью каждой вершины не более 4 (что обеспечивает выполнение модифицированных для газофазных кластеров воды правил Бернала–Фаулера). Для n = 2, 3, 4, 5 заданным условиям удовлетворяют 1, 2, 6, 21 граф, соответственно; отобранные графы приведены на рис. 3. Связные неориентированные графы (и соответствующие им кислородные “скелеты”), рассматриваемые в работе, обозначаются как (v-e-m), где v – число вершин графа (число молекул воды в кластере), e – число ребер графа (число водородных связей в кластере), m – порядковый номер, который присваивается каждому кластеру (H2O)n в пределах одного n.
Рис. 3. Связные неориентированные графы, соответствующие рассматриваемым в работе кластерам воды.
Представление кислородного “скелета” в виде графа содержит лишь информацию о наличии или отсутствии водородной связи между каждой парой вершин, но не о геометрическом расположении вершин и длинах связей. Для перехода от графов к координатам атомов вершинам графа присваивались пространственные координаты (так, что все вершины оказывались лежащими на сфере) и ставились в соответствие атомы; для каждой связанной ребром пары вершин задавался потенциал Леннарда–Джонса с параметрами σ = 2.8 и ε = 10 в усл. ед, для каждой несвязанной пары – отталкивательная часть этого же потенциала. После этого с помощью программы глобальной оптимизации Globus [38, 39] проводилась процедура поиска структуры, обеспечивающей глобальный минимум энергии. В результате для каждого графа был получен трехмерный кислородный “скелет”, представленный набором декартовых координат для каждого из атомов кислорода.
Для генерации ориентационных изомеров использовался алгоритм watercluster2 [34] из набора программ nauty и Traces [40]. С помощью этого алгоритма был получен список всех возможных орграфов с 2–6 вершинами, удовлетворяющих следующим условиям:
– орграф является связным;
– максимальная входящая степень каждой вершины равна двум;
– максимальная исходящая степень каждой вершины равна двум;
– максимальное число ребер между любыми двумя вершинами равно единице.
Данный набор условий обеспечивает генерацию орграфов, которые соответствуют “химически правильным” кластерам воды. Полученные орграфы были обработаны с помощью оригинальной программы на языке Python, которая анализирует каждый граф и в зависимости от расположения его ребер дополняет координаты атомов соответствующего кислородного “скелета”, полученные на предыдущем шаге, координатами атомов водорода, которые рассчитываются, исходя из тетраэдрического представления молекулы воды. Таким образом были получены все возможные в рамках теории графов изомеры для кластеров (H2O)n = 2–5. Число возможных кислородных “скелетов” и ориентационных изомеров для кластеров воды рассматриваемых размеров представлено в табл. 1.
Таблица 1. Число возможных изомеров для кластеров воды (H2O)n размером от двух до пяти молекул (по [30])
n | Число возможных кислородных “скелетов” | Число возможных ориентационных изомеров |
2 | 1 | 1 |
3 | 2 | 5 |
4 | 6 | 22 |
5 | 21 | 161 |
Расчет термодинамических параметров кластеров
Функционал и набор базисных функций для дальнейших квантовохимических расчетов были выбраны на основе специального исследования эффективности метода DFT с функционалами B3LYP, X3LYP, PBE0, M05-2X, M06, M06-2X и M11 и различными наборами базисных функций. Эффективность оценивалась путем сравнения результатов расчетов с вышеуказанными функционалами с результатами расчетов методами MP2 и CCSD(T) (базисный набор aug-cc-pVTZ) для выбранных структур мономера, димера и тримеров воды. В табл. 2 показано среднеквадратичное отклонение (RMSD) результатов различных вариантов DFT от результатов MP2 и CCSD(T) при расчете энергии образования кластера из молекул воды. На основе приведенных данных для дальнейших расчетов был выбран уровень теории X3LYP/6-311++G(2d, 2p), который обеспечивает оптимальное соотношение точности и вычислительных затрат.
Квантовохимические расчеты проводились с использованием программы Gaussian 03 [41]. Термодинамические функции рассчитывались в приближении “жесткий ротатор – гармонический осциллятор” для состояния идеального газа. Визуализация результатов осуществлялась с помощью программ Chemcraft [42] и Moltran [43].
Таблица 2. Рассчитанные значения ΔrE реакции образования кластера из отдельных молекул воды (в скобках приведены значения, рассчитанные с применением коррекции BSSE)
Метод | ΔrE, ккал/моль | RMSD | |||||
2-1-1 | 3-2-1 (1)* | 3-2-1 (2)* | 3-2-1 (3)* | 3-3-2 (1)* | 3-3-2 (2)* | ||
CCSD(T)/aug-cc-pVTZ//MP2/aug-cc-pVTZ | −5.22 (−4.74) | −9.38 (−8.46) | −16.27 (−14.96) | −9.37 (−8.47) | −16.27 (−14.96) | −15.47 (−14.20) | 0.00 (0.00) |
B3LYP/6-311++G(2d,2p) | −4.97 (−4.57) | −8.71 (−7.98) | −15.33 (−14.30) | −8.75 (−8.01) | −15.33 (−14.30) | −14.42 (−13.43) | 0.79 (0.57) |
B3LYP/aug-cc-pVTZ | −4.57 (−4.52) | −7.94 (−7.84) | −14.35 (−14.20) | −7.99 (−7.87) | −14.35 (−14.20) | −13.53 (−13.39) | 1.61 (0.66) |
B3LYP/cc-pVQZ | −5.32 (−4.52) | −9.48 (−7.77) | −16.70 (−14.51) | −9.22 (−7.75) | −16.70 (−14.51) | −15.69 (−13.68) | 0.28 (0.54) |
MP2/6-311++G(2d,2p) | −5.36 (−4.45) | −9.55 (−7.87) | −16.49 (−13.95) | −9.61 (−7.90) | −16.49 (−13.95) | −15.66 (−13.22) | 0.20 (0.79) |
MP2/aug-cc-pVTZ | −5.18 (−4.71) | −9.25 (−8.34) | −16.29 (−14.96) | −9.27 (−8.36) | −16.29 (−14.96) | −15.53 (−14.25) | 0.07 (0.07) |
MP2/cc-pVQZ | −5.49 (−4.68) | −9.88 (−8.19) | −17.45 (−15.14) | −9.68 (−8.18) | −17.45 (−15.14) | −16.52 (−14.43) | 0.85 (0.22) |
PBE0/6-311++G(2d,2p) | −5.40 (−4.97) | −9.58 (−8.77) | −16.74 (−15.59) | −9.60 (−8.77) | −16.74 (−15.59) | −15.76 (−14.65) | 0.33 (0.45) |
PBE0/aug-cc-pVTZ | −4.98 (−4.92) | −8.75 (−8.62) | −15.68 (−15.50) | −8.76 (−8.63) | −15.68 (−15.50) | −14.79 (−14.61) | 0.58 (0.37) |
PBE0/cc-pVQZ | −5.63 (−4.90) | −10.06 (−8.54) | −17.72 (−15.73) | −9.79 (−8.48) | −17.72 (−15.73) | −16.66 (−14.85) | 1.04 (0.52) |
M06-2X/6-311++G(2d,2p) | −5.54 (−5.12) | −10.01 (−9.22) | −17.84 (−16.76) | – (–) | – (−16.76) | −16.95 (−15.92) | 1.14 (1.43) |
M06-2X/aug-cc-pVTZ | −5.17 (−5.09) | – (–) | −17.03 (−16.82) | – (–) | – (−16.82) | −16.26 (−16.05) | 0.63 (1.62) |
M06-2X/cc-pVQZ | −5.55 (−5.01) | – (–) | −18.25 (−16.82) | – (–) | – (−16.82) | −17.33 (−16.04) | 1.58 (1.61) |
M06/6-311++G(2d,2p) | −5.27 (−4.90) | −9.31 (−8.62) | −17.26 (−16.29) | −9.31 (−8.63) | −17.27 (−16.29) | −16.37 (−15.42) | 0.68 (0.92) |
M06/aug-cc-pVTZ | −4.79 (−4.63) | −8.44 (−8.13) | −16.09 (−15.62) | −8.38 (–) | −16.09 (−15.62) | −15.30 (−14.83) | 0.60 (0.53) |
M06/cc-pVQZ | −5.16 (−4.51) | – (–) | −17.16 (−15.41) | −9.00 (−7.76) | −17.16 (−15.41) | −16.26 (−14.61) | 0.69 (0.48) |
M11/6-311++G(2d,2p) | −5.42 | −9.62 | – | −9.64 | −17.82 | −16.94 | 0.97 |
M11/aug-cc-pVTZ | −4.94 | −8.69 | −16.48 | −8.66 | −16.48 | −15.69 | 0.45 |
B3LYP-D3/6-311++G(2d,2p) | −5.70 | −10.23 | −17.66 | −10.31 | −17.66 | −16.70 | 1.10 |
PBE0-D3/6-311++G(2d,2p) | −5.87 | −10.54 | −16.73 | −10.59 | −18.18 | −17.18 | 1.29 |
X3LYP/6-311++G(2d,2p) | −5.36 | −9.48 | −16.45 | −9.52 | −16.45 | −15.53 | 0.14 |
M05-2X/6-311++G(2d,2p) | −5.51 | −9.92 | −17.50 | −9.93 | −17.50 | −16.62 | 0.92 |
B3LYP-D3/aug-cc-pVTZ | −5.30 | −9.45 | −16.67 | −9.54 | −16.67 | −15.80 | 0.28 |
PBE0-D3/aug-cc-pVTZ | −5.44 | −9.70 | −15.67 | −9.76 | −17.11 | −16.20 | 0.56 |
X3LYP/aug-cc-pVTZ | −4.95 | −8.68 | −15.45 | −8.73 | −15.45 | −14.63 | 0.71 |
M05-2X/aug-cc-pVTZ | −5.24 | −9.36 | −16.92 | −9.34 | −16.92 | −16.15 | 0.47 |
Примечание: прочерк означает, что геометрическое строение кластера после оптимизации не совпало с геометрическим строением, полученным в расчете методом CCSD(T)/aug-cc-pVTZ// MP2/aug-cc-pVTZ.
* В скобках пронумерованы различные ориентационные изомеры, соответствующие одному кислородному “скелету”.
Для каждого ориентационного изомера выбранным методом были оптимизированы геометрические параметры и рассчитаны гармонические колебательные частоты. Для каждого кластера вычислялись: Etot (полная энергия); Etot + ZPE (полная энергия с учетом энергии нулевых колебаний (zero-point energy (ZPE))); U°298 K, H°298 K, G°298 K (полная энергия с термическими поправками до стандартной внутренней энергии, энтальпии и энергии Гиббса, соответственно) и соответствующие термодинамические функции реакции образования кластера из отдельных молекул
(1)
(2)
Здесь Dre – один из термодинамических параметров (ΔrEtot, Δr(Etot + ZPE), DrU°298 K, DrH°298 K, DrG°298 K) реакции (1), e(H2O)n – соответствующий параметр для кластера (H2O)n, eH2O – для мономера H2O. Дополнительно рассчитывались соответствующие энергии связывания ΔbE, Δb(E + ZPE), ΔbU, ΔbH, ΔbG, определяемые как
(3)
Полученные для разных изомерных структур значения термодинамических параметров Dr e для каждого размера кластера усреднялись по формуле
(4)
где k – число изомерных структур, для которых проводится усреднение; R – универсальная газовая постоянная; T – температура. Данная формула (в отличие от простого среднего арифметического) позволяет учесть распределение кластеров по энергии в равновесных условиях.
Расчет газофазных концентраций кластеров
После определения энергий образования кластеров и их усреднения на основании изменения энергии Гиббса DrG°298 K реакции (1) рассчитывались константы равновесия и абсолютные равновесные концентрации кластеров (H2O)n в состоянии идеального газа.
Стандартная константа равновесия вычисляется по формуле
(5)
где aH2O и a(H2O)n – активности мономера воды и кластера (H2O)n соответственно.
Для компонента i в смеси газов ai = fi/P °, где P ° – стандартное давление, fi – летучесть, которая в случае идеального газа равна парциальному давлению Pi компонента i в смеси [44]. Тогда в выражении для константы равновесия (5) активности ai можно заменить на соотношения Pi /P °:
(6)
где P ° = 105 Па, PH2O – давление насыщенного водяного пара при T = 298.15 К (24 Торр или 3200 Па), n – число молекул в кластере. В то же время константа равновесия выражается следующим образом:
(7)
Выразим из формулы (6) давление кластеров воды и подставим в полученное выражение K ° из (7):
(8)
Тогда выражение для абсолютной концентрации кластеров воды можно записать в виде:
(9)
3. РЕЗУЛЬТАТЫ И ИХ ОБСУЖДЕНИЕ
Анализ геометрических параметров кластеров
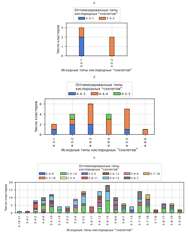
Для некоторых кластеров оптимизация геометрических параметров сопровождалась перестройкой кислородного “скелета”. При этом в случае n > 3 количество стабильных структур уменьшалось: для тетрамеров осталось только три типа “скелетов” из шести исходных, для пентамеров – 11 из 21. Это можно объяснить тем, что некоторые кластеры, полученные “математически” на основе теории графов, на самом деле нестабильны и поэтому склонны к перестроению в более энергетически выгодные структуры.
Анализ кластеров, кислородные “скелеты” которых перестроились в процессе оптимизации геометрических параметров, позволяет выделить в качестве дестабилизирующего фактора наличие в кластере молекул воды, оба атома водорода которых не участвуют в образовании водородных связей, что соответствует вершинам орграфа с исходящей степенью, равной нулю. Данный факт ранее отмечался для более крупных кластеров воды и нанотрубок из молекул воды [45, 46], а также согласуется с работой [47], в терминах которой такие молекулы считаются акцепторными. В подавляющем большинстве случаев при наличии одной или нескольких таких молекул в кластере оптимизация геометрических параметров приводит к перестройке кислородного “скелета”.
Графы, соответствующие “скелетам”, которые остались после оптимизации, приведены на рис. 4.
Рис. 4. Неориентированные графы, которые реализуются для кластеров воды (H2O)n, n = 2–5.
На рис. 5 приведены диаграммы, отображающие структурные преобразования кислородных “скелетов” в ходе оптимизации геометрических параметров кластеров. Вдоль горизонтальной оси отмечены исходные типы кислородных “скелетов”, а разными цветами показаны типы конечных структур. Самыми многочисленными конфигурациями среди оптимизированных кластеров для n = 3, 4, 5 стали “скелеты” 3-3-2, 4-4-4 и 5-5-14, которые соответствуют циклическому строению кластеров. Это согласуется с имеющимися результатами других исследований, где было показано, что для водных кластеров такого размера преобладают циклические структуры. Также можно отметить, что среди реализуемых конфигураций помимо циклических изомеров преобладают структуры, которые представляют собой различные комбинации трех- и четырехчленных циклов, т.e. их строение сводится к более простым низкоэнергетическим структурным элементам. Линейные фрагменты в оптимизированных кластерах встречаются относительно редко.
Рис. 5. Анализ преобразований кислородных “скелетов” в ходе оптимизации геометрии кластеров (H2O)n: a – n = 3, б – n = 4, в – n = 5.
Рис. 6. Распределение кластеров (H2O)n (n = 2–5) по энергии связывания ΔbE.
Рис. 7. Изомеры с наименьшим значением ΔbE для каждого кислородного “скелета”; длины связей приведены в Å.
Термодинамические свойства кластеров
На рис. 6 представлено распределение всех оптимизированных кластеров по энергии связывания ΔbE. Данное распределение для n = 4, 5 существенно отличается от гауссова; помимо диапазона энергий, в который попадает большинство структур, имеется длинный “хвост” с более высокоэнергетическими структурами. Видно, что с увеличением n ожидаемо растет медианное абсолютное значение энергии связывания в кластере, что объясняется увеличением числа водородных связей.
В табл. 3 приведены термодинамические параметры для самых низкоэнергетических изомеров каждого кислородного “скелета”. Наименьшая энергия связывания ΔbE наблюдается для циклических изомеров; для них также характерны наименьшие (среди кластеров с одинаковым n) значения Δb(E + ZPE), ΔbU, ΔbH, ΔbG. Структуры этих изомеров изображены на рис. 8.
Таблица 3. Термодинамические параметры самых низкоэнергетических изомеров для кислородных “скелетов” кластеров воды (H2O)n = 2–5
Кислородный “скелет” | ΔbE | Δb(E + + ZPE) | ΔbU | ΔbH | ΔbG |
2-1-1 | −2.68 | −1.58 | −1.54 | −1.84 | 1.26 |
3-2-1 | −3.17 | −1.89 | −1.69 | −2.09 | 1.98 |
3-3-2 | −5.48 | −3.61 | −3.85 | −4.24 | 1.33 |
4-4-3 | −5.48 | −3.63 | −3.68 | −4.13 | 1.72 |
4-4-4 | −7.29 | −5.17 | −5.45 | −5.89 | 0.72 |
4-5-5 | −5.83 | −3.83 | −4.00 | −4.45 | 1.93 |
5-4-9 | −3.70 | −2.28 | −1.92 | −2.39 | 2.26 |
5-5-10 | −5.20 | −3.39 | −3.33 | −3.80 | 2.08 |
5-5-14 | −7.67 | −5.56 | −5.76 | −6.23 | 0.68 |
5-5-4 | −5.57 | −3.73 | −3.69 | −4.17 | 1.88 |
5-5-5 | −6.72 | −4.71 | −4.81 | −5.28 | 1.19 |
5-6-11 | −6.59 | −4.47 | −4.63 | −5.10 | 1.72 |
5-6-12 | −5.80 | −3.83 | −3.87 | −4.35 | 2.09 |
5-6-15 | −7.29 | −5.15 | −5.35 | −5.83 | 1.20 |
5-6-6 | −5.87 | −3.90 | −3.94 | −4.41 | 2.04 |
5-6-7 | −7.25 | −5.06 | −5.30 | −5.77 | 1.39 |
5-7-18 | −6.00 | −3.88 | −4.02 | −4.49 | 2.45 |
В таблице 4 приведены термодинамические параметры каждого типа кислородного “скелета” рассматриваемых кластеров, усредненные по формуле (4). Усреднение термодинамических функций не повлияло на выбор самых низкоэнергетических изомеров, однако разброс между значениями параметров для кластеров одного размера заметно снизился по сравнению со значениями только для наиболее стабильных кластеров, что подтверждает предположение о существенном влиянии ориентационной изомерии кластеров воды на их физико-химические свойства.
Таблица 4. Усредненные по формуле (4) термодинамические параметры в ккал/моль для всех типов кислородных “скелетов” кластеров воды (H2O)n, n = 2–5
Тип кластера | N | ΔbE | Δb(E + + ZPE) | ΔbU | ΔbH | ΔbG |
2-1-1 | 1 | −2.68 | −1.58 | −1.54 | −1.84 | 1.26 |
3-2-1 | 2 | −3.17 | −1.89 | −1.68 | −2.07 | 1.91 |
3-3-2 | 3 | −5.41 | −3.56 | −3.78 | −4.18 | 1.37 |
4-4-3 | 6 | −5.39 | −3.57 | −3.61 | −4.05 | 1.72 |
4-4-4 | 14 | −7.13 | −5.05 | −5.30 | −5.75 | 0.79 |
4-5-5 | 2 | −5.83 | −3.83 | −4.00 | −4.45 | 1.93 |
5-4-9 | 1 | −3.70 | −2.28 | −1.92 | −2.39 | 2.26 |
5-5-10 | 1 | −5.20 | −3.39 | −3.33 | −3.80 | 2.08 |
5-5-14 | 50 | −7.65 | −5.54 | −5.74 | −6.21 | 0.69 |
5-5-4 | 3 | −5.43 | −3.63 | −3.58 | −4.05 | 1.87 |
5-5-5 | 14 | −6.66 | −4.68 | −4.76 | −5.24 | 1.21 |
5-6-11 | 18 | −6.54 | −4.43 | −4.58 | −5.09 | 1.75 |
5-6-12 | 4 | −5.71 | −3.76 | −3.79 | −4.27 | 2.11 |
5-6-15 | 36 | −7.14 | −5.01 | −5.21 | −5.68 | 1.30 |
5-6-6 | 3 | −5.85 | −3.88 | −3.92 | −4.40 | 2.04 |
5-6-7 | 25 | −7.21 | −5.04 | −5.26 | −5.74 | 1.41 |
5-7-18 | 6 | −5.92 | −3.82 | −3.95 | −4.42 | 2.48 |
Примечание: N – число ориентационных изомеров, найденных для данного типа кислородного “скелета”.
Концентрации кластеров в газовой фазе
Рассчитанные газофазные концентрации кластеров (H2O)n = 2–5 приведены в табл. 5. В этой таблице в столбце для Csum приводится суммарная концентрация изомерных кластеров заданного размера, Cmin – концентрация для самой низкоэнергетической структуры (т.e. концентрация, которая рассчитывается по термодинамическим параметрам, полученным из общепринятого подхода, когда рассматриваются только наиболее стабильные изомеры), Cav – концентрация, рассчитанная по среднему значению DrG°298 K. Видно, что расчет концентраций в общепринятом подходе ведет к занижению концентраций на 1–2 порядка, а с увеличением n влияние ориентационной изомерии на газофазные концентрации кластеров (H2O)n возрастает.
Таблица 5. Газофазные концентрации частиц в см3 кластеров воды (H2O)n размером от двух до пяти молекул при T = 298.15 K и давлении водяного пара 3200 Па (P ° = 105 Па)
n | Csum | Cmin | Cav |
2 | 3.41 · 1014 | 3.41 · 1014 | 3.41 · 1014 |
3 | 2.35 · 1012 | 9.00 · 1011 | 4.16 · 1011 |
4 | 1.66 · 1012 | 1.90 · 1011 | 6.02 · 1010 |
5 | 1.18 · 1011 | 2.51 · 109 | 2.43 · 108 |
Примечание: N – число ориентационных изомеров, найденных для данного типа кислородного “скелета”.
Концентрации, рассчитанные аналогичным образом для каждого кислородного “скелета” кластеров воды (H2O)n = 2–5, приведены в табл. 6. Из приведенных значений видно, что самый существенный вклад в суммарную концентрацию (независимо от способа оценки концентраций) вносят циклические изомеры 3-3-2, 4-4-4 и 5-5-14, которые, как было отмечено ранее, являются наиболее энергетически выгодными.
Таблица 6. Газофазные концентрации частиц в см3 кластеров воды (H2O)n размером от двух до пяти молекул различных конфигураций при T = 298.15 K и давлении водяного пара 3200 Па (P ° = 105 Па)
n | N | Csum | Cmin | Cav |
2-1-1 | 1 | 3.41 · 1014 | 3.41 · 1014 | 3.41 · 1014 |
3-2-1 | 2 | 9.71 · 1010 | 3.33 · 1010 | 4.77 · 1010 |
3-3-2 | 3 | 2.25 · 1012 | 9.00 · 1011 | 4.16 · 1011 |
4-4-3 | 6 | 1.32 · 109 | 2.22 · 108 | 2.14 · 108 |
4-4-4 | 14 | 1.66 · 1012 | 1.90 · 1011 | 1.19 · 1011 |
4-5-5 | 2 | 1.07 · 108 | 5.35 · 107 | 5.35 · 107 |
5-4-9 | 1 | 3.99 · 103 | 3.99 · 103 | 3.99 · 103 |
5-5-10 | 1 | 1.80 · 104 | 1.80 · 104 | 1.80 · 104 |
5-5-14 | 50 | 1.17 · 1011 | 2.51 · 109 | 2.27 · 109 |
5-5-4 | 3 | 3.33 · 105 | 1.02 · 105 | 1.11 · 105 |
5-5-5 | 14 | 4.09 · 108 | 3.26 · 107 | 2.88 · 107 |
5-6-11 | 18 | 5.54 · 106 | 3.80 · 105 | 3.02 · 105 |
5-6-12 | 4 | 5.64 · 104 | 1.71 · 104 | 1.38 · 104 |
5-6-15 | 36 | 6.32 · 108 | 3.01 · 107 | 1.27 · 107 |
5-6-6 | 3 | 7.78 · 104 | 2.51 · 104 | 2.51 · 104 |
5-6-7 | 25 | 1.29 · 108 | 5.90 · 106 | 5.05 · 106 |
5-7-18 | 6 | 3.91 · 103 | 8.30 · 102 | 5.96 · 102 |
Примечание: N – число ориентационных изомеров, найденных для данного типа кислородного “скелета”.
Отметим, что концентрация Csum всегда больше либо равна Cav и Cmin:
Csum представляет собой сумму концентраций, рассчитанных для каждого кластера в отдельности, поэтому она заведомо не может быть меньше любой из этих концентраций;
концентрация Cav рассчитывается по усредненному значению DrG°298 K. Это усредненное значение всегда лежит в интервале между наибольшим и наименьшим значениями DrG°298 K, следовательно, Cav лежит в интервале между наибольшей и наименьшей “индивидуальными” концентрациями кластеров. Таким образом, Csum не может быть меньше Cav.
Концентрация Cav может быть как больше, так и меньше Cmin. Для расчета Cav используется усредненное значение DrG°298 K, а для расчета Cmin – значение DrG°298 K, соответствующее кластеру с наименьшей энергией связывания ΔbE. При этом у кластера с наименьшей энергией связывания ΔbE энергия DrG°298 K не всегда оказывается также наименьшей (для данной группы кластеров). Следовательно, усредненное значение DrG°298 K может оказаться меньше, чем DrG °298 K самой низкоэнергетической структуры. Это объясняет случаи, когда Cav оказывается больше Cmin.
4. ЗАКЛЮЧЕНИЕ
Рассмотрены все возможные ориентационные изомеры для кластеров воды размером от двух до пяти молекул, которые можно сгенерировать на основе полного набора ориентированных графов с числом вершин от 2 до 5. Установлено, что существование большого числа изомерных кластеров воды существенно увеличивает их концентрацию в газовой фазе. Поэтому для правильного расчета концентраций кластеров необходимо учитывать явление ориентационной изомерии. Общепринятая методика расчета, когда рассматриваются только самые низкоэнергетические изомеры, приводит к занижению концентрации кластеров на 1–2 порядка.
About the authors
E. A. Shirokova
Lobachevsky State University of Nizhni Novgorod
Author for correspondence.
Email: ekashirokova@gmail.com
Russian Federation, Nizhny Novgorod
S. K. Ignatov
Lobachevsky State University of Nizhni Novgorod
Email: ekashirokova@gmail.com
Russian Federation, Nizhny Novgorod
References
- I.K. Larin, Russ. J. Phys. Chem. B 16, 492 (2022). https://doi.org/10.1134/S1990793122030083
- Il. S. Golyak, D. R. Anfimov, I. B. Vintaykin et al., Russ. J. Phys. Chem. B 17, 320 (2023). https://doi.org/10.1134/S1990793123020264
- G.V. Golubkov, A.A Berlin, Y.A. Dyakov et al., Russ. J. Phys. Chem. B 17, 1216 (2023). https://doi.org/10.1134/S1990793123050214
- V. Vaida, J. Chem. Phys. 135, 020901 (2011). https://doi.org/10.1063/1.3608919
- J.M. Anglada, G.J. Hoffman, L.V. Slipchenko et al., J. Phys. Chem. A 117, 10381 (2013). https://doi.org/10.1021/jp407282c
- N.C. Frederiks, A. Hariharan, and C.J. Johnson, Annu. Rev. Phys. Chem. 74, 99 (2023). https://doi.org/10.1146/annurev-physchem-062322-041503
- S.K. Ignatov, P.G. Sennikov, A.G. Razuvaev et al., J. Phys. Chem. A 107, 8705 (2003). https://doi.org/10.1021/jp034618h
- S.K. Ignatov, P.G. Sennikov, A.G. Razuvaev, and O. Schrems, J. Phys. Chem. A 108, 3642 (2004). https://doi.org/10.1021/jp038041f
- K. Morokuma and C. Muguruma, J. Am. Chem. Soc. 116, 10316 (1994). https://doi.org/10.1021/ja00101a068
- M.A. Vincent, I.J. Palmer, I.H. Hillier, and E. Akhmatskaya, J. Am. Chem. Soc. 120, 3431 (1998). https://doi.org/10.1021/ja973640j
- S. Okumoto, N. Fujita, and S. Yamabe, J. Phys. Chem. A 102, 3991 (1998). https://doi.org/10.1021/jp980705b
- J.D. Bernal and R.H. Fowler, J. Chem. Phys. 1, 515 (1933). https://doi.org/10.1063/1.1749327
- K.D. Jordan and K. Sen, in Chemical Modelling (Royal Society of Chemistry, Cambridge, 2016). https://doi.org/10.1039/9781782626862-00105
- S.R. Gadre, S.D. Yeole, and N. Sahu, Chem. Rev. 114, 12132 (2014). https://doi.org/10.1021/cr4006632
- S.S. Xantheas, J. Chem. Phys. 102, 4505 (1995). https://doi.org/10.1063/1.469499
- M.E. Dunn, E.K. Pokon, and G.C. Shields, Int. J. Quantum Chem. 100, 1065 (2004). https://doi.org/10.1002/qua.20251
- M.E. Dunn, E.K. Pokon, and G.C. Shields, J. Am. Chem. Soc. 126, 2647 (2004). https://doi.org/10.1021/ja038928p
- B. Temelso, K.A. Archer, and G.C. Shields, J. Phys. Chem. A 115, 12034 (2011). https://doi.org/10.1021/jp2069489
- D.M. Bates and G.S. Tschumper, J. Phys. Chem. A 113, 3555 (2009). https://doi.org/10.1021/jp8105919
- A.E. Galashev, O.R. Rakhmanova, and V.N. Chukanov, Khimicheskaya fizika 24, 90 (2005). https://doi.org/
- O.A. Novruzova, A.N. Novruzov, O.R. Rakhmanova, and A.E. Galashev, Khimicheskaya fizika 26, 74 (2007). https://doi.org/
- A.E. Galashev, Russ. J. Phys. Chem. B 7, 502 (2013). https://doi.org/10.1134/S1990793113050047
- A.E. Galashev, Russ. J. Phys. Chem. B 8, 793 (2014). https://doi.org/10.1134/S1990793114110049
- S.V. Drozdov and A.A. Vostrikov, Tech. Phys. Lett. 26, 397 (2000). https://doi.org/10.1134/1.1262856
- E.D. Belega, K.A. Tatarenko, D.N. Trubnikov and E.A. Cheremukhin, Russ. J. Phys. Chem. B. 3, 404 (2009). https://doi.org/10.1134/S1990793109030105
- V. Babin and F. Paesani, Chemical Physics Letters 580, 1 (2013). https://doi.org/10.1016/j.cplett.2013.06.041
- Y. Wang, V. Babin, J. M. Bowman, and F. Paesani, J. Am. Chem. Soc. 134, 11116 (2012). https://doi.org/10.1021/ja304528m
- M.D. Tissandier, S.J. Singer, and J.V. Coe, J. Phys. Chem. A 104, 752 (2000). https://doi.org/10.1021/jp992711t
- J.D. Mallory and V.A. Mandelshtam, J. Chem. Phys. 145, 064308 (2016). https://doi.org/10.1063/1.4960610
- S. E. Brown, A. W. Götz, X. Cheng et al., J. Am. Chem. Soc. 139, 7082 (2017). https://doi.org/10.1021/jacs.7b03143
- S.K. Ignatov, A.G. Razuvaev, P.G. Sennikov, and O. Schrems, J. Mol. Struct.: THEOCHEM 908, 47 (2009). https://doi.org/10.1016/j.theochem.2009.05.003
- Y.A. Dyakov, S.O. Adamson, P.K. Wang et al., Russ. J. Phys. Chem. B 16, 543 (2022). https://doi.org/10.1134/S1990793122030149
- E.A. Shirokova, A.G. Razuvaev, A.V. Mayorov et al., J. Clust. Sci. 34, 2029 (2023). https://doi.org/10.1007/s10876-022-02365-9
- G. Brinkmann, J. Math. Chem. 46, 1112 (2009). https://doi.org/10.1007/s10910-008-9496-y
- J.-L. Kuo, J.V. Coe, S.J. Singer, Y.B. Band, and L. Ojamäe, J Chem. Phys. 114, 2527 (2001). https://doi.org/10.1063/1.1336804
- T. Miyake and M. Aida, Chem. Phys. Lett. 363, 106 (2002). https://doi.org/10.1016/S0009-2614(02)01150-8
- B. McKay, Combinatorial data. — URL: https://users.cecs.anu.edu.au/~bdm/data/graphs.html
- S.K. Ignatov, A.G. Razuvaev, and A.E. Masunov, in Book of Abstracts ”16-Th V. A. Fock Meeting on Quantum, Theoretical and Computational Chemistry” (Sochi, 2018), p. 10.
- D.C. Liu and J. Nocedal, Mathematical Programming 45, 503 (1989). https://doi.org/10.1007/bf01589116
- B.D. McKay and A. Piperno, J. Symb. Comput. 60, 94 (2014). https://doi.org/10.1016/j.jsc.2013.09.003
- M.J. Frisch, G.W. Trucks, H.B. Schlegel, G.E. Scuseria, M.A. Robb, J.R. Cheeseman, J.A. Montgomery Jr., T. Vreven, K.N. Kudin, J.C. Burant, J.M. Millam, S.S. Iyengar, J. Tomasi, V. Barone, B. Mennucci, M. Cossi, G. Scalmani, N. Rega, G.A. Petersson, H. Nakatsuji, M. Hada, M. Ehara, K. Toyota, R. Fukuda, J. Hasegawa, M. Ishida, T. Nakajima, Y. Honda, O. Kitao, H. Nakai, M. Klene, X. Li, J.E. Knox, H.P. Hratchian, J.B. Cross, V. Bakken, C. Adamo, J. Jaramillo, R. Gomperts, R.E. Stratmann, O. Yazyev, A.J. Austin, R. Cammi, C. Pomelli, J.W. Ochterski, P.Y. Ayala, K. Morokuma, G.A. Voth, P. Salvador, J.J. Dannenberg, V.G. Zakrzewski, S. Dapprich, A.D. Daniels, M.C. Strain, O. Farkas, D.K. Malick, A.D. Rabuck, K. Raghavachari, J.B. Foresman, J.V. Ortiz, Q. Cui, A.G. Baboul, S. Clifford, J. Cioslowski, B.B. Stefanov, G. Liu, A. Liashenko, P. Piskorz, I. Komaromi, R.L. Martin, D.J. Fox, T. Keith, M.A. Al-Laham, C.Y. Peng, A. Nanayakkara, M. Challacombe, P.M.W. Gill, B. Johnson, W. Chen, M.W. Wong, C. Gonzalez, and J.A. Pople, Gaussian, Inc., Wallingford CT. Gaussian 03, Revision D.01.
- Chemcraft – graphical software for visualization of quantum chemistry computations.
- S.K. Ignatov. Moltran v.2.5 – Program for molecular visualization and thermodynamic calculations, University of Nizhny Novgorod, 2004.
- H. DeVoe. Thermodynamics and Chemistry. Second Edition. 2019. https://www2.chem.umd.edu/thermobook/v10-screen.pdf
- M.V. Kirov, G.S. Fanourgakis, and S.S. Xantheas, Chem. Phys. Lett. 461, 180 (2008). https://doi.org/10.1016/j.cplett.2008.04.079
- S.V. Gudkovskikh and M.V. Kirov, Chem. Phys. 572, 111947 (2023). https://doi.org/10.1016/j.chemphys.2023.111947
- S.S. Xantheas, Chem. Phys. 258, 225 (2000). https://doi.org/10.1016/S0301-0104(00)00189-0
Supplementary files









