Influence of europium chelate on the chemiluminescence kinetics during free-radical oxidation of lipid samples of vegetable origin
- Authors: Naumov V.V.1, Fedorova G.F.1, Veprintsev T.L.1, Yablonskaya O.I.1, Trofimov A.V.1,2
-
Affiliations:
- Emanuel Institute of Biochemical Physics, Russian Academy of Sciences
- Moscow Institute of Physics and Technology (National Research University)
- Issue: Vol 43, No 11 (2024)
- Pages: 54-61
- Section: Chemical physics of biological processes
- URL: https://ogarev-online.ru/0207-401X/article/view/281878
- DOI: https://doi.org/10.31857/S0207401X24110072
- ID: 281878
Cite item
Full Text
Abstract
The chemically inert luminophore, chemiluminescence enhancer 1,10-phenanthroline-tris(thenoyl-trifluoroacetonate) of trivalent europium, increases the intensity of the light emission by an order of magnitude during the initiated oxidation of lipid samples of vegetable origin (sunflower oil). The introduction of the light enhance r into the chemiluminescence system leads to altering the kinetic profile, removing characteristic peaks on the kinetic curves at the end of the induction period of the oxidation process, but without changing the induction period itself. With the mathematical computer modeling based on a kinetic scheme of 23 elementary reactions, it was shown that the observed kinetic behavior can be rationalized by a disproportionate increase in quantum yields of chemiluminescence derived from different electronically excited products (light emitters) formed during the oxidation process.
Full Text
1. ВВЕДЕНИЕ
Исследование хемилюминесценции, сопровождающей окислительные взаимодействия, важно прежде всего для изучения действия активных форм кислорода в большом разнообразии химических и биологических систем, а также механизмов влияния антиоксидантов различной природы на процессы окисления в этих системах [1–11]. В биологических системах и процессах антиоксиданты (биоантиоксиданты) могут как выступать в роли непосредственных перехватчиков активных форм кислорода, так и влиять на редокс-чувствительные сигнальные пути [12, 13]. Понимание особенностей механизмов и кинетического поведения таких процессов, в том числе, в присутствии биоантиоксидантов, способствует разработке эффективных аналитических и биоаналитических подходов, расширяя арсенал методов фотоники биологических объектов с люминесцентных [14–16] до хеми- и биолюминесцентных [17].
Чувствительность хемилюминесцентных методов исследования окислительных и других химических процессов повышается на порядки при использовании усилителей свечения – люминесцирующих веществ, не вступающих в химическое взаимодействие с компонентами реакционной смеси, но увеличивающих квантовые выходы хемилюминесценции за счет переноса (миграции) энергии с электронно-возбужденных продуктов реакции на молекулу люминофора [18–20]. Применение химически инертных усилителей свечения оказывается весьма полезным при исследование кинетики хемилюминесцентных реакций, так как приводит к многократному (на порядки) увеличению интенсивности излучения, не меняя наблюдаемого кинетического профиля изучаемого процесса. Однако при наличии в системе нескольких эмиттеров хемилюминесценции (продуктов, образующихся в электронно-возбужденном состоянии, способных излучать фотоны), можно предположить, что суммарный эффект усиления будет меняться в зависимости от структуры и свойств этих веществ. Ранее в опытах без применения усилителей нами было показано что при окислении таких многокомпонентных липидных образцов растительного происхождения, какими являются образцы подсолнечного масла, образуются несколько эмиттеров хемилюминесценции [21].
Поэтому в настоящей работе нами проведено сравнительное изучение кинетики хемилюминесценции при инициированном окислении подсолнечного масла в присутствии усилителя свечения и без него. Для интерпретации полученных результатов использован метод компьютерного математического моделирования.
ЭКСПЕРИМЕНТАЛЬНАЯ ЧАСТЬ
Методика измерения интенсивности хемилюминесценции и экспериментальная установка описаны в работах [22–24]. Исследуемая система содержала 2%-ный или 4%-ный раствор подсолнечного масла в хлорбензоле. Окисление проводили при температуре 60 °С. В качестве источника свободных радикалов использовали инициатор 2,2′-азо-диизобутиронитрил (АИБН) [22, 25–27]. Полученная при этом скорость зарождения свободных радикалов (скорость инициирования) составляла 1 ∙ 10-7 моль ∙ л-1 ∙ с-1.
В качестве усилителя хемилюминесценции использовали люминофор 1,10-фенантролин-трис(теноил-трифторацетонат) трехвалентного европия (хелат европия) в концентрации 2 ∙ 10-4 моль/л [28]. Этот хелатный комплекс европия испускает свет в узкой спектральной полосе в районе 613 нм, которой соответствует 80% испускаемых квантов люминесценции [29]. Специальными опытами по окислению углеводородов было установлено отсутствие химического взаимодействия хелата европия с компонентами реакционной смеси [30–32]. Математическое моделирование кинетики проводили по методике, представленной в работах [33–36]. Значения констант скорости элементарных реакций, использованные в расчетах, были взяты из работ [22, 26, 37–39] и пересчитаны к температурам, при которых проводились эксперименты. В случае отсутствия литературных данных были использованы оценки, основанные на аналогии с другими процессами и данных по реакционной способности реагирующих частиц [26].
РЕЗУЛЬТАТЫ И ИХ ОБСУЖДЕНИЕ
На рис. 1 представлена кинетика хемилюминесценции при инициированном окислении подсолнечного масла в хлорбензоле в присутствии люминофора и без него. Видно, что введение хелата европия не влияет на величину периодов индукции окисления, но сильно изменяет форму и масштаб кинетических кривых. Характерные пики интенсивности по окончании периодов индукции, получавшиеся в отсутствие люминофора, исчезают (сглаживаются) при его наличии. Поскольку хелат европия химически инертен [30–32], мы предположили различную степень усиления свечения от различных эмиттеров хемилюминесценции в его присутствии. Для подтверждения этого предположения была использована математическая модель, в основу которой положена кинетическая схема процесса окисления, использованная нами ранее [21] для описания кинетики хемилюминесценции в данной системе в отсутствие активатора. Эта схема включает в себя приведенные ниже элементарные реакции (NRP – нереакционноспособный продукт, АОН – антиоксидант).
Рис. 1. Кинетика интенсивности (J) хемилюминесценции при инициированном окислении подсолнечного масла в присутствии хелата европия (1, 2) и без него (3, 4). Концентрация масла – 2% (1, 3) и 4% (2, 4) по объему.
Стадия зарождения свободных радикалов:
(0)
Продолжение цепей окисления и превращения свободных радикалов:
(1)
(2)
(3)
(4)
(5)
(6)
(7)
(8)
(9)
(10)
Безызлучательный обрыв цепей окисления:
(11)
(12)
(13)
(14)
(15)
Хемилюминесцентные реакции:
(16)
(17)
(18)
(19)
(20)
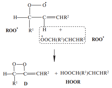
В настоящей работе кинетическая схема была дополнена реакциями, учитывающими образование (рис. 2) диоксетанов (D) и молекулярную хемилюминесценцию при их распаде [40–45]:
(21)
Рис. 2. Схема образования диоксетана (D) при диспропорционировании перекисных радикалов.
(22)
D → RiC=O + hn. (23)
В целях моделирования было сделано предположение, что основными окисляющимися компонентами в подсолнечном масле являются триглицериды, содержащие остатки линолевой кислоты (63.4%), поскольку именно эти вещества наиболее подвержены окислению [46, 47]. С учетом их содержания в масле в качестве исходной концентрации субстрата окисления RH были приняты значения 0.0134 и 0.0268 M для 2%-ных и 4%-ных растворов масла соответственно [21]. Концентрация присутствующего в масле природного антиоксиданта АОН была подобрана исходя из величины периодов индукции на кинетических кривых в соотношении [AOH]0 = 1.87 · 10-3 · [RH]0. Значения констант скорости варьировали в пределах 1–2 порядков. Ниже приведены значения, использованные для построения графиков модельных кинетических кривых (рис. 3–5): (1) 100, (2) 50, (3) 1.5 · 104, (-3) 1 · 105, (4) 5 · 107; (5) 1 · 103, (6) 1.2 · 105, (-6) 1 · 105, (7) 2 · 104, (-7) 1 · 105, (8) 2 · 106, (-8) 1 · 104, (9) 3 · 106, (-9) 2 · 104, (10) 1 · 107, (-10) 5 · 103, (11) 1 · 108, (12) 1 · 104, (13) 1 · 108, (14) 1 · 108, (15) 1∙103, (16) 5 · 105, (17) 5 · 106, (18) 2 · 107, (19) 1 · 107, (20) 1 · 106, (21) 1 · 104, (22) 1 · 104 M-1 · с-1, (23) 1 · 10-4 с-1. Исследовали зависимость формы кинетических кривых хемилюминесценции от соотношения квантовых выходов хемилюминесцентных реакций. При этом подразумевалось соотношение, в котором J – интенсивность хемилюминесценции, ηi – квантовый
,
выход хемилюминесценции i-й реакции в отн. ед., wi – скорость реакции (i). Параметры ηi варьировали в пределах трех порядков.
Рис. 3. Модельные кинетические кривые интенсивности (J) хемилюминесценции в присутствии хелата европия (7, 8) и без него (1–6) при инициированном окислении 2%-ного (1, 3, 5, 7) и 4%-ного (2, 4, 6, 8) растворов растительного масла в хлорбензоле и квантовых выходах ηi (в отн. ед.) реакций (16), (17), (18), (19), (20), (23), соотносящихся как: 31 : 4 : 4 : 4 : 4 : : 2.1 · 104 (1, 2); 135 : 7 : 7 : 7 : 7 : 3.3·104 (3, 4); 1000 : 1 : 1 : : 1 : 1: 0.5 · 104 (5, 6); 500 : 500 : 250 : 850 : 50 : 25 · 104 (7, 8).
Рис. 4. Изменения концентраций (С) перекисных радикалов (∙ 108 M) при компьютерном математическом моделировании кинетики окисления 2%-ного (2, 3, 5) и 4%-ного (1, 4, 6) растворов подсолнечного масла в хлорбензоле; 1, 2 – [ROO˙]; 3, 4 – [yOO˙]; 5, 6 – [H3COO˙].
Рис. 5. Модельная кинетика образования диоксетанов (С = 107 [D] M) при инициированном окислении 2%-ного (1) и 4%-ного (2) растворов растительного масла в хлорбензоле.
Модельные кинетические кривые хемилюминесценции, представленные на рис. 3, иллюстрируют зависимость формы этих кривых от величины квантовых выходов отдельных хемилюминесцентных реакций ηi. Видно, что характерные пики свечения образуются лишь при относительно высоком квантовом выходе хемилюминесценции в реакции (16). Представляет интерес сопоставление кинетики хемилюминесценции (рис. 1 и 3) с результатами компьютерного математического моделирования кинетики перекисных радикалов, представленными на рис. 4. Характерные пики на кинетических кривых по окончании периодов индукции зависят только от концентрации изобутиронитрил-перекисных радикалов, чем объясняется наличие аналогичных пиков на кинетических кривых хемилюминесценции в отсутствие активатора (рис. 1, 3), возникновение которых происходит синхронно с изменениями концентрации изобутиронитрил-перекисных радикалов (рис. 4).
Кинетические кривые образования диоксетанов, представленные на рис. 5, показывают, что накопление этих продуктов по реакциям (21) и (22) начинается в развивающемся при высоких концентрациях свободных радикалов цепном процессе перекисного окисления по окончании периодов индукции, в течение которых происходит расходование антиоксиданта АОН по реакциям (8)–(11) и (13)–(15). Термический распад диоксетана, сопровождающийся хемилюминесценцией, происходит весьма медленно ввиду низкого значения константы скорости реакции (23) [20, 43, 44]. Возникающая при термическом распаде диоксетанов молекулярная хемилюминесценция [40–45] по реакции (23) не влияет на образование пиков хемилюминесценции, так как сразу по окончании периодов индукции концентрация диоксетанов крайне мала (рис. 5) и может вносить заметный вклад в суммарную хемилюминесценцию системы лишь при относительно высоких квантовых выходах реакции (23) (рис. 3).
Введение хелата европия не влияет на величину периодов индукции, но увеличивает общую интенсивность свечения и изменяет форму кинетических кривых, сглаживая пики хемилюминесценции по окончании периодов индукции за счет непропорционального изменения квантовых выходов отдельных реакций (рис. 3).
Эффективность переноса энергии на молекулу акцептора – усилителя хемилюминесценции сильно зависит от мультиплетности донора энергии – первичного электронно-возбужденного продукта хемилюминесцентной реакции [19, 20, 43]. Поэтому отсутствие пиков на кривых, полученных в экспериментах в присутствии люминофора, с учетом того, что в реакциях (16) и (17) в возбужденном состоянии образуется один и тот же продукт: R′=O*, указывает на то, что в этих реакциях преобладающие мультиплетные состояния (S или T) этого кетона различны.
Сопоставление рис. 1 и 3 показывает, что результаты компьютерного математического моделирования хорошо согласуются с результатами эксперимента, подтверждая, таким образом, обоснованность сделанных предположений и адекватность разработанной схемы, описывающей кинетику хемилюминесценции при инициированном окислений подсолнечного масла.
ЗАКЛЮЧЕНИЕ
Введение в окисляющуюся систему усилителя хемилюминесценции приводит не только к увеличению на порядок общей интенсивности свечения, но и к изменению характера кинетики. При этом характерные пики на кинетических кривых по окончании периода индукции процесса окисления исчезают, но не изменяется величина самого периода индукции. Разработанная кинетическая схема из 23 элементарных реакций дала возможность показать, что указанные различия являются следствием непропорционального увеличения с помощью хелата европия квантовых выходов хемилюминесценции от нескольких электронно-возбужденных продуктов (эмиттеров света), образующихся в процессе окисления.
Работа выполнена при поддержке Министерством науки и высшего образования РФ в рамках (госзадания по теме № 001201253314).
About the authors
V. V. Naumov
Emanuel Institute of Biochemical Physics, Russian Academy of Sciences
Email: avt_2003@mail.ru
Russian Federation, Moscow
G. F. Fedorova
Emanuel Institute of Biochemical Physics, Russian Academy of Sciences
Email: avt_2003@mail.ru
Russian Federation, Moscow
T. L. Veprintsev
Emanuel Institute of Biochemical Physics, Russian Academy of Sciences
Email: avt_2003@mail.ru
Russian Federation, Moscow
O. I. Yablonskaya
Emanuel Institute of Biochemical Physics, Russian Academy of Sciences
Email: avt_2003@mail.ru
Russian Federation, Moscow
A. V. Trofimov
Emanuel Institute of Biochemical Physics, Russian Academy of Sciences; Moscow Institute of Physics and Technology (National Research University)
Author for correspondence.
Email: avt_2003@mail.ru
Russian Federation, Moscow; Dolgoprudny
References
- R.F. Vassil’ev, In: Progress in Reaction Kinetics (G. Porter, Ed.). V. 4. Pergamon Press. Oxford. 1967. P. 305.
- W. Adam, G. Cilento (Eds), Chemical and Biological Generation of Excited States. Academic Press. New York. 1982.
- W. Adam, A.V. Trofimov, In: The Chemistry of Peroxides (Z. Rappoport, Ed.). V. 2. Part 2. Patai Series: The Chemistry of Functional Groups. 2006. John Wiley & Sons Ltd.. Chichester. Chapter 15. P. 1171.
- R.F. Vasil’ev, A.V. Trofimov, Yu.B. Tsaplev, Russ. Chem. Rev. 79, 77 (2010). https://doi.org/10.1070/RC2010v079n02ABEH004064
- Yu.B. Tsaplev, A.V. Trofimov, Russ Chem Bull 72, 73 (2023). https://doi.org/10.1007/s11172-023-3715-3
- G.F. Fedorova, V.A. Menshov, A.V. Trofimov, et al., Photochem. Photobiol. 93, 579 (2017). https://doi.org/10.1111/php.12689
- G.F. Fedorova, V.A. Menshov, A.V. Trofimov, R.F. Vasil’ev, Analyst 134, 2128 (2009). https://doi.org/10.1039/B905059K
- I.F. Rusina, T.L. Veprintsev, R.F. Vasil’ev, Russ. J. Phys. Chem. B. 16 (1), 50 (2022). https://doi.org/10.1134/S1990793122010274
- V.A. Menshov, V.D. Kancheva, O.I. Yablonskaya, A.V. Trofimov, Russ. J. Phys. Chem. 15 (1), 108 (2021). https://doi.org/10.1134/S1990793121010231
- V.V. Naumov, A.V. Trofimov, G.F. Fedorova, et al., Int. J. Mol. Sci. 24, 8486 (2023). https://doi.org/10.3390/ijms24108486
- I.V. Zhigacheva, I.F. Rusina, N.I. Krikunova, et al., Int. J. Mol. Sci. 24, 13172 (2023). https://doi.org/10.3390/ijms241713172
- S. Saha, L. Saso, A.V. Trofimov, O.I. Yablonskaya, Biomedicines. 11, 1377 (2023). https://doi.org/10.3390/biomedicines11051377
- R. Balansky, S. La Maestra, V.D. Kancheva, et al., Food Chem. Toxicol. 155, 112383 (2021). https://doi.org/10.1016/j.fct.2021.112383
- W.F. Razumov, Russ. J. Phys. Chem. B 17 (1), 36 (2023). https://doi.org/10.1134/S199079312301027X
- M.A. Kolyvanova, M.A. Klimovich, O.V. Dement’eva, et al., Russ. J. Phys. Chem. B 17 (1), 206 (2023). https://doi.org/10.1134/S1990793123010062
- M.A. Yakovlevaa A.Sh. Radchenko, A.A. Kostyukov et al., Russian Journal of Physical Chemistry B. 16 (1), 90 (2022). https://doi.org/10.1134/S199079312201033X
- I. Volodyaev, A. Trofimov, Yu.A. Vladimirov // In: Ultra-Weak Photon Emission from Biological Systems (I. Volodyaev, E. van Wijk, M. Cifra, Yu.A. Vladimirov, Eds.). 2023. Springer Nature Switzerland AG. Cham. 2023. P. 131. https://doi.org/10.1007/978-3-031-39078-4_10
- R.F. Vassil’ev, Nature 196, 668 (1962). https://doi.org/10.1038/196668a0
- R.F. Vassil’ev, Nature 200, 773 (1963). https://doi.org/10.1038/200773b0
- G.F. Fedorova, A.V. Trofimov, R.F. Vasil’ev, T.L. Veprintsev, ARKIVOC № 8, 163 (2007). https://doi.org/10.1002/chin.200709275
- R.F. Vasil’ev, V.D. Kancheva, V.V. Naumov, et al., Russ. J. Phys. Chem. B 14 (3), 479–482 (2020). https://doi.org/10.1134/S1990793120030264
- V.Ya. Shlyapintokh, O.N. Karpukhin, L.M. Postnikov, et al., Chemiluminescence Techniques in Chemical Reactions, New York: Consultants Bureau, 1968.
- V.A. Belyakov, R.F. Vasil’ev, G.F. Fedorova, Kinetics and Catalysis 45, 329 (2004). https://doi.org/10.1023/B:KICA.0000032165.13080.c6
- R.F. Vasil’ev, T.L. Veprintsev, L.S. Dolmatova, et al., Kinetics and Catalysis 55, 148 (2014). https://doi.org/10.1134/S0023158414020153
- J.P. Van Hook, A.V. Tobolsky, J. Am. Chem. Soc. 880 779 (1958). https://doi.org/10.1021/ja01537a006
- V.D. Kancheva, M.A. Dettori, D. Fabbri, et al., Antioxidants 10, 624 (2021). https://doi.org/10.3390/antiox10040624
- G. Vasvari, E.M. Kuramshin, S. Holly, et al., J. Phys. Chem. 92, 3810 (1988). https://doi.org/10.1021/j100324a026
- W.R. Dawson, J.L. Kropp, M.W. Windsor, J. Chem. Phys. 45, 2410 (1966). https://doi.org/10.1063/1.1727955
- P.D. Wildes, E.H. White, J. Am. Chem. Soc. 93, 6286 (1971). https://doi.org/10.1021/ja00752a058
- V.V. Naumov, G.F. Fedorova, R.F. Vasil’ev, et al., Russ. J. Phys. Chem. B 15 (1), 6 (2021). https://doi.org/10.1134/S1990793121010243
- G.F. Fedorova, V.A. Lapina, V.A. Menshov, et al., Photochem. Photobiol. 95, 780 (2019). https://doi.org/10.1111/php.13058
- V.A. Belyakov, R.F. Vasil’ev, Photochem. Photobiol. 11, 179 (1970). https://doi.org/10.1111/j.1751-1097.1970.tb05986.x
- P. Mendes, Comput. Appl. Biosci. 9, 563 (1993).
- P. Mendes, Trends Biochem. Sci. 22. 361 (1997). https://doi.org/10.1016/s0968-0004(97)01103-1
- P. Mendes, D.B. Kell, Bioinformatics 14, 869 (1998). https://doi.org/10.1093/bioinformatics/14.10.869
- S. Hoops, S. Sahle, R. Gauges, et al., Bioinformatics 22, 3067 (2006). https://doi.org/10.1093/bioinformatics/btl485
- E.T Denisov, Liquid-Phase Reaction Rate Constants, Springer New York, New York. 2012.
- E.T. Denisov, V.V. Azatyan, Inhibition of Chain Reactions, CRC Press, Boca Raton, 2000.
- E.T. Denisov, I.B. Afanas’ev Oxidation and Antioxidants in Organic Chemistry and Biology. CRC Press, Boca Raton, 2005.
- V.A. Belyakov, T.V. Filippova, S.Yu. Zasedatelev, E.A. Blyumberg, Bull. Acad. Sci. USSR Div. Chem. Sci. 28, 1381 (1979).
- V.A. Belyakov, R.F. Vasil’ev, G.F. Fedorova, Russ. Chem. Bull. 32, 2429 (1983). https://doi.org/10.1007/BF00954469
- G.S. Timmins, R.E. Dos Santos, A.C Whitwood, et al., Chem. Res. Toxicol. 10, 1090 (1997). https://doi.org/10.1021/tx970075p
- G.L. Sharipov, V.P. Kazakov, G.A. Tolstikov, Chemistry and Chemiluminescence of 1,2-Dioxetanes (in Russian), Nauka, Moscow, 1990.
- W. Adam, A. Beinhauer, H. Hauer, In: Handbook of Organic Photochemistry, V. 2 (J.C Scaiano (Ed.), CRC Press, Boca Raton, 1989. P. 271.
- A.V. Trofimov, R.F. Vasil’ev, K. Mielke, W. Adam, Photochem. Photobiol. 62, 35 (1995). https://doi.org/10.1111/j.1751-1097.1995.tb05235.x
- V.A. Roginskii, Kinetics and Catalysis 31, 475 (1990).
- N. Yanishlieva, A. Popov, Rev. Franc. Corps Gras. 20, 11 (1973).
Supplementary files







