Спиновые аддукты при фотолизе смешанного бензоильного фосфониево-иодониевого илида в дихлорметане
- Авторы: Потапов И.Д.1,2, Мотякин М.В.1, Подругина T.А.2, Некипелова Т.Д.1
-
Учреждения:
- Институт биохимической физики им. Н.М. Эмануэля Российской академии наук
- Московский государственный университет им. М.В. Ломоносова
- Выпуск: Том 43, № 11 (2024)
- Страницы: 18-30
- Раздел: Кинетика и механизм химических реакций, катализ
- URL: https://ogarev-online.ru/0207-401X/article/view/281862
- DOI: https://doi.org/10.31857/S0207401X24110031
- ID: 281862
Цитировать
Полный текст
Аннотация
Смешанные фосфониево-иодониевые илиды представляют интерес в качестве регентов для синтеза новых гетероциклических соединений. Ранее показано, что реакции фосфониево-иодониевых илидов под действием света происходят с образованием радикалов. В работе с помощью спиновых ловушек PBN и DMPO исследованы радикалы, образующиеся при фотолизе как самого илида, так и соединений, являющимихся его фрагментами, дифенилиодониевая соль и трифенилфосфин, или участвующие в его реакциях, а именно дихлорметан и фенилацетилен. Полученные результаты подтвердили радикальный механизм фотораспада илида и позволили уточнить состав первичных радикалов, образующихся при фотолизе. Определены ранее неизвестные значения магнитно-резонансных параметров спиновых аддуктов для некоторых радикалов.
Полный текст
1. ВВЕДЕНИЕ
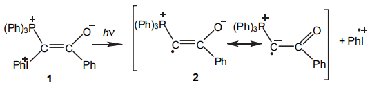
В последние годы смешанные фосфониево-иодониевые илиды (Y) привлекают значительное внимание в качестве реагентов для синтеза новых гетероциклических соединений, которые находят все большее применение как функциональные материалы в органической электронике и в тест-системах для анализа биологических систем [1–4]. Особенно интересными с практической точки зрения являются реакции фотораспада Y и их взаимодействие с ацетиленами, которые происходят в дихлорметане. Первоначально предполагалось, что реакции фотораспада Y протекают по ионному механизму, и гетероциклы разных классов получаются из одного и того же промежуточного карбокатиона, который образуется в результате отщепления PhI+ при фотолизе [5]. Однако недавно была установлена возможность радикального распада илидов [6–8] и предложен возможный механизм гомолитического распада для смешанного бензоильного илида 1 (Cхема 1), аналогичный распаду диарилиодониевых солей. Образующиеся радикальные продукты могут реагировать как с растворителем, так и с добавленными ацетиленами.
Схема 1
Отметим, что радикалы, образовавшиеся из илида 1, были зафиксированы методом стационарной ЭПР-спектроскопии, которая позволяет детектировать долгоживущие радикалы. В то же время очевидно, что при гомолитическом распаде Y должны происходить химические реакции с участием короткоживущих радикалов PhI+• и радикалов из CH2Cl2. Для понимания механизма химических реакций с участием Y и их контроля необходима идентификация всех типов радикалов на разных стадиях фотохимических превращений Y.
Для решения данной задачи был выбран метод спиновых ловушек. Метод основан на реакции короткоживущего радикала R• со спиновой ловушкой, приводящей к образованию стабильного нитроксильного радикала (спинового аддукта) [9, 10]. По g-фактору и изотропным константам сверхтонкого взаимодействия (СТВ) образующегося нитроксильного радикала определяется природа присоединенного короткоживущего радикала. Отметим, что константы СТВ нитроксильного радикала зависят от полярности растворителя [11–15]. В полярных растворителях равновесие сдвинуто в сторону цвиттер-ионной структуры нитроксила, в которой на атоме азота сосредоточено больше спиновой плотности, и, соответственно, выше изотропная константа СТВ радикала. Зависимость констант СТВ от растворителя затрудняет интерпретацию экспериментальных данных. К сожалению, значения магнитно-резонансных параметров спиновых аддуктов определены не для всех растворителей. Поэтому прежде всего в данной работе были выполнены модельные эксперименты для определения констант СТВ предполагаемых спиновых аддуктов в используемом растворителе.
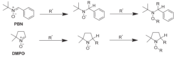
Короткоживущий радикал R• может также вступать в реакцию с нитроксильным радикалом, образуя при этом диамагнитный продукт. Данная реакция является вторичной, однако она также присутствует в растворе и влияет на время жизни спинового аддукта. В настоящей работе мы использовали две спиновые ловушки, PBN и DMPO. Выбор обусловлен тем, что спиновая ловушка PBN широко применяется для детектирования радикалов с неспаренными электронами, локализованными на атомах углерода, фосфора или азота, в то время как спиновая ловушка DMPO служит для идентификации алкокси- и перекисных радикалов [9, 10]. Структуры спиновых ловушек PBN и DMPO и их реакции с короткоживущими радикалами представлены на Схеме 2.
Схема 2
Метод спиновых ловушек является изящным инструментом идентификации короткоживущих радикалов и нашел широкое применение в разных областях химии и биологии. Однако экспериментально измеренных данных магнитно-резонансных параметров ЭПР-спектров аддуктов спиновой ловушки DMPO с углерод-центрированными радикалами не так много, как для PBN. Поэтому, некоторые полученные в работе данные ЭПР являются новыми, что повышает актуальность работы.
ЭКСПЕРИМЕНТАЛЬНАЯ ЧАСТЬ
Илид 1 ((2-оксо-2-фенил-1-(трифенил-λ5-фосфанилиден)этил)(фенил) иодоний тетрафторборат), общая формула представлена ниже, синтезировали согласно методике, предложенной в работах [16, 17].
1
Хлористый метилен (эталонный, “Компонент-Реактив”, Россия) не содержащий стабилизатора и HCl, спиновые ловушки 5,5-диметилпирролин-N-оксид (DMPO, “Abcam”, UK) и N-трет-Бутил-α-фенилнитрон (PBN, “Sigma-Aldrich”), дифенилиодониум хлорид ((Ph)2I+Cl-, ACROS Organics, Belgium), трифенилфосфин (Ph3P, ACROS Organics) использовали без предварительной очистки. Фенилацетилен (“Sigma-Aldrich”) очищали перед использованием перегонкой.
Концентрация соединений в исследуемых растворах СН2Cl2: дифенилиодониевая соль – 40 мМ, трифенилфосфин – 50 мМ, фенилацетилен – 150 мМ, илид 1 – 50 мМ. Концентрация ловушек в растворах – 50 мМ.
Облучение исследуемых растворов проводили УФ-излучением с длиной волны λ = 365 нм (АФС-УФ 365 “Соларис”, Россия). Спектры ЭПР Х-диапазона регистрировали на спектрометре EMX (Bruker, Germany). Облучение проводили в стеклянных ампулах внутренним диаметром ~1.5 мм. Сразу после облучения ампулы с образцом помещали в резонатор ЭПР-спектрометра. Мощность микроволнового поля во избежание эффектов насыщения была не более 2 мВт. При записи спектров амплитуда модуляции (100 кГц) всегда не превышала наименьшую ширину резонансной линии. Для определения значений магнитно-резонансных параметров ЭПР сигналов использовали программы WINEPR и SIMFONIA (Bruker, Germany), а также WinSim (NIEHS/NIH, USA) [18]. Значения магнитно-резонансных параметров аддуктов, полученных при моделировании экспериментальных спектров, представлены в табл. 1. Отметим, что спектры регистрировали непосредственно в процессе реакции, что, несомненно, влияло на точность определения как констант сверхтонкого взаимодействия (СТВ) спиновых аддуктов, так и их g-факторов. Погрешность в определении констант СТВ составляла ~5–10%, для g-фактора – ±0.0001.
Таблица 1. Значения магнитно-резонансных параметров спиновых аддуктов PBN и DMPO и возможные структуры короткоживущих радикалов, образующихся при УФ-облучении (λ = 365 нм) соответствующих соединений в СН2Cl2 при 290 К
Соединение | Радикалы | aN, Гс | aH, Гс | Костанты СТВ на других ядрах, Гс | g-Фактор |
PBN | |||||
СН2Cl2 | PBN/•СН2Cl | 13.5 | 1.7 | 2.0063 | |
Ph2I+ Cl- | PBN/Ph. PBN/Cl• PBN/•СН2Cl | 14.7 12.45 13.4 | 2.7 0.8 1.8 | a35Cl = 6.2 a37Cl = 5.2 | 2.0062 2.0064 2.0063 |
(Ph)3P | PBN/Ph• PBN/Ph2P• | 14.7 14.5 | 2.6 3.6 | aP = 16.5 | 2.0062 2.0061 |
Ph–C ≡ CH | PBN/•СН2Cl PBN/Ph-•C=CH-R | 13.5 15.9 | 1.7 2.2 | 2.0063 2.0060 | |
Илид 1 | PBN/F. PBN-2 | 12.5 14.13 | 2.2 7.75 | aF = 50.0 aP = 8.85 | 2.0064 2.0061 |
DMPO | |||||
СН2Cl2 | DMPO/•СН2Cl | 13.0 | 8.7 | aН = 1.6 | 2.0063 |
Ph2I+Cl- | DMPO/•СН2Cl DMPO-3 DMPOX | 13.0 12.45 6.7 | 9.2 – – | aН = 1.0 aН = 1.5 2(Н) aН = 3.5 (2Н) | 2.0063 2.0062 2.0067 |
(Ph)3P | DMPO/Ph• DMPO/•PPh2 DMPO/•СНCl2 | 14.6 14.1 14.2 | 20.7 16.8 13.8 | aP = 37.4 aН = 1.4 | 2.0061 2.0060 2.0063 |
Ph–C ≡ CH | DMPO/Ph-•C=CH-R (>90%) – | 14.15 15.2 | 19.4 | aН = 2.5 (2Н) | 2.0061 2.0062 |
Илид 1 | DMPO-5 DMPO/F• DMPO/Ph• | 6.9 12.4 14.1 | – 2.1 21.5 | aP = 13.1, aН = 0.7 (2Н) aF = 49.0 aН = 0.9 (2Н) | 2.0059 2.0065 2.0061 |
ОБСУЖДЕНИЕ РЕЗУЛЬТАТОВ
Дихлорметан СН2Cl2
Как предположили авторы работы [19], дихлорметан в фотохимических реакциях фосфониево-иодониевых илидов выступает не только как растворитель, но может также быть реагентом. На рис. 1 представлены экспериментальные и симулированные спектры ЭПР спиновых аддуктов PBN и DMPO, образующихся при УФ-облучении СН2Cl2. Полученные значения магнитно-резонансных параметров хорошо коррелируют с уже известными в литературе данными для захваченного (СН2Cl)• радикала [20–23]. Этот радикал, как показано в работах [23–25], образуется при фотокаталитическом разложении и окислении СН2Cl2.
Рис. 1. Экспериментальные (черные линии) и теоретические (красные линии) спектры ЭПР аддуктов PBN (спектр 1) и DMPO (спектр 2) после 4-минутного фотолиза (λ = 365 нм) раствора дихлорметана CH2Cl2 при 290 K.
Отметим широкие линии сигналов в спектрах DMPO/(СН2Cl)•. По всей видимости, они имеют дополнительные малые расщепления на магнитных ядрах. Введение константы СТВ a1/2 = 1.7 Гс, использованное нами, улучшает совпадение модельного и экспериментального спектров.
Дифенилиодониевая соль Ph2I+Cl–
Иодониевые соли (а смешанные фосфониево-иодониевые илиды можно считать иодониевой солью) могут подвергаться распаду по обеим связям С‒I+‒Ph с образованием соответствующих радикалов [26, 27]. Рассмотрим, какие радикалы детектируются спиновыми ловушками при фотоиндуцированном распаде Ph2I+Cl-.
На рис. 2 представлены экспериментальные (черные линии) и симулированные (красные линии) ЭПР-спектры аддуктов PBN (рис. 2а) и DMPO (рис. 2б), зарегистрированные после УФ-облучения Ph2I+Cl- в СН2Cl2.
Рис. 2. Экспериментальные (черные линии) и теоретические (красные линии) ЭПР-спектры спин-аддуктов PBN (а) и DMPO (б), зарегистрированные после 3-минутного УФ-облучения Ph2I+Cl- в СН2Cl2 при температуре 290 K; (а) – спектры аддуктов PBN после облучения в течение 0 – (1), 5 – (2), 25 мин (3); б – ЭПР-спектр аддуктов DMPO (1), зарегистрированный после 3-минутного фотолиза раствора (звездочками отмечены линии ЭПР, относящиеся к аддукту DMPO/•СН2Cl); ЭПР-спектр аддуктов DMPO (2), зарегистрированный после 10-минутного фотолиза раствора.
В первые минуты после УФ-облучения с помощью ловушки PBN детектируется спиновой аддукт (рис. 2а, спектр 1) с магнитно-резонансными параметрами (см. табл. 1), близкими к PBN/Ph•. Согласно данным из работы [11], для PBN/Ph• константы СТВ следующие: aN = 14.68 Гс, aH = 2.58 Гс. Отметим, что в аддукте PBN/IPh+• расщепление на атоме иода может не наблюдаться, если радикал присоединился по бензольному кольцу. Поэтому сказать точно какой радикал, Ph• или IPh+•, был захвачен, не представляется возможным.
Со временем в ЭПР-спектре аддуктов PBN появляются другие радикалы (рис. 2a, спектр 2, табл. 1). Их суперпозиционный спектр хорошо моделируется сигналами от PBN/•Cl (55% в композиционном спектре, aN = 12.45 Гс, aH = 0.8 Гс, a35Cl = 6.2 Гс, a37Cl = 5.2 Гс для PBN/•Cl [20, 21]), PBN/•СН2Cl (9% в композиционном спектре) и уже образовавшемуся в растворе PBN/Ph• (12% в композиционном спектре). Через 25 мин сигнал от PBN/•Cl исчезает, и остаются сигналы от PBN/Ph• и PBN/•СН2Cl (рис. 2a, спектр 3).
В присутствии DMPO после фотолиза раствора Ph2I+Cl- наблюдается спектр ЭПР (рис. 2б, спектр 1), представляющий собой суперпозицию сигналов двух аддуктов DMPO. Первый сигнал относится к уже известному DMPO/•СН2Cl (55% в композиционном спектре). Константы СТВ для второго аддукта указывают на отсутствие протона в β-положении соответствующего нитроксильного радикала. Отметим, что в присутствии ионов хлора и хлорсодержащих соединений, DMPO могут подвергаться окислительно-восстановительным реакциям с образованием продуктов, отличных от наблюдаемых в других условиях [28–31]. По константам СТВ и g-фактору можно предположить, что в нашем случае образуется нитроксильный радикал (DMPO-3) в результате следующих реакций (см. Cхему 3).
Схема 3
Облучение раствора диарилиодониевой соли в присутствии DMPO в течение 10 мин изменяет вид спектра (рис. 2б, спектр 2). В нем доминирует (> 90%) сигнал с константами СТВ aN = 6.7 Гс и aH = 3.5 Гс (2H). Отметим, что типичные значения констант СТВ на атоме азота для аддуктов DMPO лежат в диапазоне ~12‒16 Гс [20], если реакция присоединения короткоживущего радикала протекает по обычной схеме (см. Схему 2). Полученное в нашем эксперименте значение константы aN значительно отличается. Отметим также отсутствие константы на протоне в β-положении. Полученные значения констант СТВ близки к константам 5,5-диметил-2-пирролидон-оксильного радикала (DMPOX) [28–31], который образуется в результате окислительной реакции DMPO. Структура данного радикала представлена ниже:
Трифенилфосфин (Ph)3P
Как мы предположили ранее [6–8], при фотолизе илида 1 образующиеся радикалы содержат трифенилфосфониевую группу. Поэтому с использованием спиновых ловушек были исследованы радикалы, возникающие при фотолизе трифенилфосфина (Ph)3P в CH2Cl2. Согласно данным работ [32, 33] фотолиз (Ph)3P ведет к образованию радикалов Ph• и Ph2P•. Спектры ЭПР спиновых аддуктов PBN (рис. 3, спектр 1) и DMPO (рис. 3, спектр 2), регистрируемых при фотолизе трифенилфосфина (Ph)3P в растворе CH2Cl2, представляют собой суперпозицию нескольких сигналов, относящихся к аддуктам с разными захваченными радикалами (табл. 1).
Рис. 3. Экспериментальные (черные линии) и теоретические (красные линии) ЭПР-спектры спиновых аддуктов, зарегистрированные после УФ-облучения раствора (Ph)3P в СН2Cl2 при 290 K: 1 – спектр аддуктов PBN, зарегистрированный после 80-секундного УФ-облучения раствора; 2 – спектр ЭПР аддуктов DMPO после 120-секундного УФ-облучения раствора.
Спектр ЭПР аддуктов PBN описывается суперпозицией двух сигналов. Первый сигнал можно отнести к аддукту PBN/Ph• (30% в композиционном спектре), так как значения его спектральных параметров практически совпадают с величинами для PBN/Ph•, полученными нами при фотолизе Ph2I+Cl- и известными из работы [28]. Значения констант СТВ второго сигнала (70% в композиционном спектре) близки к аддукту PBN с радикалом Ph2P•. По данным, приведенным в работах [32, 33], значения констант СТВ для PBN/Ph2P• составляют: aN = 14.1 Гс, aH = 3.2 Гс, aP = 18.2 Гс в бензоле. Как отмечалось выше, величины изотропных констант СТВ зависят от полярности растворителя, поэтому незначительное различие в них может наблюдаться для разных растворителей. Отметим, что значения констант СТВ на атоме фосфора в известных аддуктах PBN с фосфор-центрированными радикалами лежат в диапазоне 17‒19 Гс [20, 32, 34].
Спектр ЭПР аддуктов DMPO представляет собой суперпозицию трех сигналов. Параметры первого сигнала соответствуют величинам для DMPO/•PPh2 (40% в композиционном спектре). Согласно данным из работ [20, 32, 34] значения констант СТВ этого аддукта в бензоле ‒ aN = 13.6 Гс, aH = 18.3 Гс, aP = 37.2 Гс, что соответствует с полученным в нашем эксперименте результатам. Вторым захваченным радикалом (20% в композиционном спектре) можно считать Ph•, так как расчетные значения констант СТВ хорошо согласуются с данными, приведенными в работах [20, 35]. Третьим захваченным радикалом (40% в композиционном спектре) может быть •СНCl2. На это указывает величина g-фактора данного аддукта и значения констант СТВ на атоме азота и водорода, которые отличаются от значений для захваченного •СН2Cl радикала. Интересно отметить, что данный радикал при фотолизе СН2Cl2 нами не регистрировался (см. выше).
Фенилацетилен
Как отмечалось выше, реакции смешанных фосфониево-иодониевых илидов с ацетиленами создают дополнительные возможности для получения новых, ранее труднодоступных фосфорсодержащих гетероциклических соединений, позволяя синтезировать их в одну стадию при комнатной температуре. Для определения механизма данных реакций необходимо знать прежде всего какие радикалы могут образовываться в самом ацетилене. В данной работе нами был выбран фенилацетилен.
Полученные ЭПР-спектры аддуктов PBN в растворе фенилацетилена описываются суперпозицией двух основных сигналов (рис. 4, спектр 1, табл. 1). Значения спектральных параметров первого сигнала близки по величине к аддукту PBN/•СН2Cl (49% в композиционном спектре). Вторым захваченным радикалом (51% в композиционном спектре), может быть радикал со структурой, подобной радикалу Ph-•C=CH-R, ведущему полимеризацию ацетиленов [36]. Отметим, что значение константы СТВ на атоме азота второго радикала достаточно большое (~15.9 Гс), что характерно для присоединенных алкильных радикалов [20, 37–39].
Рис. 4. Экспериментальные (черные линии) и теоретические (красные линии) ЭПР-спектры аддуктов PBN (спектр 1) и DMPO (спектр 2), зарегистрированные после УФ-облучения раствора фенилацетилена в СН2Cl2 при 290 К.
В растворе фенилацетилена после фотолиза в присутствии DMPO также детектируются несколько аддуктов с разными захваченными радикалами (рис. 4, спектр 2, табл. 1). Доминирующим нитроксильным радикалом (> 90% в композиционном спектре), как и в случае с PBN, предположительно, является аддукт DMPO c радикалом Ph-•C=CH-R, ведущим полимеризацию. Его значения магнитно-резонансных параметров наиболее близки к известным в литературе данным для DMPO/Ph• и DMPO/•СН2Ph [20, 35].
Вторым по вкладу в композиционный спектр (чуть более 7%) может быть нитроксильный радикал с константами СТВ aN = 15.2 Гс и aH = 2.5 Гс (2Н). Как и при фотолизе раствора дифенилиодониевой соли, данный нитроксильный радикал может быть продуктом окислительно-восстановительных реакций DMPO в растворе. Константы СТВ других радикалов определить не представляется возможным из-за их слабых сигналов в суперпозиционном ЭПР-спектре.
Илид 1
В работах [6–8] показано, что при фотолизе илида l происходит образование радикальных интермедиатов, была предложена схема радикального распада илида (Схема 1) и зарегистрированы долгоживущие радикалы 2 с помощью стационарной ЭПР-спектроскопии. Используя спиновые ловушки, можно предположить какие еще радикалы могут образовываться.
На рис. 5 представлены ЭПР-спектры аддуктов PBN (спектр 1) и DMPO (спектр 2), полученные после фотолиза растворов илида 1 в СН2Cl2.
Рис. 5. Экспериментальные (черные линии) и теоретические (красные линии) спектры ЭПР аддуктов PBN (спектр 1) и DMPO (спектр 2) после фотолиза (λ = 365 нм) раствора илида 1 в CH2Cl2 при 290 К. На вставке – усиленная в 100 раз низкопольная компонента сигнала от DMPO/F•-радикала.
Спектр аддуктов PBN представляет собой суперпозицию ЭПР-сигналов двух нитроксильных радикалов (на рис. 5 их линии ЭРП отмечены “+” и “*”). Значения констант СТВ первого радикала (линии ЭПР отмечены значком “*” на рис. 5, спектр 1) близки к данным для нитроксильного радикала, образовавшегося в результате реакции спиновой ловушки с атомом фтора, т.е. PBN/F•. Согласно данным из работ [20, 40, 41], значения констант СТВ на атомарном фторе в аддуктах PBN находятся в диапазоне 35–49 Гс, что близко к значению в 50 Гс, полученному нами. Этот результат указывает на возможное участие противоиона (BF4-) в фотохимических реакциях илида 1.
Второй радикал (линии ЭПР отмечены значком “+” на рис. 5, спектр 1) относится к аддукту с захваченным углерод-центрированным радикалом, в структуре которого близко от реакционного центра находится атом со спином 1/2. Этим радикалом, согласно структуре илида 1, может быть атом фосфора. В работе [8] расшифрована сверхтонкая структура ЭПР-спектров долгоживущего радикала и предложена его структурная формула (радикал 2 на Схеме 1). По нашему мнению, именно радикал 2 реагирует с ловушкой с образованием аддукта PBN-2:
Сравнение значений магнитно-резонансных параметров данного аддукта с параметрами аддуктов с фосфор-центрированными радикалами (см. выше) подтверждает наше предположение. Значения констант СТВ на атоме фосфора значительно меньше в наблюдаемом нами радикале, а константа СТВ на водороде больше и по своей величине близка к константе на атоме фосфора в данном нитроксильном радикале (табл. 1).
В растворе CH2Cl2 илида 1 в присутствии DMPO после фотолиза детектируется интенсивный ЭПР-спектр (рис. 5, спектр 2). Моделирование спектра предполагало наличие трех разных радикалов в растворе. Значения магнитно-резонансных параметров первых двух аддуктов DMPO хорошо известны в литературе [11, 20], их относят к DMPO/Ph• (на рис. 5 спектр 2 отмечены значком “*”) и DMPO/F• (рис. 5, спектр 2, вставка). Наличие DMPO/Ph• в растворе подтверждает механизм фотораспада илидов, предложенный нами в работах [6–8].
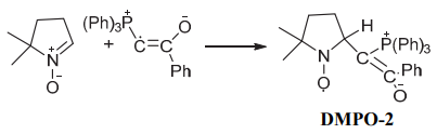
Третьим захваченным радикалом в растворе по аналогии с PBN может быть радикал 2 илида. Согласно классической схеме (Схема 2), при его реакции с DMPO должен образоваться нитроксильный радикал (DMPO-2):
Схема 4
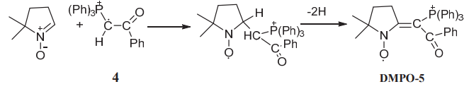
Однако в спектре полученного аддукта отсутствует расщепление на β-протоне и значение константы СТВ на атоме азоте (aN = 6.9 Гс) существенно ниже стандартного значения. Образование аддукта с таким низким значением aN может указывать на то, что присоединенный радикал является протонированной формой радикала 2. Тогда, согласно результатам, приведенным в работах [30, 31], в исследуемой системе могут протекать реакции, представленные на Схеме 5.
Схема 5
В результате этих реакций образуется аддукт DMPO-5. Именно данная структура аддукта удовлетворительно объясняет значения констант СТВ на азоте, фосфоре и двух протонах пирролинового цикла (табл. 1).
Образование радикала 4 предполагалось ранее на основе анализа спектра ЭПР, регистрируемого в процессе фотолиза 1 при комнатной температуре [6].
Отметим, что в литературе хорошо известны значения параметров аддуктов PBN и DMPO с фосфор-центрированными радикалами и нет данных, с которыми можно было бы сравнивать параметры по углерод-центрированным радикалам с близко находящимся в структуре атомом фосфора. Идентификация и объяснение значений магнитно-резонансных параметров спиновых аддуктов PBN и DMPO с радикалами 2 и 4 выполнены впервые.
Как показано в работах [16, 17, 19], фотохимические реакции смешанных фосфониево-иодониевых илидов с ацетиленами являются сложными и многостадийными. В настоящей работе определены радикальные интермедиаты отдельных соединений, участвующих в таких реакциях, необходимые для понимания механизма их действия в смеси илидов с ацетиленами. В дальнейшем планируются исследования фотохимических реакций илидов с разными ацетиленами и в разных растворителях.
ЗАКЛЮЧЕНИЕ
В присутствии спиновых ловушек PBN и DMPO, проведено ЭПР-исследование фотохимической реакции распада смешанного фосфониево-иодониевого илида и соединений, участвующих в его реакциях с ацетиленами в растворе СН2Cl2. Определены значения магнитно-резонансных параметров образующихся аддуктов, позволившие идентифицировать структуру захваченных радикалов. Полученные результаты подтвердили радикальный механизм фотораспада илида, предложенный в более ранних наших работах.
Показано, что как спиновая ловушка DMPO, так и ее аддукты, образующиеся в фотохимических реакциях смешанных фосфониево-иодониевых илидах в растворе СН2Cl2 могут подвергаться окислительно-восстановительным реакциям, в результате которых образуются нитроксильные радикалы с нетипичными значениями констант СТВ. Наличие радикалов •СН2Cl, •СНCl2 доказывает, что дихлорметан в фотохимических реакциях может выступать не только как растворитель, но и как реагент.
Спектральные измерения методом ЭПР-спектроскопии проводились в Центре коллективного пользования ИБХФ РАН “Новые материалы и технологии”.
Работа выполнена в рамках госзадания ИБХФ РАН (тема № 122041400114-2).
Об авторах
И. Д. Потапов
Институт биохимической физики им. Н.М. Эмануэля Российской академии наук; Московский государственный университет им. М.В. Ломоносова
Email: nekip@sky.chph.ras.ru
Россия, Москва; Москва
М. В. Мотякин
Институт биохимической физики им. Н.М. Эмануэля Российской академии наук
Email: nekip@sky.chph.ras.ru
Россия, Москва
T. А. Подругина
Московский государственный университет им. М.В. Ломоносова
Email: nekip@sky.chph.ras.ru
Россия, Москва
Т. Д. Некипелова
Институт биохимической физики им. Н.М. Эмануэля Российской академии наук
Автор, ответственный за переписку.
Email: nekip@sky.chph.ras.ru
Россия, Москва
Список литературы
- Baumgartner T. // Acc. Chem. Res. 2014. V. 47. № 5. P. 1613; https://doi.org/10.1021/ar500084b
- Regulska E., Romero-Nieto C. // Dalton Trans. 2018. V. 47. № 31. P. 10344; https://doi.org/10.1039/C8DT01485J
- Duffy M. P., Delaunay W., Bouit P. et al. // Chem. Soc. Rev. 2016. V. 45. № 19. P. 5296; https://doi.org/10.1039/C6CS00257A
- Belyaev A., Chen Y.-T., Su S.-H. et al. // Chem. Commun. 2017. V. 53. № 79. P. 10954; https://doi.org/10.1039/C7CC06882D
- Kampmeier J. A., Nalli T. W. // J. Org. Chem. 1994. V. 59. № 6. P. 1381; https://doi.org/10.1021/jo00085a030
- Некипелова Т.Д.,Каспаров В.В., Коварский А.Л. и др. // Докл. АН. 2017. Т. 474. № 6. С. 707.
- Некипелова Т. Д., Мотякин М. В., Каспаров В. В. и др. // Хим. физика. 2019. Т. 38. № 12. С. 19.
- Потапов И. Д., Мотякин М. В., Некипелова Т. Д., Подругина Т. А. // Изв. АН. Сер. хим. 2024. T. 73. № 3. C. 523.
- Villamena F.A. Reactive species detection in biology. From Fluorescence to Electron Paramagnetic Resonance Spectroscopy. Amsterdam: Elsevier, Science, 2016.
- Davies M. J. // Methods. 2016. V. 109. P. 21; https://doi.org/10.1016/j.ymeth.2016.05.013
- Janzen E. G., Coulter G. A., Oehler U. M. et al. // Can. J. Chem. 1982. V. 60. № 21. P. 2725; https://doi.org/10.1139/v82-392
- Chumakova N. A., Lazhko A. E., Matveev M. V. et al. // Russ. J. Phys. Chem. B. 2023. V. 16. № 8. P. 1397; https://doi.org/10.1134/S1990793122080073
- Ivanova T. A., Zubanova E. M., Popova A. A. et al. // Russ. J. Physical Chemistry B. 2022. V. 16. № 7. P. 1208; https://doi.org/10.1134/S1990793122070089
- Ivanova T. A., Melnikov M. Ya., Timashev P. S. et al. // Russ. J. Phys. Chem. B. 2023. V. 17. № 2. P. 471; https://doi.org/10.1134/S1990793123020276
- Popova A. A., Golubeva E. N. // Russ. J. Phys. Chem. B 2023. V. 17. № 7. P. 1540; https://doi.org/10.1134/S1990793123070187
- Matveeva E. D., Podrugina T. A., Pavlova A. S. et al. // Eur. J. Org. Chem. 2009. V. 14. P. 2323; https://doi.org/10.1002/ejoc.200801251
- Matveeva E. D., Vinogradov D. S., Podrugina T. A. et al. // Ibid. 2015. V. 33. P. 7324; https://doi.org/10.1002/ejoc.201500876
- http://www.niehs.nih.gov/research/resources/software/toxpharm/tools/index.cfm
- Levina I.I., Klimovich O.N., Vinogradov D.S. et al. // J. Phys. Org. Chem. 2018. V. 31. № 7. P. e3844.
- Buettner G.R. // Free Radical Biol. Med. 1987. V. 3. P. 259.
- Davies M. J., Slater T. F. // Chem.-Biol. Interact. 1986. V. 58. № 2. P. 137.
- Sang H., Janzen E. G., Poyer J. L. et al. // Free Radical Biol. Med. 1997. V. 22. № 5. P. 843.
- Brusa M.A., Di Iorio Y., Churio M.S. et al // J. Mol. Catal. A: Chem. 2007. V. 268. № 1-2. P. 29; https://doi.org/10.1016/j.molcata.2006.12.008
- Calza P., Minero C., Pelizzetti E. // J. Chem. Soc. Faraday Trans. 1997. V. 93. № 21. P. 3765; https://doi.org/10.1039/A703867D
- Calza P., Minero C., Pelizzetti E. // Environ. Sci. Technol. 1997. V. 31. № 8. P. 2198; https://doi.org/10.1021/es960660x
- Romanczyk P. P., Kurek S. S. // Electrochim. Acta. 2020. V. 351. Р. 136404; https://doi.org/10.1016/j.electacta.2020.136404
- Dektar J.L., Hacker N.P. // J. Org. Chem. 1990. V. 55. P. 639; https://doi.org/10.1021/jo00289a045
- Bernofsky C., Bandara B.M.R., Hinojosa O. // Free Radical Biol. Med. 1990. V. 8. № 3. P. 231.
- Stan S., Daeschel M.A. // J. Agric. Food Chem. 2005. V. 53. № 12. P. 4906; https://doi.org/10.1021/jf047918k
- Aurich H.G., Schmidt M., Schwerzel Th. // Ber. 1985. V. 118. P. 1086.
- Bandara B.M.R., Hinojosa O., Bernofsky C. // J. Org. Chem. 1992. V. 57. Р. 2652.
- Sueishi Y., Miyake Y. // Bull. Chem. Soc. Jpn. 1997. V. 70. P. 397.
- Sueishi Y., Nishihara Y. // J. Chem. Research (S). 2001. P. 84.
- Noel-Duchesneau L., Lagadic El., Morlet-Savary F. et al. // Org. Lett. 2016. V. 18. P. 5900.
- Chignell C.F., Motten A.G., Sik R.H. et al. // Photochem. Photobiol. 1994. V. 59. № 1. P. 5.
- Hwang J.S., Tsonis C.P. // Polymer. 1981. V. 22. № 11. P. 1462.
- Novakov C.P., Feierman D., Cederbaum A.I. et al. // Chem. Res. Toxicol. 2001. V. 14. № 9. P. 1239; https://doi.org/10.1021/tx015507h
- Kunitake T., Murakami S. // J. Polym. Sci., Part A: Polym. Chem. 1974. V. 12. № 1. P. 67.
- Candra H., Davidson I.M.T., Symons M.C.R. // J. Chem. Soc., Faraday Trans. 1. 1983. V. 79. № 11. P. 2705.
- Pryor W.A., Nuggehalli S.K., Scherer K.V. et al. // Chem. Res. Toxicol. 1990. V. 3. P. 2.
- Eberson L. // J. Chem. Soc., Perkin Trans. 2. 1992. № 10. P. 1807; https://doi.org/10.1039/P29920001807
Дополнительные файлы















