Influence of water microdroplets on hydrogen–air flame instability development in a channel
- Authors: Yakovenko I.S.1, Kiverin A.D.1
-
Affiliations:
- Joint institute for high temperatures of the Russian Academy of Sciences
- Issue: Vol 43, No 8 (2024)
- Pages: 101-108
- Section: Combustion, explosion and shock waves
- URL: https://ogarev-online.ru/0207-401X/article/view/280188
- DOI: https://doi.org/10.31857/S0207401X24080111
- ID: 280188
Cite item
Full Text
Abstract
The paper is devoted to the numerical analysis of the gaseous combustion process in a channel willed with the hydrogen-air mixture with the inflow of a fresh mixture seeded with microdroplets of water. The dynamics of microdroplets are described in the Lagrangian approximation, which makes it possible to identify the role of local interaction between the droplets and the flame front. It has been shown that the impact of droplets on the front can provoke the generation of disturbances of the flame front and intensify the development of front instability, thereby causing an integral increase in the combustion rate. Using spectral analysis of the structure of the front in the presence of microdroplets, the dynamics of the development of individual harmonics of front disturbances was analyzed and the mechanisms of evolution of the flame front under the influence of microdroplets of water were identified.
Full Text
ВВЕДЕНИЕ
Динамика процесса горения газовых смесей является предметом многочисленных научных исследований ввиду необходимости обеспечения наиболее устойчивых и эффективных режимов горения для создания новых энергетических установок и двигательных устройств. В то же время информация о фундаментальных закономерностях развития горения различных химически активных газовых смесей может быть использована для разработки надежных систем пожаро- и взрывобезопасности. На сегодняшний день распыление мелкодисперсных капель воды – один из наиболее распространенных подходов к пожаротушению, однако влияние дисперсных капель на газофазное горение не до конца изучено. Так, экспериментально показано, что добавление взвешенных капель воды в горючую газовую смесь способно привести к погасанию дефлаграцонных и детонационных волн [1, 2], затуханию взрывных волн [3], снижению темпов ускорения пламени и задержке перехода к детонации [4]. В присутствии капель воды в газовой смеси возможно также смещение нижнего концентрационного предела горения в область более богатых составов [5, 6]. Однако при этом в ряде экспериментальных работ наблюдался и обратный эффект, и при добавлении капель воды происходила интенсификация процесса горения [7, 8].
Механизмы, ответственные за ускорение процесса горения при добавлении в газовую среду капель воды, могут быть обусловлены различными факторами. Так, распыление капель приводит к генерации газодинамических возмущений и турбулизации среды, что, в свою очередь, может приводить как к увеличению скорости распространения пламени [9, 10], так и к погасанию в случае смесей, близких к концентрационному пределу горения [11]. Другим возможным сценарием является локальное возмущение фронта пламени при его взаимодействии с каплями воды, неустойчивый рост этого возмущения и соответствующая интенсификация горения [12, 13]. В случае бедных смесей водорода с воздухом фронт горения подвержен развитию как гидродинамической неустойчивости, так и неустойчивости термодиффузионной природы [14]. Влияние двух механизмов определяет высокую восприимчивость процесса горения обедненных водородно-воздушных смесей к возмущениям фронта пламени, в том числе вызванных внешними факторами, такими как присутствие примесей в газовой смеси.
В работе авторов [15] был проведен ряд вычислительных экспериментов по горению внутри замкнутого объема, заполненного водородно-воздушной смесью обедненного состава (15% водорода в воздухе) с содержанием микрокапель воды, где было показано, что присутствие относительно крупных микрокапель диаметром более 100 мкм способно интенсифицировать горение посредством развития гидродинамической неустойчивости фронта пламени. При этом обнаружено, что существенную роль играет начальное расстояние между каплями, так как им определяется пространственный масштаб возмущений фронта. Так, наиболее интенсивное развитие поверхности пламени наблюдается в случае, когда расстояние между каплями соответствует критической длине волны. В этом случае на поверхности пламени возмущаются быстрорастущие гармоники и интегральная скорость горения смеси увеличивается наиболее существенно. Настоящая работа продолжает анализ, проведенный в работе [15], и посвящена исследованию развития пространственной структуры фронта горения при его распространении в открытом канале с подачей свежей смеси с примесью микрокапель.
ПОСТАНОВКА ЗАДАЧИ
Рассмотрим горение водородно-воздушной газовой смеси с содержанием водорода 15% внутри канала, открытого с двух сторон (рис. 1). С одной стороны (слева) в канал подается поток свежей смеси, с противоположной стороны (справа) из канала истекают продукты горения. Такая постановка задачи аналогична рассмотренной ранее в работе [16]. Ширина канала H = 1 см, длина канала L = 2 см. Вместе со свежей смесью в канал подаются два потока микрокапель воды с диаметром 100 мкм симметрично относительно центра канала (рис. 1). При этом поперечное расстояние между потоками капель (hd) варьируется от 2 до 4 мм. Продольное расстояние между каплями в каждой из струй (ld) задавалось равным 1 мм. Начальная скорость микрокапель – 1 м/с. Данные параметры соответствуют средним значениям величин, получаемым при работе спринклерных оросителей, используемых в системах пожаротушения [17]. Скорость подачи свежей смеси составляет 32 см/с, что соответствует нормальной скорости горения Sb смеси 15% водорода с воздухом [18]. Боковые стенки канала задавались гладкими (без прилипания потока) и адиабатическими.
Рис. 1. Постановка задачи о распространении пламени в открытом канале с подачей свежей смеси с примесью взвешенных микрокапель воды: штриховая линия – начальное возмущение, штрих-пунктирная – ось симметрии.
В начальный момент времени горение инициируется на границе между свежей смесью и областью продуктов горения при начальной температуре 1500 К. При этом на границе области продуктов задано слабое начальное возмущение по гармоническому закону:
,
где число гармоник n = 4, а амплитуда возмущения A0 = 0.15 мм. В результате в канале формируется фронт горения, распространяющийся от правого конца канала к левому, навстречу потоку реагирующей смеси.
В ходе численного моделирования решается полная система уравнений Навье–Стокса с учетом эффектов вязкости, теплопроводности, многокомпонентной диффузии и детальных схем химической кинетики. Ввиду относительно слабой интенсивности горения обедненной смеси водорода с воздухом для экономии вычислительных ресурсов использовано приближение малой сжимаемости [19]. Вычислительный алгоритм решения модельных уравнений соответствует предложенному в работе [20] и имеет второй порядок точности по времени и пространству. Подробнее детали используемых физико-математических моделей и вычислительных подходов описаны в предыдущих работах авторов [15, 16].
Перенос микрокапель воды описывается в лагранжевом приближении, что позволяет воспроизвести влияние локальных эффектов при взаимодействии отдельных капель с фронтом горения. В модели межфазного взаимодействия учитывался взаимный обмен импульсом и энергией между каплями и газом. Сопротивление капель потоку описывалось в соответствии с законом Стокса, где коэффициент сопротивления для сферической капли рассчитывался в приближении Шиллера–Наумана [21]. Нагрев и испарение микрокапель учитывались путем решения системы уравнений для массы капли, температуры жидкости, температуры окружающего газа и концентрации водяного пара [22]. Химическая кинетика окисления водорода описывается детальной схемой, приведенной в работе [23], включающей 21 реакцию между восемью химически активными элементарными компонентами. Размер ячейки расчетной области составлял 150 мкм, что соответствует области сходимости решения по нормальной скорости горения и ширине фронта ламинарного пламени для обедненной водородно-воздушной смеси с содержанием водорода 15% [15]. Расчеты выполнялись с применением разрабатываемой в ОИВТ РАН программной платформы вычислительной газодинамики с открытым исходным кодом NRG [24].
РЕЗУЛЬТАТЫ И ИХ ОБСУЖДЕНИЕ
Эволюция фронта горения в канале обусловлена влиянием естественной неустойчивости фронта. Для обедненной водородно-воздушной смеси существенную роль играют гидродинамический и термодиффузионный механизмы развития неустойчивости [14]. Посредством этих механизмов эволюционируют возмущения фронта пламени, определяя пространственное искажение фронта и соответствующее изменение скорости его распространения по реагирующей смеси. При этом, если произвольное возмущение фронта разложить в спектр гармоник, то каждая из них будет характеризоваться различными скоростями нарастания амплитуды. На начальной стадии развития неустойчивости амплитуда каждой гармоники изменяется со временем по экспоненциальному закону: An(t) ~ exp(snt), где σn – инкремент нарастания амплитуды n-той гармоники.
На рис. 2 приведена дисперсионная кривая зависимости σn от n для смеси 15% водорода с воздухом, из вида которой можно заметить, что инкремент σn достигает максимума при n ≈ 3.78, что соответствует критической длине волны наиболее быстро растущей моды λcr = 2.64 мм. Таким образом, на начальной стадии развития неустойчивости фронта пламени, наблюдается наиболее быстрый экспоненциальный рост гармоник с длиной волны, равной критической. Дальнейшая эволюция фронта горения определяется нелинейным взаимодействием между гармониками и последующей нелинейной стабилизацией фронта [16]. На стадии нелинейной стабилизации доминируют длинноволновые гармоники, и фронт пламени приобретает вытянутую одномодовую структуру, на боковой поверхности которой развивается вторичная неустойчивость. Данная конфигурация характеризуется наибольшей площадью поверхности фронта горения и, соответственно, максимальной скоростью распространения пламени в невозмущенной среде.
Рис. 2. Дисперсионная кривая неустойчивости фронта пламени смеси 15% водорода с воздухом.
В присутствии микрокапель воды, кроме естественных механизмов зарождения и развития неустойчивости, эволюция фронта горения определяется также локальным взаимодействием между фронтом и микрокаплями воды. Так, наличие капель воды, взвешенных в несущей газовой фазе, приводит к потерям импульса потока и тепловой энергии на нагрев и испарение капель. Также насыщение зоны горения инертными парами воды в результате испарения капель может оказывать влияние на кинетику окисления обедненных водородно-воздушных смесей [25]. В случае относительно крупных капель скорость испарения достаточно мала, и ввиду быстрого прохождения капель через зону энерговыделения количество паров воды, формируемых в результате испарения, оказывается недостаточным, чтобы оказать существенное влияние на кинетику окисления обедненной водородно-воздушной смеси [26]. Наиболее интенсивно процессы нагрева и испарения происходят уже в области продуктов горения, где они также не могут оказать воздействия на динамику горения. Однако ввиду высокой инерции крупные капли обеспечивают существенное торможение газодинамического потока. Тем самым присутствие капель воды в горючей газовой смеси может привести к дополнительной генерации возмущений на поверхности фронта пламени. В этом случае процесс развития поверхности фронта горения во многом близок к ситуации, когда на фронт пламени оказывается внешнее воздействие в виде шума [27, 28].
На рис. 3 представлены изолинии температуры, демонстрирующие пространственную эволюцию пламени в случае чистой газовой смеси водорода с воздухом (рис. 3а) и в случае подачи микрокапель воды вместе со свежей смесью для различных поперечных расстояний hd между потоками капель (рис. 3б–г). Анализ эволюции фронта горения указывает на то, что присутствие микрокапель воды оказывает существенное влияние как на пространственную структуру фронта пламени, так и на скорость распространения пламени по каналу. В зависимости от расстояния между потоками капель наблюдаются различные закономерности развития структуры фронта. Так, в случае пространственного масштаба hd = 3 мм, наиболее близкого к критической длине волны, на поверхности фронта непрерывно генерируются быстрорастущие моды. В результате влияния капель переход к стадии нелинейной стабилизации отсутствует.
Рис. 3. Динамика развития структуры фронта пламени в чистой газовой смеси 15% водорода с воздухом и в присутствии микрокапель воды: а – горение без капель воды; б – горение с подачей капель воды в зону горения при hd = 2 мм, 3 мм (в) и 4 мм (г). Сплошные черные линии – изолинии температуры T = 1000 К, штриховые красные линии – начальное возмущение, штрихпунктирные черные линии – траектории микрокапель. Время между отдельными изолиниями Δt = 1 мс.
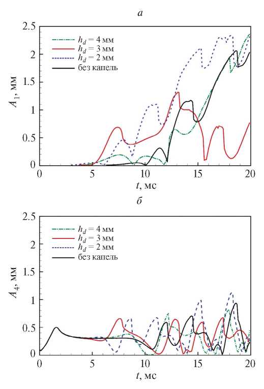
На рис. 4 представлены временны́е зависимости амплитуды гармоники с длиной волны, равной ширине канала (n = 1), рис. 4а, и начальной гармоники (n = 4), рис. 4б. Из рисунка видно, что в чистой газовой смеси после начальной стадии развития неустойчивости, пространственная структура фронта пламени определяется длинноволновой гармоникой с длиной волны, равной ширине канала. В зависимости от характерного пространственного масштаба, определяющего влияние микрокапель воды на фронт горения, может наблюдаться как ускорение перехода к одномодовой структуре (в случае hd = 4 мм), так и его отсутствие (hd = 3 мм). В случае, когда наличие микрокапель воды в горючей газовой смеси препятствует нелинейной стабилизации неустойчивости, эволюция фронта пламени определяется непрерывной генерацией быстрорастущих гармоник. При этом пространственная структура пламени близка к плоской (см. рис. 3в) и, как можно видеть из рис. 5а, существенного увеличения площади поверхности пламени не наблюдается. Временна́я зависимость скорости изменения средней координаты фронта ⟨x⟩f, нормированная на нормальную скорость горения Sb, представлена на рис. 5б. Резкие изменения средней скорости со временем связаны с моментами изменения пространственной конфигурации фронта и соответствующего изменения площади поверхности пламени. Как следует из графиков, представленных на рис. 5, воздействие микрокапель воды на фронт пламени с характерным пространственным масштабом, близким к критической длине волны, ограничивает величину площади поверхности пламени и тем самым препятствует ускорению пламени за счет растяжения в ходе развития стадии нелинейной стабилизации неустойчивости.
Рис. 4. Временны́е зависимости амплитуды гармоник фронта пламени An(t) для начального возмущения n = 1 (а) и гармоники с длиной волны, равной ширине канала n = 1 (б). Сплошные черные линии – чистая газовая смесь без капель, штрих-пунктирные зеленые линии – hd = 4 мм, сплошные красные линии – hd = 3 мм, штриховые синие линии – hd = 2 мм.
Рис. 5. а – Зависимость значений периметра фронта пламени, Pf, нормированного на ширину канала, от времени. б – Временна́я ависимость скорости средней координаты фронта пламени в лабораторной системе отсчета, ufL, нормированная на величину нормальной скорости горения Sb. Обозначения те же, что и для рис. 4.
ЗАКЛЮЧЕНИЕ
В работе рассмотрен механизм развития поверхности фронта пламени при горении смеси 15% водорода с воздухом в канале с подачей свежей смеси с примесью микрокапель воды. Показано, что присутствие микрокапель воды существенно влияет на эволюцию фронта пламени. При этом определяющим фактором является пространственный масштаб, характеризующий взаимодействие между потоками капель и фронтом пламени. Так, в случае, когда расстояние между потоками капель соответствует критической длине волны, на поверхности фронта непрерывно генерируются быстрорастущие возмущения, которые препятствуют переходу к стадии нелинейной стабилизации фронта пламени. При этом пламя не вытягивается в одномодовую структуру, характеризуемую большой площадью поверхности, а остается близким к плоскому, что ограничивает скорость его распространения. Таким образом, имеет место неоднозначность влияния микрокапель на развитие горения, что принципиально допускает оптимизацию режима горения газообразного топлива при подаче диспергированной жидкости в камеру сгорания. Полученные данные по влиянию пространственного распределения капель на режим горения дополняют полученные ранее в работе [15] результаты.
Работа выполнена с использованием суперкомпьютерных ресурсов Межведомственного суперкомпьютерного центра Российской академии наук.
Данная работа финансировалась за счет средств бюджета института. Никаких дополнительных грантов на проведение или руководство данным конкретным исследованием получено не было.
About the authors
I. S. Yakovenko
Joint institute for high temperatures of the Russian Academy of Sciences
Author for correspondence.
Email: yakovenko.ivan@bk.ru
Russian Federation, Moscow
A. D. Kiverin
Joint institute for high temperatures of the Russian Academy of Sciences
Email: yakovenko.ivan@bk.ru
Russian Federation, Moscow
References
- G.O. Thomas, A. Jones, M.J. Edwards, Combust. Sci. Technol. 80(1-3), 47-61 (1991). https://doi.org/10.1080/00102209108951776
- G.O. Thomas, M.J. Edwards, D.H. Edwards, Combust. Sci. Technol. 71(4-6), 233-245 (1990). https://doi.org/10.1080/00102209008951634
- K. van Wingerden, B. Wilkins, J. Bakken, G. Pedersen, J. Loss. Prev. Process. Ind. 8(2), 61-70 (1995). https://doi.org/10.1016/0950-4230(95)00007-N
- L. Boeck, A. Kink , D. Oezdin, J. Hasslberger, T. Sattelmayer, Int. J. Hydrogen Energy 40(21), 6995-7004 (2015). https://doi.org/10.1016/j.ijhydene.2015.03.129
- S.S. Tsai, N.J. Liparulo Fog inerting criteria for hydrogen/air mixtures, Tech. Rep. CONF-821026e. Palo Alto, CA (USA): Electric Power Research Inst. (1982).
- S.P. Medvedev , B.E. Gel’fand, A.N. Polenov, S.V. Khomik, Combust. Explos. Shock Waves 38(4), 381-386 (2002) https://doi.org/10.1023/A:1016277028276
- M. Gieras, J. Loss. Prev. Process. Ind. 21(4), 472-477 (2008). https://doi.org/10.1016/j.jlp.2008.03.004.
- P. Zhang, Y. Zhou, X. Cao, X. Gao, M. Bi, J. Loss. Prev. Process. Ind. 29(1), 313-318 (2014). https://doi.org/10.1016/j.jlp.2014.03.014
- K. van Wingerden, B. Wilkins, J. Loss. Prev. Process. Ind. 8(2), 53-59. (1995). https://doi.org/10.1016/0950-4230(95)00002-I
- G.O. Thomas, J.R. Brenton An investigation of factors of relevance during explosion suppression by water sprays. Tech. Rep. OTH 94 463. London, UK: The University College of Wales (1996).
- A.S. Betev, A.D. Kiverin, S.P. Medvedev, I.S. Yakovenko, Russian Journal of Physical Chemistry B 14(6), 940–945 (2020). https://doi.org/10.1134/S1990793120060160
- C. Nicoli, P. Haldenwang, B. Denet, Combust. Sci. Technol. 191(2), 197-207 (2019). https://doi.org/10.1080/00102202.2018.1453728
- C. Nicoli, P. Haldenwang, B. Denet, Combust. Theor. Model. 21(4), 630-645 (2017). https://doi.org/10.1080/13647830.2017.1279756
- M. Matalon, Annu. Rev. Fluid Mech. 39(1), 163-191 (2007). https://doi.org/10.1146/annurev.fluid.38.050304. 092153
- I.S. Yakovenko, A.D. Kiverin, Int. J. Hydrogen Energy 46(1), 1259-1272 (2021). https://doi.org/10.1016/j.ijhydene.2020.09.234
- I.S. Yakovenko, I.S. Medvedkov, A.D. Kiverin, Russian Journal of Physical Chemistry B 16(2), 294–299 (2022). https://doi.org/10.1134/S1990793122020142
- D.T. Sheppard Spray Characteristics of Fire Sprinklers, National Institute of Standards and Technology, NIST GCR 02-838 (2002).
- A.M. Tereza, G.L. Agafonov, E.K. Anderzhanov, A.S. Betev, S.P. Medvedev, S.V. Khomik, Russian Journal of Physical Chemistry B 16(4), 686–692 (2022). https://doi.org/10.1134/S1990793122040297
- R.G. Rehm, H.R. Baum, Journal of Research of the National Bureau of Standards, 83(3), 297-308 (1978). https://doi.org/10.6028/jres.083.019
- K. McGrattan, R. McDermott, S. Hostikka, et. al. Fire Dynamics Simulator Technical Reference Guide Volume 1: Mathematical Model, Tech. Rep. NIST Special Publication 1018-1, U.S. Department of Commerce, National Institute of Standards and Technology, Gaithersburg, MD (2019). https://doi.org/10.6028/NIST.SP.1018
- C.T. Crowe, J.D. Schwarzkopf, M. Sommerfeld, Y. Tsuji Multiphase flows with droplets and particles. 2nd ed. Boca Raton, FL (USA): CRC Press, 2012. ISBN 978-0-4291-0639-2
- N.P. Cheremisinoff Gas-liquid flows. Encyclopedia of fluid mechanics. 1st ed., vol. 3. Houston, TX (USA): Gulf Publishing, 1986. ISBN 0-87201-515-7
- A. Keromnes, W.K. Metcalfe, K.A. Heufer et al., Combust. Flame. 160, 995-1011. (2013). https://doi.org/10.1016/j.combustflame.2013.01.001.
- NRG computational package for reactive flows modeling. https://github.com/yakovenko-ivan/NRG
- A.M. Tereza, G.L. Agafonov, E.K. Anderzhanov, A.S. Betev, S.P. Medvedev, S.V. Khomik, T. T. Cherepanova Russian Journal of Physical Chemistry B 17(4), 974–978 (2023). https://doi.org/10.1134/S1990793123040309
- A.M. Tereza, G.L. Agafonov, E.K. Anderzhanov, A.S. Betev, S. P. Medvedev, S. V. Khomik, T. T. Cherepanova Russian Journal of Physical Chemistry B 17(2), 425–432 (2023). https://doi.org/10.1134/S1990793123020173
- R.V. Fursenko, K.L. Pan, S.S. Minaev Phys. Rev. E. 78, 056301 (2008). https://doi.org/10.1103/PhysRevE.78.056301
- F. Creta, N. Fogla, M. Matalon Combust. Theor. Model. 15(2), 267-298 (2011) https://doi.org/10.1080/13647830.2010.538722
Supplementary files







