The role of third-body collision efficiency in autoignition of hydrogen–air mixtures
- Authors: Tereza A.M.1, Agafonov G.L.1, Anderzhanov E.K.1, Betev A.S.1, Medvedev S.P.1, Mikhalkin V.N.1,2, Khomik S.V.1, Cherepanova T.T.1
-
Affiliations:
- Semenov Federal Research Center for Chemical Physics, Russian Academy of Sciences
- Academy of State Fire Service of EMERCOM of Russia
- Issue: Vol 43, No 7 (2024)
- Pages: 73-82
- Section: Combustion, explosion and shock waves
- URL: https://ogarev-online.ru/0207-401X/article/view/274710
- DOI: https://doi.org/10.31857/S0207401X24070071
- ID: 274710
Cite item
Full Text
Abstract
Numerical simulations of autoignition of lean (6% H2), stoichiometric, and rich (90% H2) hydrogen–air mixtures have been performed to examine the influence of third-body efficiency (chaperon efficiency, CE) on the value of ignition delay, τ. The temperature ranges explored in the computations are 850–1000 K for P0 = 1 bar and 1000–1200 K for P0 = 6 bar. By using a detailed kinetic mechanism, it has been found that the sensitivity of ignition delay to CE is the highest for the reaction step H + O2 + M = HO2 + M, which can lead to a variation in τ by a factor of 2 to 3. A pressure increase or deviation from stoichiometry reduces the sensitivity. The influence of CE is qualitatively different and weaker for the reaction step OH + OH + M = H2O2 + M.
Full Text
ВВЕДЕНИЕ
Развитие методов численного моделирования на основе детальных кинетических механизмов (ДКМ) позволяет повысить точность расчетов самовоспламенения и горения водородно-воздушных смесей. Влияние химической кинетики необходимо учитывать при моделировании, например, структуры пламени [1, 2] или процессов перехода горения в детонацию [3–6] в водородно-воздушных смесях. Прогресс в повышении качества моделирования с использованием ДКМ достигнут в основном в расчетах таких характеристик горения, как задержка воспламенения τ и скорость ламинарного пламени [7–17], тогда как профили реагентов и продуктов часто остаются без внимания. Мотивацией для совершенствования ДКМ служат как получение новых, более надежных экспериментальных данных для валидации ДКМ, так и более точные измерения констант скорости элементарных реакций и термодинамических свойств, участвующих в них атомов, радикалов и молекул [18, 19]. Следует отметить, что ДКМ горения смесей H2 –воздух являются важнейшими блоками реакций, включаемыми в разнообразные модели процессов с участием углеводородных топлив.
ПОСТАНОВКА ЗАДАЧИ
Вместе с тем в обсуждаемых кинетических механизмах остаются неясности [19], обусловленные прежде всего зависимостью химического процесса горения водорода от давления [12, 18, 20]. Описание исследуемых явлений еще более усложняется при возникновении в реагирующей среде ударных волн, где присутствуют процессы колебательной релаксации [21]. Большинство ДКМ, используемых при моделировании горения водородно-воздушных смесей, ограничивается двумя десятками обратимых реакций без рассмотрения роли электронно-возбужденных радикалов и молекул. Среди них зависящими от давления являются реакции мономолекулярного распада вместе с обратными к ним реакциями рекомбинации [22]. Всего в водородно-воздушной смеси шесть таких реакций:
H + O2 + M = HO2 + M, (1)
H + OH + M = H2O + M, (2)
H + H + M = H2 + M, (3)
O + O + M = O2 + M, (4)
H + O + M = OH + M, (5)
OH + OH + M = H2O2 + M. (6)
Согласно теории Райса–Рамспергера–Касселя–Маркуса (РРКМ) [22], такие реакции протекают в переходной области (fall-off) изменения давления [22, 23]. В расчетах на основе ДКМ константы скорости k для реакций (1)–(6) определяются по формуле Линдемана–Хиншельвуда:
(i)
где k0 и k∞ – значения констант скорости в пределах низких и высоких давлений, а концентрация третьего тела, [M], зависит от давления [23]. Значение F определяется формулой
где
N = 0.75 – 1.27 logFc,
Fc = (1 – a) exp(–T/T***) +
+ a exp(–T/T*) + exp(–T**/T).
Значения констант k0 и k∞, а также соответствующих параметров a, T *, T ** и T*** для реакций (1)–(6) – свои в каждой ДКМ, представленной в литературе, и, как следствие, соответствующие значения k в них разные.
Из реакций (1)–(6) наибольшее влияние на самовоспламенение оказывает реакция обрыва цепи (1), поскольку она конкурирует с реакцией разветвления [24]:
H + O2 = OH + O. (7)
Конкуренция между ведущими реакциями (1) и (7) определяет условия смены кинетического механизма (так называемый “crossover”) [24]. Положение соответствующей области “излома” кривой зависимости задержки воспламенения от температуры [25] может быть различным при варьировании коэффициентов k1 и k7 и использовании разных ДКМ. В этой области зависимость τ от Т особенно сильна, и поэтому различие расчетных значений τ максимально. Поскольку скорости реакций зависят от концентраций водорода и кислорода в смеси, степень их влияния зависит от соотношения топливо/окислитель. Наиболее заметно это может проявляться для реакций (3) и (4).
В формуле (i) для констант скоростей реакций (1)–(6) константа k0 часто определяется с учетом эффективности соударений с третьим телом (chaperon efficiency (CE)) [24]. В табл. 1 представлены значения CE для реакций (1)–(6) из различных ДКМ, наиболее часто используемых при моделировании химической кинетики. Из-за трудоемкости расчетов и измерений этих значений они оцениваются с высокой неопределенностью. По этой причине в работе [24] для реакций (2)–(5) приняты одинаковые значения CE. Влияние перекиси водорода как третьего тела учитывается в ДКМ только для реакции (6).
Таблица 1. Значения СЕ – эффективностей соударений с третьим телом для реакций (1)–(6)
Номер реакции | Реакция | СЕ | |||||||
H2 | O2 | Ar | He | H2O | N2 | H2O2 | Ссылка | ||
1 | H+O2+M=HO2+M | 2.5 | – | 0.7 | 0.7 | 16.0 | – | – | [24] |
1.5 | – | 0.72 | 0.67 | 17.6 | – | – | [16] | ||
1.87 | 0.75 | 0.6 | 0.71 | 15.81 | 0.96 | – | [13] | ||
1.3 | – | 0.0 | 0.0 | 10.0 | – | – | [10] | ||
1.5 | 1.0 | 0.72 | 0.57 | 16.6 | – | – | [19] | ||
1.3 | – | 0.5 | 0.64 | 10.0 | – | – | [26] | ||
– | 0.85 | 0.4 | 0.46 | 11.89 | – | – | [14] | ||
2 | H+OH+M=H2O+M | 2.5 | – | 0.4 | 0.4 | 12.0 | – | – | [24] |
3.0 | 1.5 | – | 1.1 | 0.0 | 2.0 | [16] | |||
3.77 | 1.5 | 1.23 | 1.33 | 0.0 | 2.46 | – | [13] | ||
0.73 | – | 0.38 | 3.65 | – | – | [10] | |||
3.0 | 1.5 | – | 1.1 | 0.0 | 2.0 | – | [19] | ||
0.73 | – | 0.38 | – | 3.65 | – | – | [26] | ||
- | – | – | – | – | – | – | [14] | ||
3 | H+H+M=H2+M | 2.5 | – | 0.5 | 0.5 | 12.0 | – | – | [24] |
2.5 | – | 0.0 | 0.0 | 12.0 | – | – | [16] | ||
2.55 | – | 0.0 | 0.0 | 12.02 | 1.01 | – | [13] | ||
2.5 | – | – | 0.83 | 12.0 | – | – | [10] | ||
0.0 | – | – | – | 14.3 | 0.0 | – | [19] | ||
2.5 | – | – | 0.83 | 12.0 | – | [26] | |||
- | – | – | – | – | – | [14] | |||
4 | O+O+M=O2+M | 2.5 | – | 0.2 | 0.2 | 12.0 | – | – | [24] |
2.5 | – | 0.0 | 0.0 | 12.0 | – | – | [16] | ||
2.5 | – | 0.0 | 0.0 | 12.0 | – | – | [13] | ||
2.5 | – | 0.83 | 0.83 | 12.0 | – | – | [10] | ||
- | 8.0 | – | – | 5.0 | 2.0 | – | [19] | ||
2.5 | – | 0.83 | 0.83 | 12.0 | – | – | [26] | ||
- | – | – | – | – | – | – | [14] | ||
5 | H+O+M=OH+M | 2.5 | – | 0.7 | 0.7 | 12.0 | – | – | [24] |
2.5 | – | 0.75 | 0.75 | 12.0 | – | – | [16] | ||
2.5 | – | 0.75 | 0.75 | 15.8 | 1.32 | – | [13] | ||
2.5 | – | 0.75 | 0.75 | 12.0 | – | – | [10] | ||
- | – | – | – | 5.0 | – | – | [19] | ||
2.5 | – | 0.75 | 0.75 | 12.0 | – | – | [26] | ||
1.0 | 0.4 | 0.35 | – | 6.5 | 0.4 | – | [14] | ||
6 | OH+OH+M=H2O2+M | 2.5 | – | 0.7 | 0.4 | 6.0 | – | 6.0 | [24] |
3.7 | 1.2 | – | 0.65 | 7.5 | 1.5 | 7.7 | [16] | ||
3.27 | 1.2 | 0.85 | 0.65 | 6.63 | 1.33 | 6.61 | [13] | ||
3.7 | 1.2 | – | 0.65 | 0.0 | 1.5 | 7.7 | [10] | ||
3.7 | 1.2 | – | 0.65 | 7.5 | 1.5 | 7.7 | [19] | ||
3.7 | 1.2 | – | 0.65 | 7.65 | 1.5 | 7.7 | [26] | ||
2.0 | – | 0.7 | – | 6.0 | – | – | [14] | ||
Примечание: прочерк по умолчанию означает, что СЕ = 1.
Если значения констант k0 и k∞ и параметров в формуле (i) периодически корректируются на основе теоретических расчетов, то значения CE практически не пересматриваются и часто подбираются по аналогии с экспериментальными данными, полученными для углеводородов [23, 27]. Анализ чувствительности расчетов величины τ к значениям CE в доступной литературе не представлен. В настоящей работе исследуется влияние значений CE на величины задержек воспламенения, рассчитанные для бедной, стехиометрической и богатой смесей водорода с воздухом.
МЕТОДИКА ЧИСЛЕННОГО МОДЕЛИРОВАНИЯ
Расчеты значений τ проведены с помощью программного модуля CHEMKIN-Pro, входящего в пакет ANSYS (Academic version) [28] при начальных давлениях P0 = 1 и 6 атм. Второе значение P0 соответствует пику избыточного давления, который наблюдался в работе [29] при переходе от “медленного” к “быстрому” режиму распространения пламени, приводящему к высоким нагрузкам и повреждению конструкций. В работе [17] было показано, что в температурном диапазоне от 800 до 1700 K для бедных водородно-воздушных смесей при давлении 1 и 6 атм численное моделирование с использованием различных ДКМ предсказывает значения задержки воспламенения, различающиеся не более чем в четыре раза. Максимальная разница между значениями задержек воспламенения τ, рассчитанными по разным ДКМ, наблюдается в области начальной температуры T0 ≈ 930 К для P0 = 1 атм и при T0 ≈ 1100 К для P0 = 6 атм. При T0 < 800 К время самовоспламенения водородно-воздушной смеси может достигать нескольких десятков минут. Поэтому в настоящей работе рассматривались диапазоны начальной температуры 850–1000 К для P0 = 1 атм и 1000–1250 К для P0 = 6 атм с переменной дискретизацией T0, учитывающей резкий рост температурной зависимости значения τ для каждого из этих давлений согласно работе [17]. Из табл. 1 видно, что значения CE в ДКМ из работ [16] и [19] весьма близки, а в работах [10] и [26] они практически совпадают. Значения CE для некоторых реакций в ДКМ из работ [13] и [14] также близки. В расчетах рассматривались значения CE, приведенные в работах [10, 13, 14, 16, 24]. Все расчеты проводились по ДКМ из работы [14] с поочередной заменой CE для каждой реакции в соответствии с данными из работ [10, 13, 16, 24]. Учитывались CE только для H2, O2, H2O2 и N2 (табл. 1).
В дальнейшем в качестве характеристики влияния CE на задержку воспламенения используется выраженное в процентах относительное отклонение
∆ = (ti – ta)/ta
от среднего значения
где τi (i = 1,…,5) – значения τ, рассчитанные с использованием СЕ соответственно, из работ [10, 13, 14, 16, 24], при фиксированном T0. Значение τ в расчетах определялось как момент времени, соответствующий максимальной скорости роста давления.
РЕЗУЛЬТАТЫ РАСЧЕТОВ И ОБСУЖДЕНИЕ
Значения τ, рассчитанные по ДКМ из работы [14] для всех трех смесей при P0 = 1 и 6 атм, представлены в табл. 2. В случае, если чувствительность к изменению CE в какой-либо из реакций (1)–(6) не обнаруживается, то значение в табл. 2 совпадает с τa. Расчеты показали, что при P0 = 1 или 6 атм значения τ при варьировании CE для реакций (2)– (5) во всех трех смесях близки к значениям, приведенным в табл. 2. Заметное влияние CE обнаружено только для реакций (1) и (6).
Таблица 2. Значения τ, рассчитанные по ДКМ из работы [14] для температур T0 в интервале 850–1200 К
Тип смеси | τ, с | |||||||||
850 | 870 | 900 | 930 | 1000 | 1000 | 1050 | 1100 | 1150 | 1200 | |
P0 = 1 атм | P0 = 6 атм | |||||||||
6% H2 | 1.7 | 0.63 | 0.09 | 1.4E−3 | 2.5E−4 | 0.011 | 2.1E−3 | 1.3E−4 | 2.8E−5 | 1.6E−5 |
29.6% H2 | 0.89 | 0.31 | 0.033 | 7.5E−4 | 1.6E−4 | 5.2E−3 | 8.2E−4 | 5.3E−5 | 1.4E−5 | 8.3E−6 |
90% H2 | 0.29 | 0.069 | 0.01 | 2.5E−3 | 7.9E−4 | 2.1E−3 | 4.5E−4 | 1.2E−4 | 6.0E−5 | 4.0E−5 |
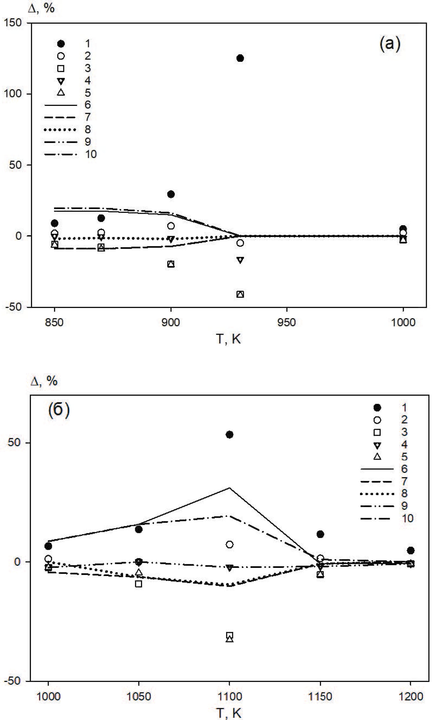
На рис. 1 представлены значения ∆ в зависимости от T0, рассчитанные для бедной смеси при P0 = 1 атм (рис. 1а) и P0 = 6 атм (рис. 1б) с использованием различных наборов CE для реакции (1). Видно, что на границах температурных интервалов влияние CE незначительно по сравнению с серединой этих интервалов. Например, использование CE из работы [24] при P0 = 1 атм приводит к значению τ, превышающему значение на границе интервала более чем в два раза (рис. 1а), а при P0 = 6 атм – в полтора раза (рис. 1б).
Рис. 1. Зависимость отклонения ∆ при использовании разных наборов значений CE для реакции (1) (символы) и (6) (линии) для бедной смеси (6% H2) при P0 = 1 (а) и 6 атм (б). Символы и линии соответствуют расчетам со значениями CE из работ [24] (1, 6), [16] (2, 7), [13] (3, 8), [10] (4, 9), [14] (5, 10).
Для реакции (6) температурная зависимость ∆ имеет иной характер, чем для реакции (1) (см. рис. 1). При P0 = 1 атм влияние CE заметно при T0 < 930 К и не превышает 20% (рис. 1а), а при P0 = 6 атм отклонение ∆ существенно при T0 < 1150 К и достигает максимального значения в 30% при T0 = 1100 К для CE из работы [24] (рис. 1б). Из рис. 1 видно, что для реакции (1) значение ∆ заметно больше, чем для реакции (6).
В стехиометрической смеси (29.6% H2) влияние CE на ∆(T) для реакций (1) и (6) имеет такой же характер, как и в бедной, но величина ∆(T) для реакции (1) значительно больше (рис. 2). Для реакции (1) в богатой смеси величина ∆(T) в целом меньше, чем в стехиометрической, но больше вблизи границ рассматриваемых температурных интервалов (рис. 3). В отличие от бедной и стехиометрической смесей влияние CE на величину ∆ для реакции (6) в богатой смеси монотонно возрастает с понижением температуры и при T0 < 900 К для P0 = 1 атм и при T0 < 1100 К для P0 = 6 атм.
Рис. 2. То же, что и на рис. 1, для стехиометрической смеси.
Рис. 3. То же, что и на рис. 1, для богатой смеси (90% H2).
Различие в характере влияния CE на величину ∆(T) в реакциях (1) и (6) можно объяснить возрастающим влиянием реакции (6) на величину τ при понижении T0. Так, в работе [25] показано, что искусственное добавление H2O2 в водородно-воздушные смеси приводит к более резкому уменьшению τ с понижением T0.
ВЫВОДЫ
Установлено, что во всех рассмотренных интервалах начальных температур и давлений наибольшая чувствительность рассчитанных значений τ к CE характерна для реакции (1). Для реакций (2)–(5) вариации CE не приводят к изменению τ. Для реакции (6) влияние CE значительно слабее и имеет иной характер по сравнению с реакцией (1). Наибольшее влияние CE обнаруживается для реакции (1) в стехиометрической смеси водород–воздух, что может приводить к изменению расчетного значения τ в 2–3 раза в интервалах наибольшего расхождения расчетов по разным ДКМ. С ростом давления влияние CE для реакции (1) уменьшается. Влияние значений CE для реакции (6) на расчеты τ слабо меняется в зависимости от содержания водорода в исходной смеси и начального давления и уменьшается с ростом начальной температуры.
Научно-исследовательская работа выполнена за счет субсидии, выделенной ФИЦ ХФ РАН на выполнение госзадания (тема № 122040500073-4).
About the authors
A. M. Tereza
Semenov Federal Research Center for Chemical Physics, Russian Academy of Sciences
Author for correspondence.
Email: tereza@chph.ras.ru
Russian Federation, Moscow
G. L. Agafonov
Semenov Federal Research Center for Chemical Physics, Russian Academy of Sciences
Email: tereza@chph.ras.ru
Russian Federation, Moscow
E. K. Anderzhanov
Semenov Federal Research Center for Chemical Physics, Russian Academy of Sciences
Email: tereza@chph.ras.ru
Russian Federation, Moscow
A. S. Betev
Semenov Federal Research Center for Chemical Physics, Russian Academy of Sciences
Email: tereza@chph.ras.ru
Russian Federation, Moscow
S. P. Medvedev
Semenov Federal Research Center for Chemical Physics, Russian Academy of Sciences
Email: tereza@chph.ras.ru
Russian Federation, Moscow
V. N. Mikhalkin
Semenov Federal Research Center for Chemical Physics, Russian Academy of Sciences; Academy of State Fire Service of EMERCOM of Russia
Email: tereza@chph.ras.ru
Russian Federation, Moscow; Moscow
S. V. Khomik
Semenov Federal Research Center for Chemical Physics, Russian Academy of Sciences
Email: tereza@chph.ras.ru
Russian Federation, Moscow
T. T. Cherepanova
Semenov Federal Research Center for Chemical Physics, Russian Academy of Sciences
Email: tereza@chph.ras.ru
Russian Federation, Moscow
References
- S. Yakovenko, I. S. Medvedkov, and A. D. Kiverin, Russ. J. Phys. Chem. B 16, 294 (2022). https://doi.org/10.1134/S1990793122020142
- Yakovenko, and A. Kiverin, Fire 6, 239 (2023). https://doi.org/10.3390/fire6060239
- A. D. Kiverin, I. S. Medvedkov, and I. S. Yakovenko, Russ. J. Phys. Chem. B 16, 1075 (2022). https://doi.org/10.1134/S1990793122060057
- V. F. Nikitin, E. V. Mikhalchenko, L. I. Stamov, V. V. Tyurenkova, and N. N. Smirnov, Acta Astronautica 213, 156 (2023). https://doi.org/10.1016/j.actaastro.2023.08.036
- N. N. Smirnov, V. V. Azatyan, V. F. Nikitin et al., Intern. J. Hydrogen Energy B 49, 1315 (2024). https://doi.org/10.1016/j.ijhydene.2023.11.085
- N. N. Smirnov, V. F. Nikitin, E. V. Mikhalchenko, L. I. Stamov, V. V. Tyurenkova, Intern. J. Hydrogen Energy B 49, 495 (2024). https://doi.org/10.1016/j.ijhydene.2023.08.184
- P. Saxena, and F. A. Williams, Combust. Flame 145, 316 (2006). https://doi.org/10.1016/j.combustflame.2005.10.004
- A. A. Konnov, Combust. Flame 152 (4), 507 (2008). https://doi.org/10.1016/j.combustflame.2007.10.024
- Z. Hong, D. F. Davidson, and R. K. Hanson, Combust. Flame 158 (4), 633 (2011). https://doi.org/10.1016/j.combustflame.2010.10.002
- A. Keromnes, W.K. Metcalfe, K.A. Heufer et al., Combust. Flame 160, 995 (2013). https://doi.org/10.1016/j.combustflame.2013.01.001
- A. Schönborn, P. Sayad, A.A. Konnov, and J. Klingmann J., Intern. J. Hydrogen Energy 39 (23), 12166 (2014). https://doi.org/10.1016/j.ijhydene.2014.05.157
- H. Hashemi, J. M. Christensen, S. Gersen, and P. Glarborg, Proc. Combust. Inst. 35, 553 (2015). http://dx.doi.org/10.1016/j.proci.2014.05.101
- G. P. Smith, Y. Tao, and H. Wang, Foundational Fuel Chemistry Model Version 1.0 (FFCM-1) (2016). https://web.stanford.edu/group/haiwanglab/FFCM1/pages/download.html
- P. A. Vlasov, V. N. Smirnov, and A. M. Tereza, Russ. J. Phys. Chem. B 10 (3), 456 (2016). https://doi.org/10.1134/S1990793116030283
- S. Jin, B. Shu, X. He, R. Fernandes, and L. Li, Fuel 303, 121291 (2021). https://doi.org/10.1016/j.fuel.2021.121291
- Y. Zhang, J. Fu, M. Xie, and J. Liu, Intern. J. Hydrogen Energy, 46 (7) 5799 (2021). https://doi.org/10.1016/j.ijhydene.2020.11.083
- A. M. Tereza, G. L. Agafonov, E. K. Anderzhanov, et al., Russ. J. Phys. Chem. B 16, 686 (2022). https://doi.org/10.1134/S1990793122040297
- C. Olm, I. G. Zsély, R. Pálvölgyi, et al., Combust. Flame 161 (9), 2219 (2014). http://dx.doi.org/10.1016/j.combustflame.2014.03.006
- A.A. Konnov, Combust. Flame 203, 14 (2019). https://doi.org/10.1016/j.combustflame.2019.01.032
- T. Weydahl, M. Poyyapakkam, M. Seljeskog, and N.E.L. Haugen, Intern. J. Hydrogen Energy 36 (18), 12025 (2011). https://doi.org/10.1016/j.ijhydene.2011.06.063
- O. V. Skrebkov, S. S. Kostenko, and A. L. Smirnov, Intern. J. Hydrogen Energy 45, 3251 (2020). https://doi.org/10.1016/j.ijhydene.2019.11.168
- N.M. Kuznetsov, The Kinetics of Monomolecular Reactions (Nauka, Moscow 1982) [in Russian]
- D. L. Baulch, C. T. Bowman, C. J. Cobos, et al., J. Phys. Chem. Ref. Data 34 (3), 757 (2005). https://doi.org/10.1063/1.1748524
- A. L. Sánchez, and F. A. Williams, Progr. Energy Combust. Sci. 41, 1 (2014). http://dx.doi.org/10.1016/j.pecs.2013.10.002
- A. M. Tereza, G. L. Agafonov, E. K. Anderzhanov, et al., Russ. J. Phys. Chem. B 17 (2), 425 (2023). https://doi.org/10.1134/S1990793123020173
- E. Ranzi, A. Frassoldati, R. Grana, et al., Progr. Energy Combust. Sci. 38 (4), 468 (2012). https://doi.org/10.1016/j.pecs.2012.03.004
- P. A. Vlasov, N. M. Kusnetsov, Y. P. Petrov and S. V. Turetskii, Proc. 24th ICDERS, Paper 153 (2013). http://www.icders.org/ICDERS2013/abstracts/ICDERS2013-0153.pdf
- CHEMKIN-Pro, Reaction Design, San Diego, 15112. CK-TUT-10112-1112-UG-1, 2011.
- J. Grune, K. Sempert, H. Haberstroh, M. Kuznetsov, and T. Jordan, J. Loss Prevent. Proc. Industries 26, 317 (2013). http://dx.doi.org/10.1016/j.jlp.2013.09.008
Supplementary files





