Effects of Surfactants on the Aggregation of 6,6'-Disubstituted Thiacarbocyanine Dyes in Aqueous Solutions
- Authors: Pronkin P.G.1, Shvedova L.A.1, Tatikolov A.S.1
-
Affiliations:
- Emanuel Institute of Biochemical Physics, Russian Academy of Sciences
- Issue: Vol 43, No 3 (2024)
- Pages: 3-13
- Section: СТРОЕНИЕ ХИМИЧЕСКИХ СОЕДИНЕНИЙ, КВАНТОВАЯ ХИМИЯ, СПЕКТРОСКОПИЯ
- URL: https://ogarev-online.ru/0207-401X/article/view/263289
- DOI: https://doi.org/10.31857/S0207401X24030016
- EDN: https://elibrary.ru/VGWISY
- ID: 263289
Cite item
Full Text
Abstract
The aggregation properties of a number of 6,6'-substituted thiacarbocyanine dyes were studied by spectral-fluorescent methods: T-304, T-306, T-307, T-336 and, for comparison, thiacarbocyanine Cyan 2, which has no substituents in the 6,6'-positions, in aqueous buffer solutions and in the presence of various types of surfactants. The method of moments was used to characterize the absorption spectra (band positions, width, shape). Substituents in the 6,6'-positions significantly increase the ability of dyes T-304, T-306, T-307, T-336 to aggregation (dimerization, as well as to the formation of disordered aggregates with broad low-intensity absorption spectra). The introduction of surfactants leads to rearrangement of the spectra associated with the complex nature of the equilibria between monomers and aggregates of various structures (including surfactant molecules, if present), in particular, with a decrease in the contribution of disordered aggregates. However, the decomposition of dimeric aggregates of 6,6'-substituted cyanines is observed only at very high surfactant concentrations (~20 CMC and higher, where CMC is the critical micelle concentration). At the same time, the passing of surfactant concentrations through CMC does not significantly affect the spectral-fluorescent properties of the dyes, which is probably due to rather strong interactions of the dyes with individual surfactant molecules and premicellar associates of surfactants.
Full Text
ВВЕДЕНИЕ
Благодаря набору уникальных физико-химических свойств цианиновые красители нашли свое применение в различных областях науки и технологии. В частности, цианиновые красители широко используются в качестве зондов для обнаружения и визуализации биомакромолекул [1, 2]. Исследования спектрально-флуоресцентных свойств цианиновых красителей в присутствии биомолекул продолжаются и в настоящее время [3–8].
При разработке спектрально-флуоресцентных зондов, помимо показателей чувствительности и селективности, важен также комплекс других характеристик, одной из которых является агрегация в водных растворах. Вследствие того, что красители-зонды, реагируя на биомолекулы, функционируют обычно в виде мономеров, агрегация как побочный процесс, уменьшающий концентрацию мономеров, может сильно затруднять их практическое использование [2]. Это обуславливает важность изучения агрегации цианинов в водных растворах и поиска возможностей ее ослабления.
В настоящей работе спектрально-флуоресцентными методами выполнено подробное исследование агрегационных свойств в водных буферных растворах ряда триметинцианинов, синтезированных и предложенных ранее в качестве потенциальных флуоресцентных зондов для ДНК [9]. Это 6,6'-дизамещенные красители 3,3'-диэтил-6,6'-ди(бензоиламино)тиакарбоцианин-иодид (Т-304), 3,3'-диэтил-6,6'-ди(бензоиламино)-9-метилтиакарбоцианин-иодид (Т-306), 3,3'-диэтил-6,6'-ди(бензоиламино)-9-метокситиакарбоцианин-иодид (Т-307), 3,3'-диэтил-6,6'-ди(метиламино)-9-метокситиакарбоцианин-иодид (Т-336), а также, для сравнения, 3,3',9-триметилтиакарбоцианин-иодид (Cyan 2), не имеющий заместителей в 6,6'-положениях (рис. 1).
Рис. 1. Структуры исследованных цианиновых красителей.
Поскольку известно, что введение поверхностно-активных веществ (ПАВ) обычно подавляет агрегацию красителей [10, 11], в работе изучено влияние ПАВ различных типов (использовались анионный SDS, катионный CTAB, неионогенные Triton X-100, Brij 35, Tween-20) на агрегацию вышеуказанных красителей в водных растворах. Для сравнения были также изучены спектрально-флуоресцентные свойства красителей в органических растворителях – этаноле и диметилсульфоксиде (ДМСО).
ЭКСПЕРИМЕНТАЛЬНАЯ ЧАСТЬ
Красители Т304–Т336 и Cyan 2 предоставлены проф. С.М. Ярмолюком (Институт молекулярной биологии и генетики НАН Украины). В качестве ПАВ использовали SDS с критической концентрацией мицеллообразования ПАВ (ККМ) ~ 8.2 ‧ 10–3 моль ‧ л–1 [12], CTAB (ККМ ~ 9.1 ‧ 10–4 моль ‧ л–1; [13]), Triton X-100 (ККМ ~ 2.4 ‧ 10–4 моль ‧ л–1; [12]), Brij 35 (ККМ ~ 1 ‧ 10–4 моль ‧ л–1; [12]), Tween-20 (ККМ ~ 0.9 ‧ 10–4 моль ‧ л–1; [12]) – все производства компании Sigma-Aldrich (USA). Растворы готовили в буфере HEPES (0.1 моль ‧ л–1, pH 7.1). В качестве растворителей использовали также этанол и ДМСО марки “ч.д.а”.
Спектры поглощения регистрировали на спектрофотометре СФ-2000; спектры флуоресценции и возбуждения флуоресценции измеряли на спектрофлуориметре “Флюорат-02-Панорама” (Россия). Спектры измеряли с использованием стандартных полистироловых кювет (Sarstedt, Germany) и кварцевых полумикрокювет (Bio-Rad, USA). Для получения рабочих растворов в измерительную кювету вводили микролитровые объемы маточных растворов красителей (растворитель – ДМСО; разведение – 1 : 100 ÷ 1 : 200). После перемешивания спектры красителей регистрировали несколько раз до тех пор, пока они не переставали изменяться во времени. Измерения проводились при комнатной температуре ((22 ± 3)°С). При регистрации спектры флуоресценции и возбуждения флуоресценции корректировались на спектральную характеристику канала возбуждения и на поглощение раствора.
При анализе спектров поглощения красителей для более точного описания изменений в спектрах использовался метод спектральных моментов [14]:
(1)
(2)
где Sl и Ml – начальный и центральный спектральные моменты, l = 0, 1, 2 – порядок момента; – распределение интенсивности поглощения в спектрах; ε(ν) – поглощение образца, ν – волновое число (с–1); ν1= S1/S0 – первый момент нормированного распределения фотонов. Показатель M–1 = 107/ν1 – среднее положение полосы в шкале длин волн (2) в нм.
Ширину спектральных кривых (σ, см–1) красителей определяли по величине второго момента:
(3)
Асимметрия спектральных кривых и их форма характеризуются безразмерными коэффициентами γ1,2:
(4)
(5)
РЕЗУЛЬТАТЫ И ИХ ОБСУЖДЕНИЕ
Спектрально-флуоресцентные свойства красителей в растворах
Спектры поглощения красителей Cyan 2, Т-304–Т-336 в полярных органических растворителях (этанол, ДМСО) представляют собой одиночные узкие полосы и имеют типичное для большинства цианиновых красителей коротковолновое плечо, соответствующее вибронному переходу [15]. По сравнению с Cyan 2 максимумы полос поглощения (λabs) 6,6'-дизамещенных красителей Т-304–Т-336 имеют значительные батохромные сдвиги (в этаноле – 30–44 нм). Анализ спектров поглощения красителей в этаноле по методу моментов также выявил батохромные смещения центров тяжести спектров поглощения 6,6'-дизамещенных красителей (ÄМ –1 = 20–31 нм) и ощутимо большую ширину спектральных полос (σabs, см–1). В частности, для T-306 и T-307 σabs ~ ~ 1010 и 1002 см–1, соответственно, тогда как для Cyan 2 σabs ~ 888 см–1. Для раствора Т-304 в этаноле сдвиг М –1 составляет 17 нм, относительное увеличение σabs (Äóabs) – 48%; для Т-306 и Т-307 ÄМ –1 ~ 26–28 нм и Äóabs ~ 40–45%. Все эти эффекты объясняются влиянием заместителей в 6- и 6'-положениях красителей [9].
За счет влияния мезозаместителей, для Т-306, Т-307, T-336 характерна более слабая флуоресценция в органических растворителях (примерно в 13–20 раз), чем для их незамещенного аналога Т-304 [9]. Известно, что мезозаместители определяют возможность полярно-зависимого (динамического) равновесия между цис- и транс-изомерными формами триметинцианинов [16, 17]. В полярных средах это равновесие смещается в сторону коротковолновых нефлуоресцирующих цис-изомеров красителей. В растворах этанола и ДМСО максимумы спектров возбуждения флуоресценции красителей (соответствуют по положению флуоресцирующим транс-изомерам) Т-306, Т-307, T-336 батохромно смещены относительно спектров поглощения (Äλ = λex – λabs ~ ~ 8–10 нм), что объясняется одновременным присутствием цис- и транс-изомеров красителей с различными флуоресцентными свойствами. Конфигурация мезонезамещенного T-304 как в полярных, так и в неполярных растворителях соответствует транс-изомеру как энергетически более выгодной форме (при этом Äλ = 0 нм [18]).
Способность образовывать агрегаты различного типа в водных растворах – одна из особенностей цианиновых красителей [10, 19]. Димеризация Cyan 2 заметна при концентрациях красителя порядка cCyan 2 = (5.0–9.0) ‧ 10–6 моль ‧ л–1; при cCyan 2 < 1.0 ‧ 10–6 моль ‧ л–1 ее эффекты минимальны. В спектрах поглощения полосе димеров соответствует λabs ~ 490 нм (вблизи вибронного плеча основной полосы) [20]. Центр тяжести спектра поглощения смещается гипсохромно: ÄМ –1 ~ –17 нм (по сравнению со спектрами в этаноле), полосы уширены на ~50% (σabs = 1303 см–1 в буфере HEPES), вершины спектров сглажены (γ2 = 1.34 и 3.36 в HEPES и в этаноле соответственно). При дальнейшем увеличении концентрации (а также с течением времени) краситель может образовывать Н-агрегаты более высоких порядков, имеющие еще более коротковолновое поглощение [21].
В отличие от Cyan 2, образующего в основном только димеры, спектры поглощения 6,6'-дизамещенных красителей в водных растворах, приведенные на рис. 2а, представляют собой широкие полосы, не похожие на спектры в органических растворителях, что свидетельствует о значительно более выраженной агрегации, которая проявляется даже при очень малых концентрациях красителей: ~10–7 моль ‧ л–1. На рис. 2а приведены также спектры поглощения красителя T-336 при различных концентрациях: при разбавлении раствора красителя T-336 до с ~ 4.18 ‧ 10–7 моль ‧ л–1 в спектре все еще наблюдаются эффекты агрегации (образование димеров), что приводит к уширению и изменению формы спектральной кривой. Это отражается в росте s и немонотонном изменении М –1 при разбавлении раствора (рис. 2б). В целом, в спектрах 6,6'-дизамещенных красителей максимумы полос поглощения сдвинуты гипсохромно по сравнению со спектрами в этаноле. В частности, полоса спектра поглощения Т-304 имеет λabs = 518 нм, для T-306 и Т-307 λabs = 513–514 нм, а в спектрах поглощения T-336 наблюдается коротковолновое поглощение димерных агрегатов c λabs = 536 нм (основной максимум имеет λabs = 571 нм). По сравнению с Cyan 2 усиливаются гипсохромные сдвиги М –1: ÄМ –1 ~ 23–30 нм, ширина полос поглощения составляет 145–168% от ширины спектров в этаноле (см. выше), вершины спектров сильнее сглажены (γ2 ~ ~ 0.14–0.38). В водных растворах красители характеризуются слабой флуоресценцией (для T-304 наблюдается снижение флуоресценции в ~200 раз по сравнению с этанолом) из-за влияния агрегации.
Рис. 2. а – Спектры поглощения красителей T-304 (кривая 1; cT-304 = 1 ‧ 10–6 моль ‧ л–1) и T-336, полученные при различных концентрациях красителя: cT-336 = = 1.92 ‧ 10–6 (кривая 2), 1.2 ‧ 10–6 (3), 9.72 ‧ 10–7 (4), 6.47 ‧ 10–7 (5) и 4.18 ‧ 10–7 моль ‧ л–1 (6) в буферном растворе HEPES; б – зависимости М–1 (1) и óabs от концентрации T-336 в буферном растворе; в – спектры флуоресценции (1 – Т-304, λex = 490 нм и 4 – Т-336, λex = 550 нм) и возбуждения флуоресценции (2 – Т-304, λreg = 550 нм; 3 – Т-304, λreg = 700 нм; 5 – Т-336, λreg = 640 нм).
В водном буферном растворе в спектрах флуоресценции Т-304 наблюдаются две полосы испускания с максимумами λfl = 535 и 685 нм (при возбуждении λex = 490 нм). Спектры возбуждения флуоресценции (рис. 2в) имеют максимумы при λex= 512 и 526 нм (при регистрации λreg = 550 и 700 нм соответственно). Такой вид спектров можно объяснить образованием красителем флуоресцирующих агрегатов различного строения (например, Н-димеров и агрегатов более высокого порядка) [13]. В спектрах флуоресценции красителей T-306, T-307 и T-336 наблюдается по одной полосе испускания агрегатов красителей с λfl = 678, 676 и 616 нм (максимумы в спектрах возбуждения флуоресценции λex = 519, 485, 577 нм соответственно). Отметим, что для всех исследованных красителей не наблюдались полосы, соответствующие длинноволновым J-агрегатам.
Агрегация красителей в водных растворах определяется рядом факторов, главнейшим из которых является баланс липофильных/гидрофильных свойств молекул красителей. Оценка этих свойств проводилась на базе расчетных коэффициентов распределения в системе октанол–вода (logP) [22]. Величины logP являются положительными и увеличиваются в ряду Cyan 2 < T-336 < T-307 < T-304 < < T-306 (logP = 2.31, 2.73, 3.25, 4.25, 4.8 соответственно). Наличие 6,6'-ди(бензоиламино)-заместителей увеличивает logP почти в 2 раза, что показывает высокую гидрофобность молекул красителей и определяет их склонность к агрегации в водных растворах. В то же время площадь полярной поверхности (TPSA, Å2) молекул красителей Т-304, Т-306, Т-307 составляет ~67.02–76.25 Å2 (для T-336 TPSA = 32.87 Å2), что значительно больше, чем у Cyan 2 (TPSA = 8.82 Å2) за счет полярных амидных групп в заместителях.
Влияние поверхностно-активных веществ на агрегацию и спектрально-флуоресцентные свойства красителей
Известно, что нековалентные взаимодействия с мицеллами и отдельными молекулами ПАВ способны оказывать существенное влияние на процессы агрегации/дезагрегации цианиновых красителей [10, 11]. Влияние ПАВ различных типов (катионного CTAB, анионного SDS, неионогенных Triton Х-100, Brij 35, Tween-20) на агрегацию и изомерное равновесие красителей Cyan 2, Т-304, Т-306, Т-307, T-336 было исследовано спектрально-флуоресцентными методами.
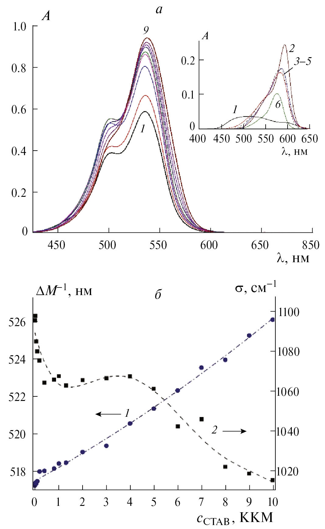
В случае катионных ПАВ (в данном случае – CTAB) кулоновское отталкивание, очевидно, должно препятствовать образованию премицеллярных агрегатов краситель–ПАВ (при cCTAB < < ККМ). Однако уже в присутствии низких концентраций CTAB (cCTAB ~ (0.18 ÷ 7.35) ‧ 10–4 моль ‧ л–1, (0.02 ÷ 0.81) ККМ) в спектрах поглощения красителя Cyan 2 наблюдается рост поглощения на ~43–45%, при этом вклад полосы агрегатов (димеров) не изменялся и практически не наблюдалось сдвигов основного максимума (рис. 3а). Параметры спектров поглощения, полученные методом моментов, были более чувствительными к добавлению CTAB. Так, в области низких концентраций CTAB (cCTAB ~ (0.18 ÷ 7.35) ‧ 10–4 моль ‧ л–1, (0.02 ÷ 0.81) ККМ) положение M–1 претерпевало батохромный сдвиг (ÄM–1 = 1 нм), óabs уменьшалась на 3%, коэффициент симметрии ã1 при этом практически не изменялся. Изменения в спектрах поглощения при низких концентрациях ПАВ (< ККМ), вероятно, обусловлены гидрофобными взаимодействиями красителя с отдельными молекулами и премицеллярными ассоциатами CTAB. Рост полосы поглощения может быть вызван распадом неупорядоченных агрегатов со слабым поглощением, присутствующих в системе. Увеличение концентрации CTAB до ККМ и выше приводит к продолжению роста поглощения (дополнительно еще на 9%) и батохромному сдвигу максимума полосы Cyan 2 (Äëabs = 2–3 нм). Только при достаточно высоком содержании CTAB (cCTAB = = 3.64 ‧ 10–3 моль ‧ л–1, 4 ККМ) вклад коротковолнового плеча H-димеров начинает уменьшаться, очевидно, вследствие распада димеров на мономеры (рис. 3а). В этих условиях продолжает увеличиваться батохромный сдвиг положения M–1 (наблюдается линейная зависимость ÄM–1 от концентрации ПАВ). При cCTAB ~ 9.1 ‧ 10–3 моль ‧ л–1, (10 ККМ) ΔM–1 ~ 9 нм. В области cCTAB = 4 ККМ и выше продолжается уменьшение σabs : σabs = 1067 см–1 при 4 ККМ и 1015 см–1 при 10 ККМ (рис. 3б).
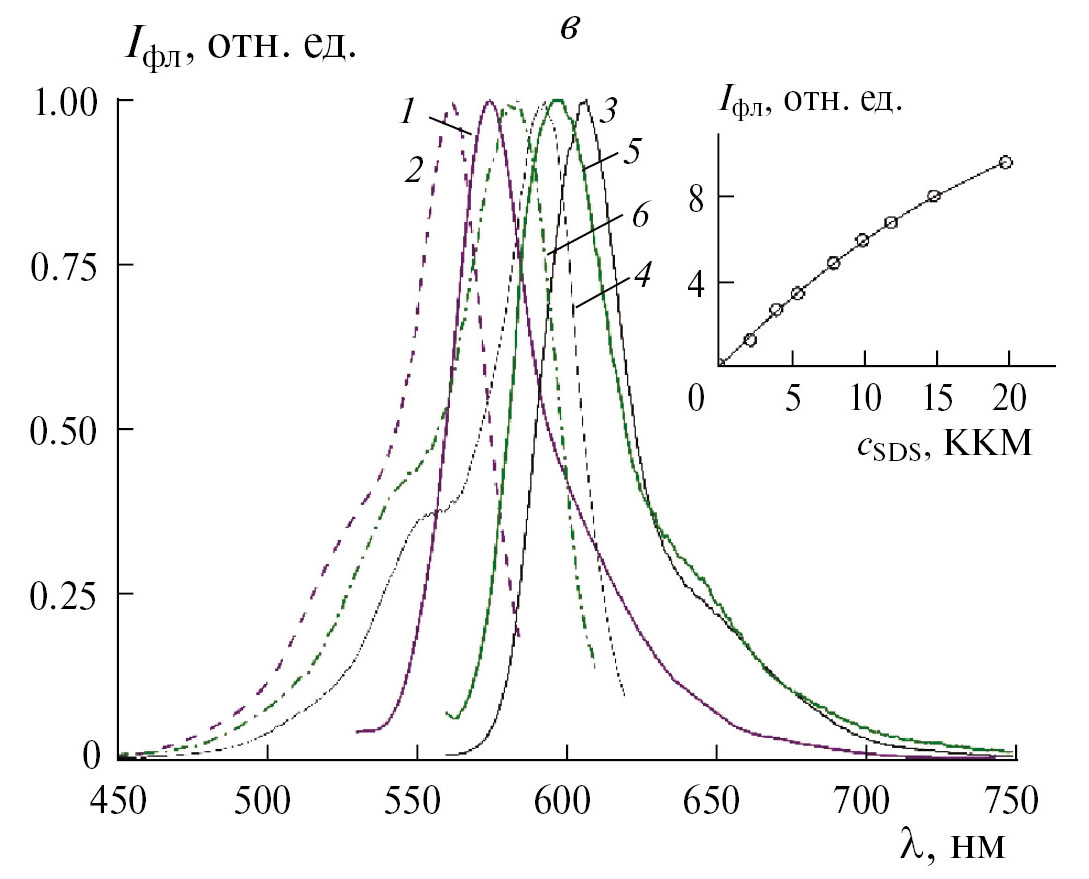
Рис. 3. а – Спектры поглощения красителя Cyan 2 (cCyan 2 = 1 ‧ 10–5 моль ‧л–1) при различных концентрациях CTAB: cCTAB = 0 (кривая 1), 0.10 ККМ (2), 0.20 ККМ (3), 1.01 ККМ (4), 2.01 ККМ (5), 4.0 ККМ (6), 6.0 ККМ (7), 8.01 ККМ (8) и 10.0 ККМ (9) в буферном растворе HEPES; на врезке – спектры поглощения Т-307 (cТ-307 ~ 1.5 ‧ 10–6 моль ‧ л–1) в отсутствие ПАВ (кривая 1), в присутствии ≥ 20 ККМ CTAB (2), Triton Х-100 (3), Brij 35 (4), Tween-20 (5) и SDS (6); б – зависимости ÄМ–1 (1) и óabs, полученные из спектров поглощения Cyan 2, от концентрации CTAB; в – спектры флуоресценции (1, 3, 5) и возбуждения флуоресценции (2, 4, 6) Cyan 2 при ≥ 20 ККМ CTAB (1, λex = 520 нм; 2, λreg = 600 нм) и Т-307 при ≥20 ККМ CTAB (3, λex = 550 нм; 4, λreg = 630 нм) и при ≥20 ККМ SDS (5, λex = 550 нм; 6, λreg = 620 нм). На врезке – зависимость интенсивности флуоресценции красителя Т-307 (cT-307 ~ 1.5 ‧ 10–6 моль ‧ л–1) от концентрации SDS ((2.2÷20) ККМ; λex = 550 нм, λreg = 596 нм).
Рис. 3. Окончание.
В случае красителей Т-304, Т-306, Т-307, T-336 при содержании CTAB > 2–3 ККМ спектры поглощения состоят в основном из полос мономеров. В спектрах флуоресценции 6,6'-дизамещенных красителей наблюдаются полосы, соответствующие испусканию мономеров (см. табл. 1). Тем не менее при содержании CTAB > (2 ÷ 3) ККМ в спектрах все еще присутствует вклад агрегатов красителей. Увеличение концентрации CTAB до 20 ККМ приводит к значительному дополнительному росту (46–75%) и сужению (σabs ~ 890–910 см–1) полос поглощения красителей (для Т-307 см. врезку на рис. 3а) и сопровождается увеличением квантовых выходов флуоресценции (в 1.7–2.3 раза).
Таблица 1. Максимумы спектров поглощения (λabs), флуоресценции (λfl) и возбуждения флуоресценции (λex) красителей Cyan 2, Т-304, Т-306, Т-307, T-336 при высоких концентрациях ПАВ: SDS (cSDS = 0.164 моль ⋅ л–1), CTAB (cCTAB = 2.0 ⋅ 10–2 моль ⋅ л–1) Triton Х-100 (cTriton X-100 = 4.8 ⋅ 10–3 моль ⋅ л–1), Brij 35 (cBrij 35 = 1.8 ⋅ 10–3 моль ⋅ л–1), Tween-20 (cTween-20 = 8.4 ⋅ 10–4 моль ⋅ л–1)
λabs, нм | λfl, нм | λex, нм | |||||||||||||
а | б | в | г | д | а | б | в | г | д | а | б | в | г | д | |
SDS/8.0 | 588 | 585 | 573 | 574 | 585 (506) | 573 | 602 | 595 | 597 | 637 | 558 | 596 | 583 | 582 | 603 |
CTAB/0.91 | 541 | 596 | 591 | 592 | 600 (506) | 575 | 612 | 607 | 606 | 642 | 562 | 596 | 593 | 592 | 618 |
Triton X-100/0.24 | 543 | 590 | 581 | 582 | 606 (506) | 573 | 609 | 602 | 602 | 643 | 559 | 592 | 587 | 586 | 611 |
Brij 35/0.10 | 543 | 592 | 584 | 585 | 607 (509) | 569 | 611 | 604 | 604 | 643 | 552 | 594 | 589 | 588 | 615 |
Tween-20/0.09 | 541 | 592 | 585 | 586 | 612 | 572 | 609 | 605 | 605 | 640 | 557 | 593 | 590 | 588 | 610 |
Примечание: а – Cyan 2, б – T-304, в – T-306, г – T-307, д – T-336; для красителя T-336 в скобках указано положение плеча димеров в спектрах поглощения.
Взаимодействие катионных цианиновых красителей с противоположно заряженными молекулами SDS приводит к связыванию агрегатов красителей с молекулами и/или премицеллярными ассоциатами ПАВ при концентрациях ПАВ ниже ККМ. В этом случае кулоновские и гидрофобные взаимодействия между молекулами SDS и красителя приводят к переходу молекул красителя в микрофазу ПАВ с образованием премицеллярных ассоциатов краситель–ПАВ. Увеличение концентрации ПАВ (cSDS ~ 1.8 ‧ 10–2 моль ‧ л–1, ~2.2 ККМ) не приводит к серьезному сдвигу мономерно-агрегатного равновесия изучаемых катионных 6,6'-дизамещенных цианиновых красителей. Спектры поглощения Т-304, Т-306, Т-307 в присутствии SDS (2.2 ККМ) уширены (σabs = = 1511, 1426 и 1470 см–1 соответственно) и слабо структурированы. Центры спектральных полос М –1 батохромно смещены относительно максимумов (ÄМ –1 = 15–31 нм); спектры поглощения представляют собой суперпозицию полос поглощения Н-димеров и агрегатов более высокого порядка. Увеличение содержания SDS (до сSDS ~ ~ (3.3÷4.5) ‧ 10–2 моль ‧ л–1; (4.1÷5.6) ККМ) приводит к постепенному появлению длинноволновой полосы, соответствующей поглощению мономеров (для T-307 с λabs = 571–573 нм). Для существенного разрушения образовавшихся премицеллярных агрегатов краситель–ПАВ требуются еще более высокие концентрации ПАВ. При сSDS ~ ~ 0.164 моль ‧ л–1 (20 ККМ) спектры поглощения красителей T-304, T-306, T-307 становятся узкими (σabs = 1057, 1135 и 1082 см–1 соответственно), центры спектральных полос М–1 испытывают гипсохромный сдвиг относительно максимумов спектров (ÄM–1 = 18–22 нм). Это есть следствие распада агрегатов красителей и их перехода в виде мономеров в мицеллярную фазу ПАВ. В случае T-336 интенсивное коротковолновое поглощение Н-агрегатов красителя наблюдается даже при сSDS ~ 0.164 моль ‧ л–1 (20 ККМ); при этом спектральные кривые остаются широкими (σabs ~ 1173 см–1). В спектрах поглощения красителя Cyan 2 при содержании SDS 20 ККМ наблюдается рост интенсивности полосы поглощения в 2.9 раза, вклад коротковолнового поглощения агрегатов уменьшается, спектры сдвигаются батохромно (Äλabs = = 14 нм, ÄМ –1 ~ 17 нм). По сравнению с исходными спектрами в буфере ширина полос óabs уменьшается (на 17% содержании SDS при 20 ККМ), вершины спектров “сглажены”.
В присутствии SDS (2.2 ККМ) в спектрах флуоресценции 6,6'-дизамещенных красителей наряду с М-полосой мономера (λfl = 598, 594, 596 и 637 нм для Т-304, Т-306, Т-307 и Т-336 соответственно) наблюдаются вклады полос флуоресценции агрегатов (в частности, в спектрах T-304 и Т-306 имеются дополнительные длинноволновые компоненты с λfl = 675–678 и 630–640 нм соответственно). Спектры возбуждения красителей значительно уширены, в случае Т-306 получены двухкомпонентные спектры возбуждения флуоресценции с максимумами при 525 и 582 нм (λreg = = 700 нм). Аналогичные эффекты наблюдаются для цианинового красителя Cyan 2, (см. табл. 1). При сSDS ~ 0.164 моль ‧ л–1 (20 ККМ) в спектрах флуоресценции красителей исчезают полосы эмиссии агрегатов, а интенсивность флуоресценции мономеров красителей увеличивается (рис. 3в).
В присутствии неионогенных ПАВ в спектрах поглощения исследуемых красителей также наблюдаются изменения, связанные с образованием неструктурированных агрегатов. В области cПАВ < < ККМ взаимодействие с молекулами и/или премицеллярными ассоциатами неионогенных ПАВ влияет на мономерно-агрегатное равновесие. Спектральные данные указывают на то, что присутствие неионогенных ПАВ, по-видимому, приводит к перестройке H-агрегатов и способно усиливать образование неструктурированных агрегатов красителей.
В частности, при низких концентрациях Tween 20 (cTween-20 ~ (0.45 ÷ 6.9) ‧ 10–5 моль ‧ л–1, (0.05 ÷ ÷ 0.77) ККМ) в спектрах поглощения Cyan 2 наблюдается уменьшение поглощения на ~29%, сопровождающееся уменьшением вклада коротковолнового плеча H-димеров; при этом не наблюдалось сдвигов максимума и среднего положения полосы поглощения мономера (Äëabs =0, ÄM–1 < 0.5–0.7 нм). Ширина спектральной кривой σabs в этих условиях возрастает на 6% от исходной, коэффициент ã2 несколько повышается, коэффициент симметрии ã1 при этом практически не изменялся (ã1~ 0.6–0.8). В спектрах поглощения Т-304 при cTween-20 ~ (0.89 ÷ 7.7) ‧ 10–5 моль ‧ л–1 ((0.10 ÷ 0.85) ККМ) наблюдается небольшое падение интенсивности поглощения (18% от исходной), не сопровождающееся уменьшением вклада агрегатов и появлением поглощения мономера красителя. Падение интенсивности спектра поглощения может быть вызвано образованием неструктурированных агрегатов цианинов, которые имеют низкий коэффициент молярной экстинкции по сравнению с мономерной и димерной формами красителей. В случае T-336 при cTween-20 = = 7.2 ‧ 10–5 моль ‧ л–1 (0.8 ККМ) наблюдается падение поглощения с λabs ~ 560 нм (разрушение/перестройка агрегатов), сопровождающееся увеличением поглощения в длинноволновой области (λabs = 606 нм, что соответсвует поглощению мономера красителя). При взаимодействии T-304 с Brij 35 cBrij 35 = 7.6 ‧ 10–5 моль ‧ л–1 (0.76 ККМ) в спектрах наблюдается батохромный сдвиг центра полосы поглощения: ÄM–1 > 10 нм; при этом ширина спектральной кривой несколько уменьшается (Äóabs составляет ~7% от исходного спектра).
Дальнейшее увеличение содержания ПАВ до 2–10 ККМ) приводит к нарастанию и углублению наблюдаемых эффектов. При умеренных и высоких концентрациях Tween-20 продолжается падение интенсивности полосы поглощения Cyan 2 (падение в 2 раза при 10 ККМ), при этом вклад плеча H-димеров уменьшается. Максимумы и среднее положение полосы поглощения Cyan 2 сдвигаются батохромно, ширина полос óabs растет: Äëabs =5 нм, ÄM–1 ~ 3 нм, Äσabs = 20% при содержании Tween-20 10 ККМ). Коэффициент ã2 уменьшается (ã2 = 0.5 при 10 ККМ), коэффициент симметрии ã1 при этом практически постоянен. При cTriton X-100 ~ (3.8 ÷ ÷ 7.3) ‧ 10–4 моль ‧ л–1 ((1.6 ÷ 3) ККМ) также наблюдается падение интенсивности спектра Cyan 2 (достигающее 30% от исходного значения при содержании Cyan 2 3 ККМ), сопровождающееся его некоторым уширением.
Рост концентрации Tween-20 приводит к уменьшению интенсивности поглощения T-304 (на ~30% при содержании Tween-20 1 ККМ), нарастают батохромия максимума (Äëabs > 30 нм) и уширение спектров (Äóabs ~ 10%). Положение центров спектральных кривых красителя меняется слабее: ÄM –1 ~ 1–1.5 нм. Это связанно с перестройкой/накоплением агрегатов красителей при связывании красителя с мицеллами ПАВ.
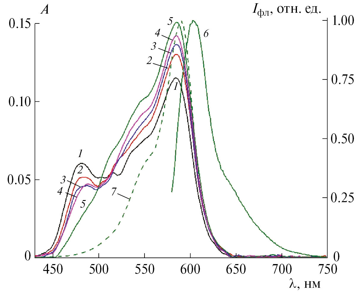
Хорошо разрешeнные и интенсивные полосы мономеров 6,6'-дизамещенных цианиновых красителей появляются в их спектрах только при высоких концентрациях неионогенных ПАВ. Увеличение концентрации ПАВ до 20 ККМ приводит к увеличению интенсивности поглощения Cyan 2 почти в 2 раза. При содержании Tween-20 и Brij 35 20 ККМ в спектрах Т-304 наблюдаются достаточно узкие полосы (óabs = 1105 и 982 см–1 соответственно) с λabs = 592 нм. В спектрах поглощения мезо-замещенного цианина Т-306, имеющего наибольшее значение logP и, следовательно, наиболее склонного к агрегации, в присутствии высокой концентрации Tween 20 (>20 ККМ) полоса мономера появляется и увеличивается со временем (λabs = 585 нм). Рост этой полосы сопровождается уменьшением поглощения агрегатов красителя с λabs = 480–485 нм (рис. 4). Однако, поскольку σabs(ПАВ) > > σabs(EtOH), можно сделать вывод о наличии остатков агрегатов красителя даже при высоких концентрациях ПАВ (σabs(ПАВ) ~ 1105 и 1299 см–1 для Т-304 и Т-306 соответственно). На наличие агрегатов указывает также гипсохромия положений центров спектральных кривых (в присутствии Tween 20 М –1 = 564 нм для Т-304, М –1 = 553 нм для Т-306). На врезке к рис. 3а приведены спектры поглощения красителя Т-307 при высоких концентрациях ПАВ.
Рис. 4. Спектры поглощения (1–5), флуоресценции (6, λex = 570 нм) и возбуждения флуоресценции (7, λreg = 620 нм) красителя Т-306 в буферном растворе HEPES в присутствии высокой концентрации Tween-20 (≥ 20 ККМ). Спектры поглощения 1–5 регистрировали через 0 (кривая 1), 2 (2), 4 (3), 6 (4), 16 мин (5) после приготовления образцов.
Переход цианиновых красителей в мономерную форму под действием ПАВ лучше всего прослеживается в спектрах флуоресценции. В буферном растворе для Т-304 характерен двухфазный спектр флуоресценции, компоненты которого принадлежат различным агрегатам красителя. В присутствии неионогенных ПАВ появляется и растет третий компонент – мономер T-304 с λfl = = 594–608 нм. При высоких концентрациях ПАВ эта полоса возрастает (~18 раз при содержании Tween-20, равном 1.5 ККМ) и испытывает гипсохромный сдвиг. В спектрах возбуждения флуоресценции этой форме красителя соответствует полоса с максимумом в области 586–593 нм (более коротковолновые максимумы характерны для cTween 20 >> ККМ). Отметим, что полосы флуоресценции коротковолновых агрегатов (Н-димеров) Т-304 наблюдаются в спектрах даже при концентрациях неионогенных ПАВ порядка (1 ÷ 2) ККМ. В случае T-306 при cTween-20 = 7.2 ‧ 10–5 моль ‧ л–1 (0.8 ККМ) в спектрах флуоресценции наблюдается испускание мономера (λfl ~ 643 нм), максимум спектра возбуждения флуоресценции λex = 613 нм.
В спектрах флуоресценции Т-304 при высоких концентрациях ПАВ наблюдается одна полоса, соответствующая флуоресценции мономера (см. табл. 1). Спектры возбуждения флуоресценции красителя имеют максимумы при λex = 593 и 585 нм соответственно. Аналогичные эффекты наблюдаются в спектрах флуоресценции красителей T-306, T-307, T-336, например, при содержании Tween-20, равном 20 ККМ, в спектрах флуоресценции T-306 наблюдается одна полоса с λfl = = 605 нм, что соответствует флуоресценции мономерного красителя (вероятно, в виде транс-изомера) в мицеллах ПАВ (максимум спектра возбуждения флуоресценции λех = 590 нм). В случае T-306 при его содержании 20 ККМ в спектрах флуоресценции наблюдается только испускание мономера (λfl ~ 640–643 нм), максимумы спектров возбуждения флуоресценции составляют λex = 610, 611, 615 нм в случае Tween-20, Triton X-100 и Brij 35 соответственно.
Таким образом, ПАВ сложным образом влияют на спектрально-флуоресцентные характеристики изученных красителей, что обусловлено сложным характером равновесий между мономерами и агрегатами различного строения (включающими и молекулы ПАВ при их наличии). При этом влияние ПАВ проявляется даже при сравнительно малых концентрациях (< ККМ), а распад агрегатов (димеров) 6,6'-замещенных красителей на мономеры наблюдается лишь при высоких концентрациях ПАВ (~20 ККМ и выше). Важно отметить, что при концентрациях ПАВ выше ККМ спектрально-флуоресцентные свойства изученных красителей существенно не изменяются. Это, очевидно, обусловлено достаточно сильными взаимодействиями красителей с отдельными молекулами и/или премицеллярными ассоциатами ПАВ.
ЗАКЛЮЧЕНИЕ
В работе спектрально-флуоресцентными методами (с использованием метода моментов для анализа спектров поглощения) изучено влияние ПАВ различного типа на агрегационные свойства ряда 6,6'-замещенных тиакарбоцианиновых красителей: Т-304, Т-306, Т-307, T-336 и, для сравнения, тиакарбоцианина Cyan 2, не имеющего заместителей в 6,6'-положениях, в водных буферных растворах. По сравнению с Cyan 2, агрегирующего главным образом в виде димеров, красители с заместителями в 6,6'-положениях обладают существенно большей способностью к агрегации (димеризации, а также к образованию неупорядоченных агрегатов, обладающих широкими малоинтенсивными спектрами поглощения). Введение ПАВ приводит к перестройке спектров, связанной с уменьшением вклада неупорядоченных агрегатов, что отражается на положении и форме полос поглощения. В то же время распад димерных агрегатов 6,6'-замещенных красителей наблюдается только при очень высоких концентрациях ПАВ (~20 ККМ и выше). При этом рост концентраций ПАВ выше ККМ существенно не отражается на спектрально-флуоресцентных свойствах изученных красителей, что, очевидно, обусловлено достаточно сильными взаимодействиями красителей с отдельными молекулами и/или премицеллярными ассоциатами ПАВ, сравнимыми с мицеллярными взаимодействиями.
Потенциал тиакарбоцианинов в их использовании в качестве спектрально-флуоресцентных зондов, а также в тераностике активно исследуется [1–8, 23]. Исследования эффектов агрегации важны не только для разработки спектрально-флуоресцентных зондов, но потенциально способны привнести новое в методологию супрамолекулярной нанофотоники [24]. Следует отметить, что при разработке и синтезе красителей-зондов для биомолекул нужно соблюдать баланс их гидрофильных/гидрофобных свойств: рост гидрофобности молекул красителей, с одной стороны, повышает их сродство к биомолекулам, а с другой – повышает склонность к агрегации. Образующиеся агрегаты могут быть достаточно устойчивыми (как в случае 6,6'-замещенных тиакарбоцианинов), что может существенно затруднить использование красителей в качестве зондов [23].
Авторы выражают благодарность проф. С.М. Ярмолюку (Институт молекулярной биологии и генетики НАН Украины) за предоставление цианиновых красителей.
Работа выполнена в рамках госзадания ИБХФ РАН № 001201253314.
About the authors
P. G. Pronkin
Emanuel Institute of Biochemical Physics, Russian Academy of Sciences
Author for correspondence.
Email: pronkinp@gmail.com
Russian Federation, Moscow
L. A. Shvedova
Emanuel Institute of Biochemical Physics, Russian Academy of Sciences
Email: pronkinp@gmail.com
Russian Federation, Moscow
A. S. Tatikolov
Emanuel Institute of Biochemical Physics, Russian Academy of Sciences
Email: pronkinp@gmail.com
Russian Federation, Moscow
References
- Tatikolov A.S. // J. Photochem. Photobiol. C. 2012. V. 13. P. 55; https://doi.org/10.1016/j.jphotochemrev.2011.11.001
- Pronkin P.G., Tatikolov A.S. // Molecules. 2022. V. 27. P. 6367; https://doi.org/10.3390/molecules27196367
- Pronkin P.G., Tatikolov A.S. // Spectrochim. Acta, Part A. 2021. V. 263. P. 120171; https://doi.org/10.1016/j.saa.2021.120171
- Pronkin P.G., Tatikolov A.S. // Spectrochim. Acta, Part A. 2022. V. 269. P. 120744; https://doi.org/10.1016/j.saa.2021.120744
- Tatikolov A.S. // Russ. J. Phys. Chem. B. 2021. V. 15. P. 33; https://doi.org/10.1134/S1990793121010280
- Pronkin P.G., Tatikolov A.S. // Russ. J. Phys. Chem. B. 2021. V. 15. P. 25; https://doi.org/10.1134/S1990793121010267
- Tatikolov A.S., Pronkin P.G., Shvedova L.A., Panova I.G. // Russ. J. Phys. Chem. B. 2019. V. 13. P. 900; https://doi.org/10.1134/S1990793119060290
- Pronkin P.G., Tatikolov A.S. // Russ. J. Phys. Chem. B. 2022. V. 16. P. 1; https://doi.org/10.1134/S1990793122010262
- Kovalska V.B., Volkova K.D., Losytskyy M.Yu. et al. // Spectrochim. Acta. Part A. 2006. V. 65. P. 271; https://doi.org/10.1016/j.saa.2005.10.042
- Herz A.H. // Adv. Coll. Interf. Sci. 1977. V. 8. P. 237; https://doi.org/10.1016/0001-8686(77)80011-0
- Chibisov A.K., Prokhorenko V.I., Gorner H. // Chem. Phys. 1999. V. 250. P. 47; https://doi.org/10.1016/S0301-0104(99)00245-1
- Sharma R., Shaheen A., Mahajan R.K. // Colloid Polym. Sci. 2011. V. 289. P. 43; https://doi.org/10.1007/s00396-010-2323-6
- Goronja J.M., Janošević Ležaić A.M., Dimitrij ević B.M., Malenović A.M., Stanisavljev D.R., Pejić N.D. // Hem. Ind. 2016. V. 70 (4). P. 485; https://doi.org/10.2298/HEMIND150622055G
- Akimkin T.M., Tatikolov A.S., Yarmoluk S.M. // High Energy Chem. 2011. V. 45. P. 222; https://doi.org/10.1007/BF00615763
- T.M. Akimkin, A.S. Tatikolov, and S.M. Yarmoluk, High Energy Chem. 45 (3), 222 (2011). https://doi.org/10.1134/S0018143911030027
- Khimenko V., Chibisov A.K., Gorner H. // J. Phys. Chem. A. 1997. V. 101. P. 7304; https://doi.org/10.1021/jp971472b
- Noukakis D., Van der Auweraer M., Toppet S., De Schryver F. // J. Phys. Chem. 1995. V. 99. P. 11860; https://doi.org/10.1021/j100031a012
- Kolesnikov A.M., Mikhailenko F.A. // Russ. Chem. Rev. 1987. V. 56. P. 275; https://doi.org/10.1070/RC1987v056n03ABEH003270
- Shapiro B.I. // Russ. Chem. Rev. 2006. V. 75. P. 433; https://doi.org/10.1070/RC2006v075n05ABEH001208
- Chibisov A.K. // High Energy Chem. 2007. V. 41. P. 200; https://doi.org/10.1134/S0018143907030071
- Akimkin T.M.,. Tatikolov A.S, Panova I.G., Yarmoluk S.M. // High Energy Chem. 2011. V. 45. P. 515; https://doi.org/10.1134/S0018143911060026
- Molinspiration, 2015, Calculation of Molecular Properties and Bioactivity Score. http://www.molinspiration.com (accessed June 25, 2021).
- Pronkin P.G., Tatikolov A.C. // Spectrochimica Acta, Part A. 2023. V. 292. P. 122416; https://doi.org/10.1016/j.saa.2023.122416
- Gromov S.P., Chibisov A.K., Alfimov M.V. // J. Phys. D. 2021. V. 15. P. 219; https://doi.org/10.1134/S1990793121020202
Supplementary files







