Kinetics of polaron capture by traps in a lithium niobate crystal
- Authors: Fedorenko S.1
-
Affiliations:
- Voevodsky Institute of Chemical Kinetics and Combustion, Siberian Branch of Russian Academy of Science
- Issue: Vol 43, No 2 (2024)
- Pages: 33-44
- Section: Электрические и магнитные свойства материалов
- URL: https://ogarev-online.ru/0207-401X/article/view/259895
- DOI: https://doi.org/10.31857/S0207401X24020044
- EDN: https://elibrary.ru/WIUINC
- ID: 259895
Cite item
Full Text
Abstract
The problem of reversible transformation and trapping of small-radius polarons in a lithium niobate crystal is considered within the framework of the integral encounter theory which is binary in the concentration of reatants. Analytical solutions are obtained for the relaxation kinetics of polarons, their lifetimes, and the rate constants of the corresponding channels of a multistage reaction controlled by polaron mobility. The temperature and concentration dependences of the observed quantities are analyzed. It is shown that at low temperatures polarons accumulate in a bound state characterized by an anomalously low relaxation rate.
Full Text
1. Введение
Транспорт и захват на ловушки поляронов малого радиуса играют ключевую роль в формировании замечательных свойств кристаллов ниобата лития (НЛ), столь широко используемых для многочисленных практических приложений, таких как интегральная и нелинейная оптика, оптоэлектроника, голография, фотогальваника, оксидный катализ [1–8].
Стандартный кристалл НЛ конгруэнтной композиции содержит большое количество точечных дефектов, таких как вакансии в подрешетке лития (VL–i), антисайт-дефекты (NbL5+i ) — ион ниобия занимает вакансию в подрешетке лития), различные внешние добавки и примеси. Соответственно, все это создает условия для существования трех типов поляронов в кристалле НЛ [9]: свободные поляроны (Ф) формируются на регулярных узлах подрешетки ниобия NbN5+b, связанные поляроны (П) захватываются на антисайты NbL5+i , на соответствующих соседних узлах NbN5+b : NbL5+i , как композиция свободных и связанных поляронов могут образовываться устойчивые образования — биполяроны. Кроме того, на примесных центрах могут образовываться примесные поляроны. В частности, весьма распространенным случаем являются -центры, которые играют роль глубоких ловушек для фотовозбужденных электронов и поляронов. При поглощении высокоэнергетических фотонов, вызывающих межзонные переходы, возможно образование дырочных поляронов, локализованных на O–-центрах.
Современные эксперименты по спектроскопии индуцированного светом поглощения с временны́м разрешением позволяют селективно наблюдать кинетику релаксации заселенности поляронов в широком диапазоне времен [9, 10]. Однако интерпретация экспериментальных данных с микроскопической точки зрения весьма затруднена из-за сложности механизма взаимодействия различных типов носителей заряда и их захвата на ловушки. Феноменологический анализ кинетики с помощью так называемых “растянутых” экспоненциальных функций Кольрауша–Вильяма–Уоттса не дает ничего нового в физическом понимании [10]. Моделирование методом Монте-Карло, к сожалению, не дает ответа на вопрос о микроскопической детализации кинетического механизма захвата поляронов на ловушки, без чего невозможно понять общие кинетические закономерности процесса [11]. Кроме того, при отсутствии аналитических решений возникает проблема тестирования численных расчетов.
Чтобы исправить ситуацию в настоящей работе мы решаем задачу расчета кинетики релаксации поляронов, исходя из микроскопического описания динамики полярона с помощью модели стохастических прыжков, задаваемых неадиабатической вероятностью Маркуса–Холстейна [12, 13]. В настоящей работе мы фокусируемся на часто реализуемой на практике ситуации легирования кристалла ниобата лития ионами железа. Можно считать, что в такой системе при достаточно низких интенсивностях лазерного возбуждения все фотоиндуцированные заряды генерируются из примесных центров Fe2+, что позволяет исключить из рассмотрения локализованные на антисайтах дырочные поляроны и более сложные образования — биполяроны, образующиеся в процессе ассоциации свободных и связанных поляронов. При такой постановке задачи в системе остаются три активных игрока: свободные и связанные поляроны, способные обратимо переходить друг в друга, и ловушки, ионы Fe3+, на которые необратимо захватываются оба типа поляронов.
В настоящей работе мы решили эту задачу аналитически. Получены явные кинетические зависимости свободных и связанных поляронов от микроскопических параметров взаимодействия, температуры и концентрации примесных узлов и вакансий. Вычислены средние времена жизни поляронов, их температурная и концентрационная зависимости.
2. Кинетические уравнения
Введем обозначения для нашей реагирующей системы: A — антисайт NbL5+i-подрешетки лития, B — регулярный сайт NbN4+b-подрешетки ниобия, F — свободный полярон NbN4+b, P — связанный полярон NbL5+i, T — активная ловушка FeL2+i , Tf — заполненная ловушка FeL2+i . Термические перескоки поляронов, их трансформацию и захват на ловушки мы будем описывать неадиабатической вероятностью Маркуса–Холстейна между начальным (i ) и конечным ( f ) состояниями [12, 13]:
(1)
Здесь Iif — резонансный интеграл; Lif — характерный масштаб перекрывания волновых функций начального и конечного состояний; lif = Ei + Ef — энергия реорганизации решетки, равная сумме энергии упругой деформации решетки в начальном и конечном состояниях; Uif — прыжковый барьер, равный энергии активации прыжка из начального в конечное состояние. В теории Маркуса прыжковый барьер является квадратичной функцией энергии реорганизации среды, lif , и теплового эффекта реакции
, (2)
где ei, ej — дополнительные энергии кулоновского притяжения примесных центров (для свободных поляронов она равна нулю).
В эксперименте максимум пика поглощения, связанного с поляронами i-типа, наблюдается на частоте Mi = 2Ei + ei. Полуширина полосы поглощения при этом равна где wiLO — частота продольных колебаний оптических фононов, участвующих в образовании поляронов i-типа. Измерение Mi и dEi, в принципе, позволяет определить Ei и ei, если известно значение wiLO. Однако этот параметр обычно точно не известен, поэтому невозможно прямое определение Ei и ei из спектроскопических данных. Последние должны корректироваться кинетическими измерениями, поскольку кинетика релаксации поляронов существенно зависит от прыжковых барьеров (2). Для конкретных расчетов в настоящей работе мы воспользуемся литературными данными, приведенными в [9–11]: EF = 0.54 эВ, EP = 0.75 эВ, eP = 0.19 эВ, EFe = 0.7 эВ, eFe = 1.22 эВ.
В формулах (1), (2) индексы “i”,“f ” могут принимать значения (F, P, T ). Однако мы сразу исключим из рассмотрения процессы обратного выпрыгивания поляронов из глубоких ловушек (Tf → F,Tf → P), так как прыжковый барьер этих процессов составляет более 1 эВ. Мы также исключим из рассмотрения прыжки примесных поляронов между Fe3+-ловушками ввиду малой концентрации последних. Таким образом, в нашей системе поляронов остается шесть различных вероятностей термических перескоков, описывающих следующие процессы: миграции Ф-поляронов по регулярным сайтам (WFF, UFF = 0.27 эВ), миграции П-поляронов по антисайтам (WPP, UPP = 0.375 эВ), захвата на ловушки Ф- и П-поляронов (WFT, UFT = 0.0039 эВ; WPT, UPT = 0.0037 эВ), и, наконец, процессы обратимой трансформации Ф- и П-поляронов друг в друга (WFP, UFP = = 0.157 эВ; WPF, UPF = 0.547 эВ).
Процессы трансформации поляронов и их захват на ловушки описываются следующим механизмом реакции:
(3)
(4)
(5)
Согласно условиям эксперимента в момент времени t = 0 создается начальная концентрация Ф-поляронов [F]0 и ведется наблюдение за концентрацией Ф- и П-поляронов, изменяющейся со временем. Мы будем интересоваться кинетикой свободных, и связанных, -поляронов.
В пределе быстрой миграции, когда доставка поляронов в зону реакций не лимитирует течение последних (так называемый кинетический предел), исследуемая кинетика может быть описана кинетическими уравнениями, составленными по закону действующих масс. Вводя концентрацию антисайтов — [A]0 = rA, регулярных сайтов — [B]0 = rB, и считая, что концентрация ловушек [T ]0 = c гораздо больше концентрации свободных и связанных поляронов, мы можем записать кинетические уравнения в следующем виде:
(6)
(7)
Здесь кинетические константы скорости kif не зависят от подвижности поляронов, а являются результатом интегрирования соответствующих вероятностей перескока Wif (r) по зоне реакции около расстояния наибольшего сближения Rif пары i, f-реагентов:
(8)
Важным обстоятельством является то, что константы скорости прямой (kFP) и обратной (kFPF) реакций, равно как и вероятности элементарных прыжков WFP(r) и WPF (r), должны удовлетворять принципу детального баланса [14]:
(9)
Это автоматически уменьшает число независимых параметров системы, так как накладываются жесткие условия на соответствие элементарных параметров прямой и обратной реакции:
В общем случае произвольной подвижности поляронов, когда процессы (3)–(5) могут контролироваться доставкой реагентов в зоны реакций, в системе возникают многочастичные корреляции в расположениях реагентов, учет которых сильно усложняет решение проблемы. В этом случае формально точные уравнения, которым подчиняется на кинетика, можно записать, вводя в правой части уравнений (6), (7) отклонения парной функции распределения fif(r, t) от произведения концентраций (парные p-формы) [15]:
. (10)
Парные p-формы описывают корреляции относительного расположения реагентов, возникающие в однородной системе в результате сближения и взаимодействия реагентов. Очевидно, что в начальный момент времени в однородно распределенной системе корреляции равны нулю. Они появляются в процессе реагирования и при выходе реакционной системы на квазистационарный уровень достигают максимальных пространственных масштабов, равных характерным размерам соответствующих реакционных зон, , многочастичной системы. Эти реакционные радиусы в конечном счете и определяют стационарные константы скорости миграционно-контролируемых реакций. Соответственно, на больших относительных расстояниях реагентов корреляции всегда равны нулю:
Подставляя выражения (10) в (6), (7) и учитывая (8), после некоторых преобразований можно получить интегро-дифференциальные кинетические уравнения, строго учитывающие возникновение парных корреляций, возникающих при протекании бимолекулярных реакций (3)–(5):
(11)
(12)
Лаплас-образы ядер кинетических уравнений здесь определяются через алгебраические комбинации лаплас-образов p-форм и кинетики следующим образом:
(13)
, (14)
. (15)
Заметим, что, несмотря на то, что ядра и в соотношении (13) обратимой реакции (3) сложным образом зависят от характера относительного сближения реагентов, для них остается в силе принцип детального баланса (9).
Кинетические уравнения (11), (12) не замкнуты, так как функции в общем случае подчиняются бесконечной системе уравнений, описывающих динамику многочастичных корреляций в реагирующей системе [15]. В литературе существует достаточное количество работ, посвященных различным способам обрыва бесконечной системы уравнений и замыкания кинетических уравнений для различных видов элементарных бимолекулярных реакций [16–19]. Для исследуемой многостадийной реакции (3)–(5) мы воспользуемся приближением интегральной теории встреч [14], состоящим в пренебрежении всеми трехчастичными корреляциями в уравнениях для парных p-форм [17]. Проделав такую процедуру, мы получаем систему уравнений для парных p-форм:
(16)
(17)
(18)
(19)
где $Li — операторы движения поляронов. Нетрудно заметить, что система уравнений распадается на три невзаимодействующие части: связанные уравнения (16), (17), описывающие динамику корреляций, возникающих в обратимой реакции (3), и два независимых уравнения (18), (19), описывающих захват Ф- и П-поляронов на ловушки (4), (5).
Таким образом, мы получили замкнутую систему кинетических уравнений (11)–(19), описывающую кинетику релаксации свободных и связанных поляронов с учетом динамики парных корреляций, возникающих в процессе их сближения и взаимодействия. Отметим, что уравнения справедливы в том случае, когда характерные радиусы парных корреляций, описанные вокруг реагентов, не перекрываются в объеме, что и является условием отсутствия корреляций высшего порядка. Это условие означает, что малы так называемые параметры бинарности xij каждой элементарной стадии многостадийной реакции (1)–(3):
(20)
Это условие достигается в случае достаточно малых концентраций либо в ситуации достаточно быстрого движения поляронов.
Условие бинарного описания (20) фактически означает, что средние времена парных встречи реагентов, , задающее масштаб изменения ядер в (11), (12), гораздо меньше средних времен между встречами, , которые определяются обратными стационарными скоростями соответствующих реакций: . Из этого следует, что при выполнении условия (20) кинетика реагирующей системы за достаточно короткие времена выходит на квазистационар с константами скорости
. (21)
Кинетические уравнения (11), (12) при этом переходят в следующие:
(6а)
(7а)
Фактически, они дублируют уравнения (6), (7) с точностью до переопределения кинетических констант скоростей элементарных стадий на соответствующие стационарные константы: .
3. Константы скорости захвата на ловушки
Прежде чем приступить к расчету ядер (13) — (15) кинетических уравнений (11), (12), мы должны определить операторы движения поляронов. Свободные поляроны движутся посредством стохастических прыжков по регулярным узлам NbN5+b кубической подрешетки ниобия с вероятностью WFF (r) в единицу времени. В зависимости от того, как пространственный масштаб этих прыжков соотносится с характерным размером области затухания вероятности захвата на ловушки, WFF (r), формируется механизм реакции. Наиболее вероятные прыжки поляронов происходят между ближайшими соседними узлами подрешетки, разделенными расстоянием d = 3.765A. Для поляронов малого радиуса характерный масштаб затухания вероятности должен быть меньше или порядка постоянной решетки: LFF/2 ≤ d. Поэтому приближенно можно считать, что захват Ф-поляронов на ловушки происходит по диффузионному механизму [14], когда полярон проходит зону реакции посредством многих прыжков малого масштаба. В этом случае оператор движения в уравнениях (16), (18) имеет вид
(22)
Суммирование в (22) идет по всем узлам кубической подрешетки ниобия.
Связанные поляроны могут перемещаться только по антисайтам NbL5+i , которые составляют только 1% от регулярных узлов подрешетки лития. Поэтому среднее расстояние между ними, определяющее характерный масштаб прыжка полярона, гораздо больше постоянной решетки:
Таким образом, связанный полярон проходит в тушащий слой реакции шириной LPT/2 d одним большим прыжком, и захват на ловушку происходит быстрее формирования коэффициента диффузии. Такой механизм называется прыжковым механизмом реакции [14]. В пределе больших масштабов l прыжковый оператор определяется следующим образом:
. (23)
Здесь tPP — среднее время между прыжками полярона по неупорядоченной системе антисайтов. Оно равно интегралу от кинетики эмиграции носителей из первоначально занятого узла решетки. Заметим, что эта кинетика в неупорядоченной системе неэкспоненциальна. Введение оператора (23) означает, что мы переходим к марковскому описанию процесса случайных блужданий с экспоненциальной функцией эмиграции. Физически это эквивалентно введению эффективной упорядоченной решетки антисайтов со скоростью ухода 1/tPP, одинаковой для каждого центра.
В литературе попытки расчета tPP предпринимались в рамках разных теорий примесной прыжковой проводимости [20–24]. Было показано, что существенной особенностью этой величины является экспоненциальная зависимость от концентрации примесных центров. Последнее обуславливает существование порога протекания — критического расстояния между примесями, rC, больше которого невозможно образование бесконечного перколяционного кластера в неупорядоченной системе: , В настоящее время считается, что наиболее точно критическое расстояние оценивается теорией перколяции: [20]. Более полное выражение для tPP с учетом предэкспоненциального множителя получается в рамках самосогласованной диаграммной техники, предложенной в работе [25]:
. (24)
Двойка в знаменателе появляется из-за обратимости прыжков поляронов, а значение rC получается несколько заниженным по сравнению с результатом перколяционной теории. В настоящей работе мы будем использовать выражение (24) с перколяционной оценкой rC.
Проводя преобразование Лапласа над уравнением (18) и подставляя в него (22), мы получаем неоднородное диффузионное уравнения с экспоненциально зависящей от расстояния вероятностью реакции:
(25)
которое надо решать с граничными условиями
Аналитическое решение подобного (25) уравнения было получено в работах [26, 27], где рассматривался фотоиндуцированный перенос электрона с последующим образованием зарядовой пары, ассоциирующей в эксиплекс [28]. Мы не будем его здесь приводить в силу его объемности. Как уже было отмечено, это решение достаточно быстро выходит на стационарную стадию, на которой формируется стационарная константа скорости захвата поляронов:
(26)
(27)
где C = 0.5772 — константа Эйлера. Здесь введен безразмерный параметр
. (28)
Под корнем в (28) стоит произведение вероятности захвата на время диффузионного прохождения полярона через тушащий слой LFT, поэтому этот параметр характеризует эффективность диффузионного захвата. При быстрой диффузии параметр x0 мал. В этом случае, разлагая функции Бесселя в ряд, можно показать, что радиус захвата при x0 → 0 стремится к нулю: В этом пределе константа скорости KFT переходит в кинетическую константу: KFT → kFT . Напротив, когда , эффективный радиус “выдвигается” далеко за пределы контакта реагентов, т.е. , и захват полярона контролируется диффузией:
Заметим, что выражение (27) для стационарного диффузионного радиуса реакции впервые было получено в работе [29].
Для связанных поляронов после подстановки оператора (23) в уравнение (19) и преобразования Лапласа получается алгебраическое уравнение. Подставляя его решение в (15) и переходя к пределу s → 0, получаем выражение для константы скорости прыжкового захвата на ловушки [14]:
(29)
Подобные интегралы встречаются в статической физике при рассмотрении функции распределения Ферми–Дирака с “температурой” LPT/2, “химическим потенциалом” — радиусом эффективного прыжкового захвата полярона RwPT, который определяется из условия . Подставляя значения WPT(r) из (1) и tPP из (24), получаем выражение
(30)
Как следует из соотношения (30), первое слагаемое зависит от концентрации антисайтов, второе — от температуры. Прыжковый радиус растет как при уменьшении концентрации антисайтов, так и при уменьшении температуры (UPP > UPT ). Для конгруэнтных кристаллов поэтому условие эффективного захвата полярона: реализуется при любых температурах за счет малой концентрации антисайтов. В этой ситуации интегрирование в (29) дает следующее выражение для константы скорости:
. (31)
В отличие от диффузионного случая константа скорости прыжкового захвата пропорциональна объему реакционной зоны, умноженному на частоту прыжков.
4. Константы скорости обратимой реакции
Ядро обратимой реакции определяется решением системы уравнений (16), (17). Производя преобразование Лапласа над уравнениями и выражая из (17) через , получаем соотношения
(32)
(33)
Здесь введены следующие обозначения:
Далее, воспользовавшись определением (13) ядра , переходя к пределу s → 0 и вводя новую функцию
, (34)
можно получить выражения для константы скорости обратимой реакции:
(35)
Здесь Функция (34) подчиняется однородному дифференциальному уравнению
(36)
с граничными условиями:
.
Таким образом, задача об определении константы скорости обратимой реакции свелась к решению уравнения (36) вместо двух уравнений — (32) и (33). Решение этого уравнения с экспоненциально зависящей от расстояния вероятностью (1) было получено в работе [29] для расчета константы скорости необратимой реакции при учете квантовой динамики парных встреч. Впоследствии такое же уравнение было получено для описания перехода между диффузионным и прыжковым механизмами необратимой реакции в работах [30, 31]. Для нашего случая, после соответствующего переопределения параметров, решение уравнения (36) приводит к следующему выражению для константы скорости обратимой реакции (2):
(37)
где для эффективного радиуса реакции справедливо выражение
(38)
,
.
Здесь — гипергеометрическая функция первого рода [32].
Полученное решение (37), (38) зависит от трех параметров:
(39)
Как следует из (39), параметр Z характеризует глубину протекания прямой реакции за время t (обратной реакции — за время tPP) в той точке, где вероятность максимальна, т.е. на контакте. Параметр h соотносит радиус контакта R и толщину тушащего слоя L, разделяя таким образом дистанционные и контактные реакции. И, наконец, параметр n соизмеряет масштаб диффузионного перемещения за время t с величиной L, разграничивая механизмы реакции по способу пересечения реакционной зоны. При n >> 1, когда тушащий слой пересекается реагентами посредством серии прыжков малого масштаба, реализуется диффузионный механизм реакции. Это происходит при достаточно низких температурах. Можно показать, что при этом эффективный радиус (38) приобретает вид, аналогичный (27), (28) с точностью до переопределения параметров Таким образом, при низких температурах константа скорости KFP определяется каналом прямой реакции, контролируемой диффузией свободных поляронов. В противоположном пределе, n << 1, который реализуется при высоких температурах, общие выражения (37), (38) переходят к прыжковому виду (29) с эффективным прыжковым радиусом, определенным из соотношения . В результате выражение для KFP принимает вид
(40)
Как легко убедиться, в этом пределе константа скорости контролируется прыжковой миграцией связанных поляронов. Заметим, что в отличие от RwPT из (30), RwPF уменьшается при снижении температуры, так как UPP < UPF . Поэтому в общем случае произвольной температуры может реализоваться как ситуация сильного или слабого взаимодействия, так и диффузионного или прыжкового механизма реакции.
5. Средние времена жизни
Прежде чем приступать к расчету кинетики, проанализируем температурные зависимости средних времен жизни свободных и связанных поляронов:
(41)
С учетом (11), (12), (21) легко показать, что они подчиняются следующим соотношениям:
(42)
Легко увидеть, что времена жизни определяются соотношениями четырех скоростей реакций (1)–(3): cKFT, cKPT , rAKFP , grBKFP . В знаменателе выражения для tF первое слагаемое описывает канал гибели Ф-поляронов на ловушках, второе — канал трансформации в П-поляроны с учетом возможного возврата назад. В определении tP первый сомножитель характеризует вероятность остаться полярону в П-состоянии, несмотря на возможный захват на ловушки или возврат в Ф-состояние.
При низких температурах скорость обратного переноса grBKFP , по сравнению со скоростью захвата Пполяронов на ловушки cKPT, становится мала, поэтому дробь в знаменателе tF сокращается. В результате конкурируют только две диффузионно-контролируемые скорости: cKFT и rAKFP . Температурная зависимость обеих в основном определяется активационной зависимостью коэффициента диффузии , но в зависимости от параметров взаимодействия и концентраций эти скорости могут сильно различаться. В этом случае tF будет определяться большей из скоростей, однако в любом случае Для связанных поляронов при низких температурах будет реализовываться зависимость поэтому в любом случае при низких температурах
При повышении температуры скорость обратного переноса grBKFP как более активированная начинает преобладать над скоростью тушения П-поляронов на ловушках cKPT, поэтому вторым слагаемым в знаменателе выражения для tF можно пренебречь. В этом случае основным каналом гибели Ф-поляронов является захват на ловушки: . Соответственно, время жизни П-полярона при высоких температурах определяется равновесным соотношением: .
На рис. 1 изображена зависимость времен жизни от обратной температуры при разных концентрациях ловушек. Переход между двумя температурными интервалами, описанными выше, происходит в окрестности T = 250 K (длинная вертикальная черта).
Справа от нее при низких температурах т.е. не зависит от концентрации ловушек, а . В этой области Ф-поляроны быстро переходят в связанное П-состояние и затем медленно гибнут на ловушках. Время жизни tP превышает секундный диапазон; таким образом происходит консервация поляронов в П-состоянии. Основной канал реакции F → P → T.
Рис. 1. Зависимость времен жизни свободных и связанных поляронов от обратной температуры при разных концентрациях ловушек с. Сплошные линии — с = 1.9 мол. %, штриховые линии — с = 0.5 мол. %, точки — с = 0.16 мол. %. Короткими вертикальными линиями обозначены границы бинарного приближения для трех концентраций.
При T > 250 K поведение времен жизни качественно меняется: вначале , но при дальнейшем повышении температуры KFT выходит на кинетический предел , который ввиду малости UFT = = 0.004 эВ практически не зависит от температуры. Напротив, в силу детального баланса (9), (13) гибель связанных поляронов слева от длинной вертикальной черты сильно активирована:
(43а)
, (43б)
Таким образом, при высоких температурах населенности свободных и связанных поляронов эффективно размешиваются благодаря быстрой обратимой реакции. Поляроны консервируются в П-состоянии, и в дальнейшем их гибель лимитируется обратным переходом в Ф-состояние и дальнейшим захватом на ловушки из свободного состояния F → T.
Следует отметить, что в силу того, что радиус захвата П-поляронов на ловушки RwPT, определенный выражением (30), достаточно быстро растет с уменьшением температуры, при низких температурах может нарушаться критерий бинарного описания этого канала: На рис. 1 границы бинарного описания указаны для трех различных концентраций. Описание реакции захвата П-поляронов при достижении этих границ нужно учитывать многочастичные эффекты.
6. Кинетика релаксации поляронов
Легко показать, что решение (6а), (7а) имеет биэкспоненциальный характер:
, (44)
, (45)
где
и введено обозначение
. (46)
Первая величина в (46) является суммой прямой и обратной скоростей обратимой реакции, тогда как вторая равна разности скоростей гибели Ф- и П-поляронов на ловушках. Кинетика (44), (45) содержит два физически различных предельных случая, которые реализуются в зависимости от соотношения между этими параметрами.
Первый случай: L >> | d |. Он соответствует быстрому установлению равновесия в обратимой реакции. В этом случае кинетика имеет вид
, (47)
. (48)
Здесь величины NFeq и NPeq есть равновесные населенности поляронов, достигаемые в ходе обратимой трансформации в случае полного отсутствия ловушек:
. (49)
Они здесь играют роль весовых коэффициентов как в самой биэкспоненциальной кинетике, так и в скоростях затухания:
(50)
Первая стадия кинетики (47), (48) — быстрая релаксация к квазиравновесным населенностям (49) со скоростью –Wrel из (50), равной сумме скоростей двух каналов реакции: F → P → T и P → F → T. Последующая стадия — более медленное затухание населенностей (49) с одинаковой равновесной скоростью –Weq, которая является суммой равновесных скоростей захвата Ф- и П-поляронов на ловушки.
Противоположная предельная ситуация, L << | d |, соответствует быстрому захвату на ловушки поляронов одного типа (в нашем случае Ф-поляронов), что может реализоваться при высоких концентрациях ловушек. Кинетика в этом пределе может быть записана в следующем виде:
, (51)
. (52)
Здесь весовой коэффициент равен A = grB× а скорости релаксации являются сугубо индивидуальными для каждого типа поляронов:
(53)
Вначале происходит быстрое и глубокое затухание Ф-поляронов и увеличение населенности П-поляронов со скоростью –WF , а затем — более медленное затухание кинетики обоих типов поляронов со одинаковой скоростью –WP . Быстрый ассиметричный захват поляронов одного типа не дает установиться равновесию в обратимой реакции, в результате чего релаксация (51), (52) происходит со скоростями (53), каждая из которых является суммой скоростей соответствующих реакционных каналов.
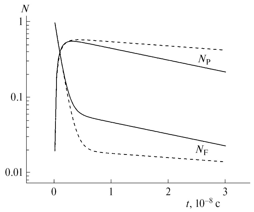
Типичное поведение кинетики релаксации изображено на рис. 2. Для обоих предельных случаев при понижении температуры разница между начальной и конечной скоростями релаксации, становится все большей, а опустошение населенности свободных поляронов за короткий начальный участок времени — все глубже. Соответственно, становится все более медленным затухание на последующем заключительном интервале, приводящее к существенному увеличению времени жизни связанных поляронов. В пределе низких температур трансформация свободных поляронов в связанное состояние становится практически необратимой.
Рис. 2. Кинетические кривые релаксации населенностей свободных и связанных поляронов при концентраци ловушек c = 1.9 мол. %; при T = 700 K (сплошные линии) и T = 600 K (штриховые линии).
7. Заключение
Мы стартовали от общей модели случайных блужданий по регулярным сайтам и антисайтам кристалла, обусловленных термическими перескоками с вероятностями Маркуса–Холстейна (1), (2) между эквивалентными и тремя неэквивалентными состояниями (Ф, П, Т) поляронов. Введение парных корреляционных форм (10) и марковских операторов движения (22) и (23) свободных и связанных поляронов соответственно, позволило нам сформулировать замкнутые уравнения интегральной теории встреч (11)–(19), описывающие кинетику релаксации поляронов с учетом динамики парных корреляций, возникающих в процессе сближения и взаимодействия всех реагирующих состояний (3)–(5). Мы рассчитали константы скорости диффузионного захвата Ф-поляронов KFT (26), (27), прыжкового захвата П-поляронов KPT (29)–(31) на ловушки; а также константу скорости KFP (37), (38) реакции обратимой трансформации (3). Насколько нам известно, задача об определении константы скорости обратимой реакции с неконтактной вероятностью аналитически в данной работе была решена впервые. Было показано, что при низких температурах константа скорости KFP определяется каналом прямой реакции F → P, контролируемой диффузией свободных поляронов, и имеет вид, аналогичный (26), (27). Напротив, при высоких температурах KFP определяется (см. (40)) каналом обратной реакции P → F, контролируемой прыжками связанных поляронов по неупорядоченной системе антисайтов. Аналитически рассчитаны и проанализированы времена жизни (42) и кинетика релаксации поляронов (44)–(46). Показано, что при низких температурах происходит консервация поляронов в связанном состоянии, характеризующемся аномально низкой скоростью релаксации.
About the authors
S. Fedorenko
Voevodsky Institute of Chemical Kinetics and Combustion, Siberian Branch of Russian Academy of Science
Author for correspondence.
Email: fedorenk@kinetics.nsc.ru
Russian Federation, Institutskaya 3, 630090, Novosibirsk
References
- Imlau M., Badorreck H., Merschjann C. // Appl. Phys. Rev. 2015. V. 2. P. 040606.
- Günter P., Huignard J.P. // Photorefractive Materials and Their Applications 1. Springer, NY, USA, 2006. V. 113. P. 0342–4111.
- Bazzan M., Sada C. // Appl. Phys. Rev. 2015. V. 2. P. 040603.
- He J., Franchini C., Rondinelli J.M. // Chem. Mater. 2016. V. 28. P. 25.
- TisdaleW.A., Williams K.J., Timp B.A. // Science 2010. V. 328, P. 1543.
- Pelaez M., Nolan N.T., Pillai S.C. et al. // Appl. Catal. B Environ. 2012. V. 125, P. 331.
- Zhong Y., Trinh M.T., Chen R. et al. // J. Am. Chem. Soc. 2016. V. 138. P. 16165.
- Zhong Y., Trinh M.T., Chen R. et al. // Nat. Commun. 2015. V. 6, P. 1.
- Guilbert L., Vittadello L., Bazzan M. et al. // J. Phys. Condens. Matter. 2018. V. 30. P. 125701.
- Vittadello L., Bazzan M., Messerschmidt S. et al. // Crystals. 2018. V. 8. P. 294.
- Vittadello L., Guilbert L., Fedorenko S., Bazzan M. // Crystals. 2021. V. 11. P. 302.
- Marcus R. // J. Chem. Phys. 1956. V. 24. P. 966.
- Holstein T. // Ann. Phys. 1959. V. 8. P. 343.
- Burshtein A.I. // Adv. Chem. Phys. 2004. V. 129. P. 105.
- Balescu R. Equilibrium and Non-Equilibrium Statistical Mechanics. Willey, New-York, 1975.
- Kipriyanov A.A., Igoshin O.V., Doktorov A.B. // Physica A. 1999. V. 268. P. 567.
- Gopich I.V., Szabo A. // J. Chem. Phys. 2002. V. 117. P. 507.
- Lee S., Karplus M. // J. Chem. Phys. 1987. V. 86. P. 1883.
- Yang M., Lee S., Shin K.J. // J. Chem. Phys. 1998. V. 108. P. 9069.
- Shklovskii B.I., Efros A.L. Electronic Properties of Doped Semiconductors. Berlin, Springer-Verlag 1984.
- Mott N.F., Davis E.A. Electron Process in Non-Crystalline Materials. Oxford, Clarendon Press, 1979.
- Movaghar B., Sauer G.W. // J. Phys. C. 1980, V. 13. P. 4933.
- Bryksin V.V. // Fiz. Tverd. Tela. 1980. V. 22. P. 2441.
- Bryksin V.V. // Fiz. Tverd. Tela. 1984. V. 26. P. 1362.
- Gochanour C.R., Andersen H.C., Fayer M.D. // J. Chem. Phys. 1979. V. 70. P. 4254.
- Fedorenko S.G., Khokhlova S.S., Burshtein A.I. // J. Phys. Chem. A 2012. V. 116. P. 3.
- Fedorenko S.G., Burshtein A.I. // J. Chem. Phys. 2014. V. 141. P. 114504.
- Fedorenko S.G., Burshtein A.I. // J. Phys. Chem. A. 2010. V. 114. P. 4558.
- Doktorov A.B., Burshtein A.I. // Sov. Phys. JETP 1976. V. 41. P. 671.
- Doktorov A.B., Kipriyanov A.A., Burshtein A.I. // Sov. Phys. JETP 1978. V. 47. P. 623.
- Burshtein A.I., Doktorov A.B., Kipriyanov A.A. et al. // Sov. Phys. JETP 1985. V. 61. P. 516.
- Gradshtein I.S., RyzhikI.M. Table of Integrals, Sums, Series and Derivatives. Berlin, VEB Deutscher Verlag, 1963.
Supplementary files
Note
Х Международная конференция им. В.В. Воеводского “Физика и химия элементарных химических процессов” (сентябрь 2022, Новосибирск, Россия).




