Полимерные композиты на основе полилактида, содержащие наноразмерные углеродные наполнители различной природы
- Авторы: Роговина С.З.1, Гасымов М.М.1, Ломакин С.М.1,2, Кузнецова О.П.1, Шевченко В.Г.1,3, Арбузов А.А.4, Берлин А.А.1
-
Учреждения:
- Федеральный исследовательский центр химической физики им. Н.Н. Семёнова Российской академии наук
- Институт биохимической физики им. Н.М. Эмануэля Российской академии наук
- Институт синтетических полимерных материалов им. Н.С. Ениколопова Российской академии наук
- Федеральный исследовательский центр проблем химической физики и медицинской химии Российской академии наук
- Выпуск: Том 42, № 11 (2023)
- Страницы: 70-78
- Раздел: Химическая физика полимерных материалов
- URL: https://ogarev-online.ru/0207-401X/article/view/233219
- DOI: https://doi.org/10.31857/S0207401X23110080
- EDN: https://elibrary.ru/VEMEDJ
- ID: 233219
Цитировать
Полный текст
Аннотация
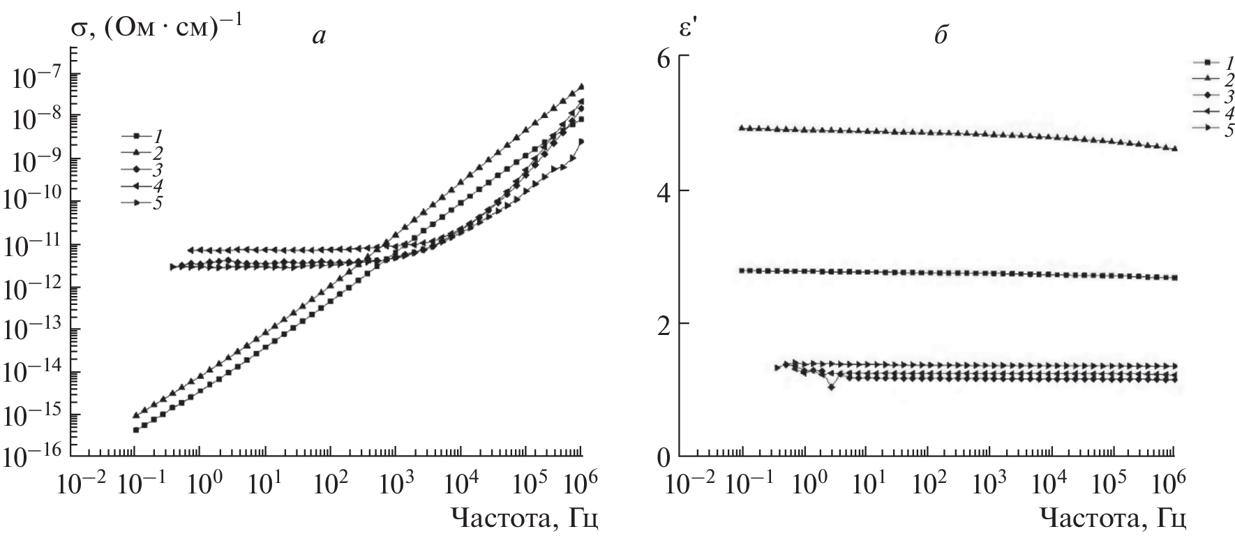
В жидкой фазе синтезированы наполненные композиции полилактида с наноразмерными пластинами графита (НПГ) и восстановленного оксида графена (ВОГ). Проведено сравнительное исследование механических, электрических и термофизических характеристик композиций в зависимости от природы наполнителей. Установлено незначительное различие механических параметров композиций, содержащих в качестве наполнителей НПГ и ВОГ. В то же время при изучении электрических свойств обнаружено, что использование ВОГ в качестве наполнителя приводит к получению композиций с более низким порогом протекания, чем в случае использования НПГ, и повышенной проводимостью. Методом ДСК показано, что композиции, содержащие в качестве наполнителя НПГ, обладают более высокой степенью кристалличности по сравнению с аналогичными композициями, содержащими ВОГ. Этот факт обусловлен особенностями структуры наполненных композиций, влияющими на скорость образования зародышей кристаллитов полилактида на поверхности упорядоченных планарных наночастиц НПГ и несовершенных частиц ВОГ. Таким образом, использование различных углеродных наполнителей может способствовать получению композиций, различающихся по своим характеристикам.
Об авторах
С. З. Роговина
Федеральный исследовательский центр химической физики им. Н.Н. Семёнова Российской академии наук
Email: s.rogovina@mail.ru
Россия, Москва
М. М. Гасымов
Федеральный исследовательский центр химической физики им. Н.Н. Семёнова Российской академии наук
Email: s.rogovina@mail.ru
Россия, Москва
С. М. Ломакин
Федеральный исследовательский центр химической физики им. Н.Н. Семёнова Российской академии наук; Институт биохимической физики им. Н.М. Эмануэля Российской академии наук
Email: s.rogovina@mail.ru
Россия, Москва; Россия, Москва
О. П. Кузнецова
Федеральный исследовательский центр химической физики им. Н.Н. Семёнова Российской академии наук
Email: s.rogovina@mail.ru
Россия, Москва
В. Г. Шевченко
Федеральный исследовательский центр химической физики им. Н.Н. Семёнова Российской академии наук; Институт синтетических полимерных материалов им. Н.С. Ениколопова Российской академии наук
Email: s.rogovina@mail.ru
Россия, Москва; Россия, Москва
А. А. Арбузов
Федеральный исследовательский центр проблем химической физики и медицинской химииРоссийской академии наук
Email: s.rogovina@mail.ru
Россия, Черноголовка
А. А. Берлин
Федеральный исследовательский центр химической физики им. Н.Н. Семёнова Российской академии наук
Автор, ответственный за переписку.
Email: s.rogovina@mail.ru
Россия, Москва
Список литературы
- Mortazavi B., Hassouna F., Laachchi A. et al. // Thermochim. Acta. 2013. V. 552. P. 106.
- Fu Y., Liu L., Zhang J. et al. // Polymer. 2014. V. 55. № 24. P. 6381.
- Fu Y., Liu L., Zhang J. // ACS Appl. Marer. Interfaces. 2014. V. 6. № 16. P. 14069.
- Rogovina S.Z., Lomakin S.M., Usachev S.V. et al. // Polym. Cryst. 2022. V. 2022. P. 1.
- Роговина С.З., Ломакин С.М., Гасымов М.М. и др. // Все материалы. Энциклопед. справ. 2022. № 6. С. 11.
- Роговина С.З., Гасымов М.М., Ломакин С.М. и др. // Механика композит. материалов. 2022. Т. 58. № 6. С. 1.
- Usachev S.V., Lomakin S.M., Koverzanova E.V. et al. // Thermochim. Acta. 2022. V. 712. P. 179227.
- Chen G., Wu D., Weng W. et al. // Carbon. 2003. V. 41. P. 619.
- Liu W., Do I., Fukushima H. // Carbon Lett. 2010. V. 11. № 4. P. 279.
- Zhu H., Ji D., Jiang L., Dong H. // Philos. Trans. Royal Soc. A. 2013. V. 371. P. 20 120 308.
- Yamaguchi H., Murakami K., Eda G. et al. // ACS Nano. 2011. V. 5. P. 4945.
- Garlotta D.A. // J. Polym. Environ. 2011. V. 19. № 2. P. 63.
- Hu C., Li Z., Wang Y. et al. // J. Mater. Chem. 2017. V. 9. № 5. P. 2318.
- Арбузов А.А., Мурадян В.Е., Тарасов Б.П. и др. // ЖФХ. 2016. Т. 90. № 5. С. 663.
- Перова А.Н., Бревнов П.Н., Усачёв С.В. и др. // Хим. физика. 2021. Т. 40. № 7. С. 49.
- Ломакин С.М., Хватов А.В., Сахаров П.А. и др. // Хим. физика. 2020. Т. 39. № 11. С. 58.
- Смыковская Р.С., Кузнецова О.П., Мединцева Т.И. и др. // Хим. Физика. 2022. Т. 41. № 4. С. 56.
- Alexandre M., Dubiois P. // Mater. Sci. Eng. R. Rep. 2000. V. 28. P. 1.
- Fornes T.D., Paul D.R. // Polymer. 2003. V. 44. P. 4993.
- Gao Y., Picot O.T., Bilotti E. et al. // Eur. Polym. J. 2017. V. 86. P. 117.
- Balogun Y.A., Buchnan R.C. // Compos. Sci. Tecnol. 2010. V. 70. № 6. P. 892.
- Arriagada P., Palza H., Palma P. et al. // J. Biomed Mater Res A. 2017. V. 106. № 4. P. 1051.
- Kim D.W., Lim J.H., Yu. J. // Compos. B. Eng. 2019. V. 168. P. 387.
- De Sousa D.E.S., Scuracchio C.H., De Barra G.M. et al. // Multifunc. Polym. Comp. 2015. V. 7. P. 245.
- Linares A., Canalda J.C., Cagiao M.E. et al. // Macromolecules. 2008. V. 41. P. 7090.
- Fischer E., Sterzel H., Wegner G. // Colloid Polym. Sci. 1973. V. 990. P. 980.
- Müller A.J., Ávila M., Saenz G. et al. Poly(lactic acid) Science and Technology: Processing, Properties, Additives and Applications. 1st ed. Oxfordshire: Royal Soc. Chem., 2015.
- Жорина Л.А., Кузнецова О.П., Роговина С.З. и др. // Хим. физика. 2018. Т. 37. № 12. С. 74.
Дополнительные файлы










