Composite Materials Based on Polytetrafluoroethylene Microgranules and Nickel-Containing Nanoparticles: Synthesis, Composition, and Magnetic Properties
- Authors: Kirillov V.E.1, Yurkov G.Y.1, Korobov M.S.1, Voronov A.S.2, Solodilov V.I.1, Buznik V.M.3
-
Affiliations:
- Semenov Federal Research Center for Chemical Physics, Russian Academy of Sciences
- State Scientific Center of the Russian Federation Troitsk Institute of Innovation and Thermonuclear Research
- Kurnakov Institute of General and Inorganic Chemistry, Russian Academy of Sciences
- Issue: Vol 42, No 11 (2023)
- Pages: 39-47
- Section: Chemical physics of polymeric materials
- URL: https://ogarev-online.ru/0207-401X/article/view/233203
- DOI: https://doi.org/10.31857/S0207401X23110043
- EDN: https://elibrary.ru/QBZDTE
- ID: 233203
Cite item
Full Text
Abstract
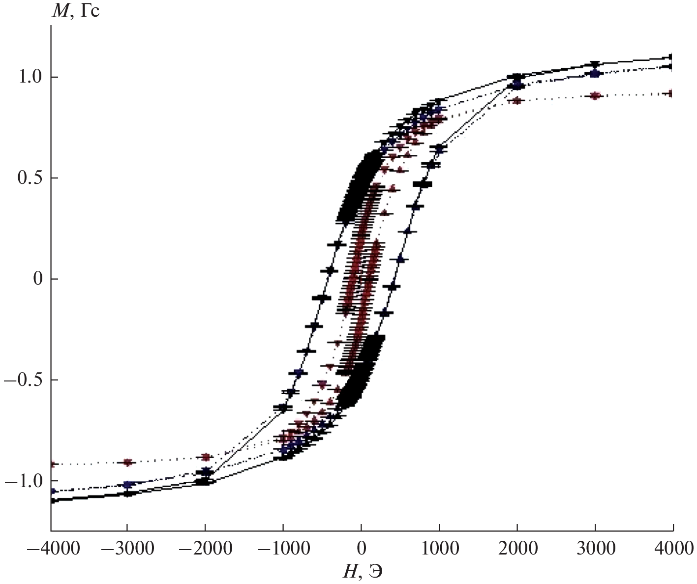
Polymer composites with nanoparticles localized on the surface of polytetrafluoroethylene microgranules
are synthesized by the method of thermal decomposition of metal-containing nickel salts. The synthesized
nanoparticles are characterized by transmission electron microscopy (TEM) and X-ray diffraction
analysis. The size of the nanoparticles ranged from 3.5 to 8 nm, depending on the precursor. It follows from
the data obtained that the particles have a complex composition. The study of magnetic properties shows that
the system of magnetic nickel-containing nanoparticles in the samples at room temperature is in a ferromagnetic
or superparamagnetic state. The blocking temperature and coercive force are calculated for each sample.
About the authors
V. E. Kirillov
Semenov Federal Research Center for Chemical Physics, Russian Academy of Sciences
Email: kirillovladislav@gmail.com
Moscow, Russia
G. Yu. Yurkov
Semenov Federal Research Center for Chemical Physics, Russian Academy of Sciences
Email: kirillovladislav@gmail.com
Moscow, Russia
M. S. Korobov
Semenov Federal Research Center for Chemical Physics, Russian Academy of Sciences
Email: kirillovladislav@gmail.com
Moscow, Russia
A. S. Voronov
State Scientific Center of the Russian Federation Troitsk Institute of Innovation and Thermonuclear Research
Email: kirillovladislav@gmail.com
Troitsk, Russia
V. I. Solodilov
Semenov Federal Research Center for Chemical Physics, Russian Academy of Sciences
Email: kirillovladislav@gmail.com
Moscow, Russia
V. M. Buznik
Kurnakov Institute of General and Inorganic Chemistry, Russian Academy of Sciences
Author for correspondence.
Email: kirillovladislav@gmail.com
Moscow, Russia
References
- Khandel P., Yadaw R.K., Soni D.K. et al. // J. Nanostruct. Chem. 2018. V. 8. № 3. P. 217.
- Shwetha U.R., Rajith Kumar C.R., Kiran M.S. et al. // Molecules. 2021. V. 26. № 9. P. 2448.
- Сарвадий С.Ю., Гатин А.К., Гришин М.В. и др. // Хим. безопасность. 2018. Т. 2. № 2. С. 35.
- Sana S.S., Singh R.P., Sharma M. et al. // Curr. Pharmac. Biotechnol. 2021. V. 22. № 6. P. 808.
- Chaudhary R., Tanna J., Gandhare N. et al. // Adv. Mater. Lett. 2015. V. 6. P. 990.
- Ravindhranath K., Ramamoorty M. // Oriental J. Chem. 2017. V. 33 № 4. P. 1603.
- Khan S.A., Shahid S., Ayaz A. et al. // Intern. J. Nanomedicine. 2021. V. 16. P. 1757.
- Гатин А.К., Сарвадий С.Ю., Дохликова Н.В. и др. // Хим. физ. 2021. Т. 40. № 6. С. 3.
- Мамонова И.А., Бабушкина И.В. // Инфекция и иммунитет. Т. 2. № 1–2. С. 225.
- Cioffi N., Torsi L., Ditaranto N. et al. // Chem. Mater. 2005. V. 17. № 21. P. 5255.
- Алымов М.И., Сеплярский Б.С., Вадченко С.Г. и др. // Хим. физ. 2021. Т. 40. № 45.С. 85.
- Сычев А.Е., Вадченко С.Г., Щукин А.С. и др. // Хим. физ. 2022. Т. 41. № 1. С. 69.
- Гришин М.В., Гатин А.К., Дохликова Н.В. и др. // Хим. физ. 2019. Т. 38. № 1. С. 3.
- Дохликова Н.В., Гришин М.В., Сарвадий С.Ю., Шуб Б.Р. // Хим. физ. 2019. Т. 38. № 6. С. 77.
- Chaudhary J., Tailor G., Yadav B.L., Michael O. // Heliyon. 2019. V. 5. № 6. P. e01878.
- Гатин А.К., Гришин М.В., Сарвадий С.Ю., Шуб Б.Р. // Хим. физ. 2018. Т. 37. № 3. С. 48.
- Алымов М.И., Рубцов Н.М., Сеплярский Б.С. и др. // Докл. АН РФ. 2019. Т. 484. С. 48.
- Gubin S.P. // Colloids Surf., A. 2002. V. 202. № 2. P. 155.
- Gubin S.P., Yurkov G.Yu., Korobov M.S. et al. // Acta Materialia. 2005. V. 53. № 5. P. 1407.
Supplementary files













