Индуцированная оптическая активность профлавина в комплексах с ДНК
- Авторы: Полетаев А.И.1
-
Учреждения:
- Федеральный исследовательский центр химической физики им. Н.Н. Семёнова Российской академии наук
- Выпуск: Том 42, № 9 (2023)
- Страницы: 74-82
- Раздел: Химическая физика биологических процессов
- URL: https://ogarev-online.ru/0207-401X/article/view/139955
- DOI: https://doi.org/10.31857/S0207401X23090091
- EDN: https://elibrary.ru/AEJRYJ
- ID: 139955
Цитировать
Полный текст
Аннотация
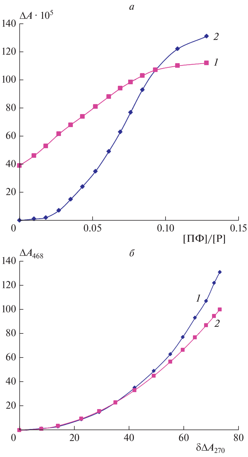
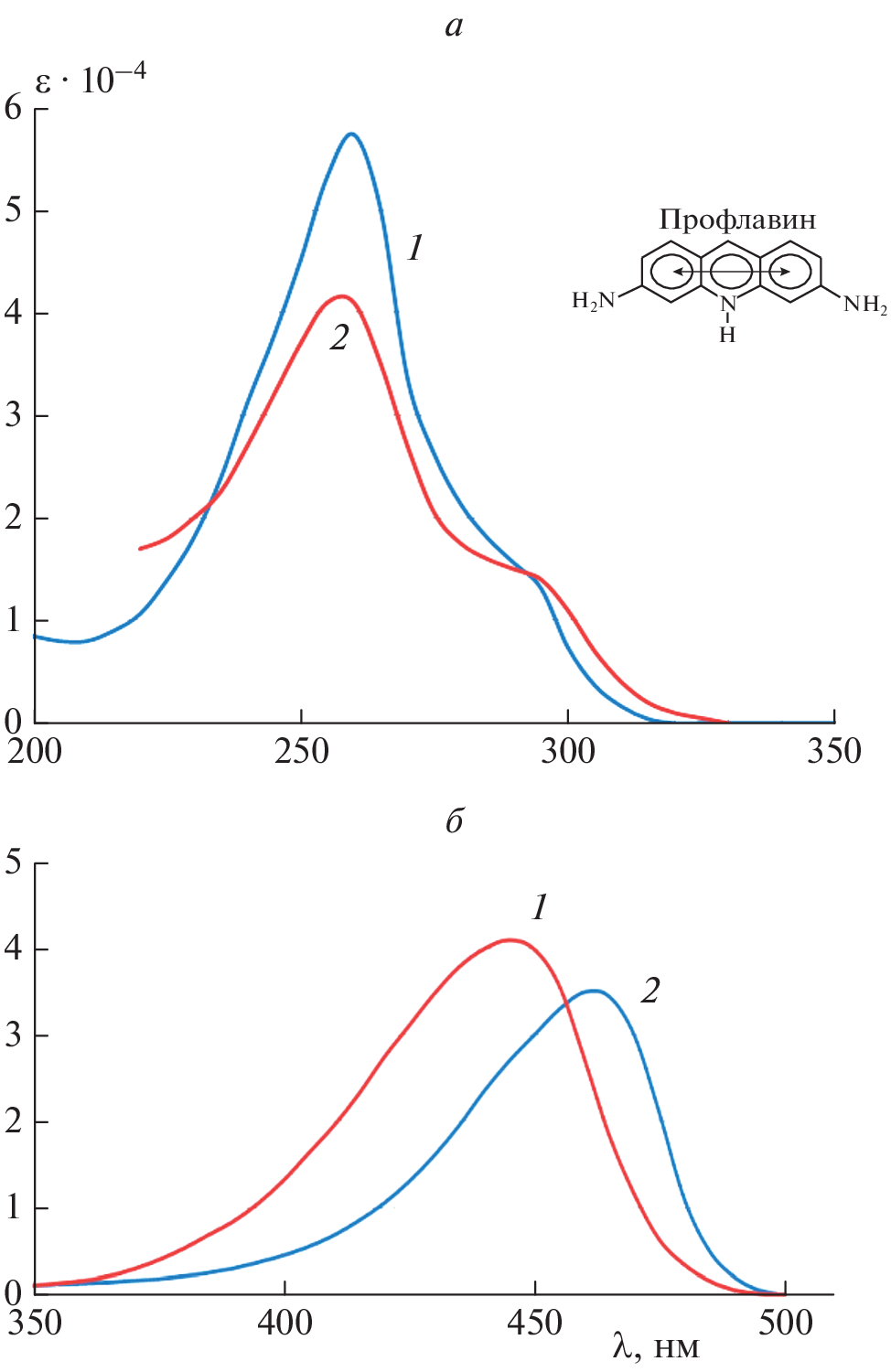
Профлавин (ПФ) – 2,6-диаминоакридин – является мутагеном и как один из красителей акридинового ряда способен образовывать комплексы с ДНК, что приводит как к появлению оптической активности в длинноволновой полосе поглощения красителя, так и к изменению оптической активности в УФ-области спектра, где наблюдается поглощение азотистых оснований ДНК. Экспериментальное исследование оптической активности в виде спектров кругового дихроизма (КД) показывает, что в видимой области спектра оптическая активность вызвана экситонным хромофор-хромофорным взаимодействием молекул красителя, образовавших комплекс с асимметричной спиральной молекулой ДНК. Появление дополнительного КД в УФ-области связано с экситонным взаимодействием коротковолновых оптических переходов молекул красителя с близкими по частотам УФ-переходами нуклеиновых оснований. Разложение спектров КД на компоненты позволяет выделить вклад от взаимодействия длинноволновых переходов красителя с коротковолновыми (УФ) переходами соседних хромофоров. В часности, обнаружен вклад от взаимодействия магнитного переходного момента хромофоров в высших колебательных состояниях с дипольными переходными моментами соседних хромофоров. Этот не описанный ранее эффект связан с нарушением плоскости симметрии ароматической системы красителя в высших колебательных состояниях, он отсутствует в области нулевой колебательной полосы. Построенная процедура разложения позволяет выделить из суммарных спектров КД вклады оптических взаимодействий, ранее описанных теоретически, что потенциально позволяет оценить геометрические параметры комплекса.
Ключевые слова
Об авторах
А. И. Полетаев
Федеральный исследовательский центр химической физикиим. Н.Н. Семёнова Российской академии наук
Автор, ответственный за переписку.
Email: aip45@mail.ru
Россия, Москва
Список литературы
- Crick F.H., Barnett L., Brenner S. et al. // Nature. 1961. V. 192. P. 1227; https://doi.org/10.1038/1921227a0
- Стовбун С.В., Занин А.М., Скоблин А.А. и др. // Хим. физика. 2019. Т. 38. № 5. С. 54; https://doi.org/10.1134/S0207401X19040113
- Полетаев А.И. // Итоги науки и техники. Сер. “Молекулярная биология”. Т. 8. Ч. II. М.: ВИНИТИ, 1976. С. 180.
- Пронкин П.Г, Татиколов А.С. // Хим. физика. 2021. Т. 40. № 2. С. 3; https://doi.org/10.31857/S0207401X2102014X
- Терешкин Э.В., Терешкина К.Б., Коваленко В.В. и др. // Хим. физика. 2019. Т. 8. № 10. С. 48; https://doi.org/10.1134/S0207401X19100091
- Крупянский Ю.Ф. // Хим. физика. 2021. Т. 40. № 3. С. 60; https://doi.org/10.31857/S0207401X21030079
- Lerman L.S. // J. Mol. Biol. 1961. V. 3. P. 18.
- Lerman L.S. // Proc. Nat. Acad. Sci. USA. 1963. V. 49. P. 94.
- Гурский Г.В. // Биофизика. 1966. V. 11. P. 737.
- Ivanov V.I., Minchenkova L.E., Scholkina A.K. et al. // Biopolymers. 1973. V. 12. P. 89; https://doi.org/10.1002/bip.1973.360120109
- Rosenfeld L. // Z. Physik. 1928. V. 52. P. 161.
- Снатске Г. // Дисперсия оптического вращения и круговой дихроизм в органической химии. М.: Мир, 1970. С. 45.
- Kirkwood J.G. // J. Chem. Phys. 1937. V. 5. P. 479; https://doi.org/10.1063/1.1750060
- Tinoco I. // Adv. Chem. Phys. 1962. V. 4. P. 113.
- Moffitt W. // J. Chem. Phys. 1956. V. 25. P. 467.
- Woody R.W., Tinoco I. // Ibid. 1967. V. 46. P. 4927; https://doi.org/10.1063/1.1840658
- Tinoco I. // Rad. Res. 1963. V. 20. P. 133.
- Johnson W.C., Tinoco I. // Biopolymers. 1969. V. 7. P. 727; https://doi.org/10.1002/bip.1969.360080603
- Макаров В.Л., Полетаев А.И., Волькенштейн М.В. // Молекуляр. биология. 1977. Т. 11. С. 238.
- Kamiya M. // Biochim. Biophys. Acta. 1979. V. 562. P. 70; https://doi.org/10.1016/0005-2787(79)90127-8
- Kypr J., Kejnovska I., Renciuk D. et al. // Nucleic Acids Res. 2009. V. 37. P. 1713; https://doi.org/10.1093/nar/gkp026
- Schreibe R., Luong N., Fan Z. et al. // Nat. Commun. 2013. V. 4. P. 2948; https://doi.org/10.1038/ncomms3948
- Wang X., Tang Z. // Small. 2017. V. 13. P. 1601115; https://doi.org/10.1002/smll.201601115
- Shin S.W., Yuk J.S., Chun S.H. et al. // Nano Converg. 2020. V. 7. P. 2; https://doi.org/10.1186/s40580-019-0211-4
- Zimmer Ch., Wähnert U. // Prog. Biophys. Molec. Biol. 1986. V. 47. P. 31; https://doi.org/10.1016/0079-6107(86)90005-2
- Макаров В.Л., Полетаев А.И., Свешников П.Г. и др. // Молекуляр. биология. 1979. Т. 13. С. 450.
- Moore D.S., Wagner N.T. // Biopolymers. 1973. V. 12. № 1. P. 201; https://doi.org/10.1002/BIP.1974.360130512
- Langridge R., Marvin D.F., Seeds W.E. et al. // J. Mol. Biol. 1960. V. 2. P. 38; https://doi.org/10.1016/S0022-2836(60)80005-8
- Fuller W., Wilkins M.H.F., Wilson Y.R. et al. // Ibid. 1965. V. 12. P. 60; https://doi.org/10.1016/s0022-2836(65)80282-0
- Теренин А.Н. Фотоника молекул красителей и родственных органических соединений Л.: Наука, 1967.
- Франк-Каменецкий М.Д., Лукашин А.В. // Оптика и спектроскопия. 1971. Т. 30. С. 481.
- Иванов А.А., Пурецкий А.А., Лукашин А.В. и др. // Письма в ЖЭТФ. 1971. Т. 14. С. 419.
- Иванов А.А., Пурецкий А.А., Лукашин А.В. и др. // Оптика и спектроскопия. 1972. Т. 32. С. 481.
- Пермогоров В.И. // Молекуляр. биология. 1973. Т. 7. С. 20.
- Dalgleish D.G., Fujita H., Peacocke A.R. // Biopolimers. 1969. V. 8. P. 623; https://doi.org/10.1002/BIP.1969.360080506
- Преч Э., Бюльманн Ф., Аффольтер К. Определение строения органических соединений. Таблицы спектральных данных. М.: Мир, 2006.
Дополнительные файлы







