Структура ламинарного пламени в бедных смесях водорода с воздухом
- Авторы: Тереза А.М.1, Агафонов Г.Л.1, Андержанов Э.К.1, Бетев А.С.1, Медведев С.П.1, Хомик С.В.1, Черепанова Т.Т.1
-
Учреждения:
- Федеральный исследовательский центр химической физики им. Н.Н. Семёнова, Российской академии наук
- Выпуск: Том 42, № 8 (2023)
- Страницы: 68-73
- Раздел: Горение, взрыв и ударные волны
- URL: https://ogarev-online.ru/0207-401X/article/view/139950
- DOI: https://doi.org/10.31857/S0207401X23080113
- EDN: https://elibrary.ru/IHJBMJ
- ID: 139950
Цитировать
Полный текст
Аннотация
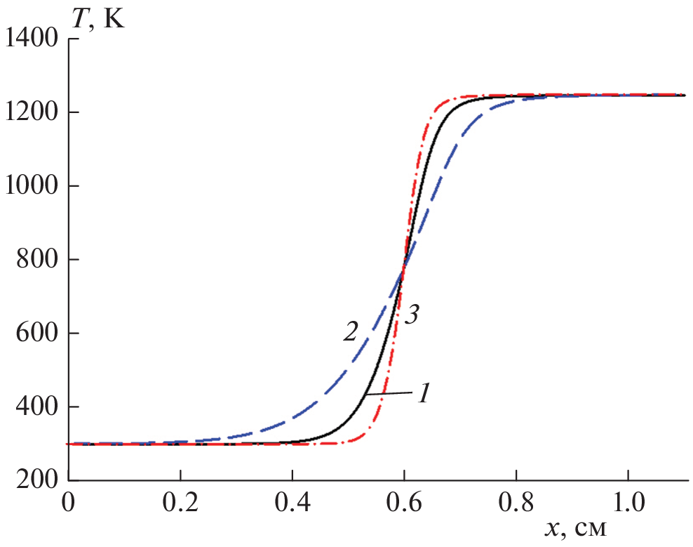
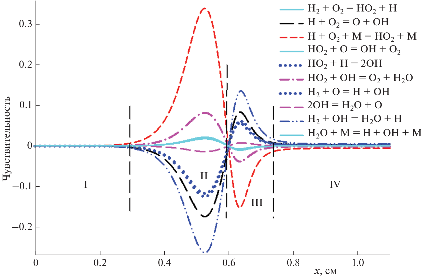
Проведены численное моделирование структуры и расчеты скорости распространения ламинарного пламени, SL, в бедной смеси водорода (12%) с воздухом при нормальных начальных условиях. Анализ профилей концентраций промежуточных продуктов показывает, что с ростом температуры происходит смена кинетического механизма, определяющего динамику тепловыделения. Таким образом, процесс тепловыделения в пламени состоит из двух этапов. В области максимального градиента температуры концентрации H2O2 и HO2 достигают пиковых значений. Последующая убыль содержаний H2O2 и HO2 сопровождается симбатным ростом концентраций H, O и OH. При изменении констант скоростей реакций, определяющих тепловыделение, изменяются скорость нарастания температуры и значение SL. Последнее наиболее чувствительно к реакции молекулярного водорода с гидроксилом с образованием воды.
Об авторах
А. М. Тереза
Федеральный исследовательский центр химической физики им. Н.Н. Семёнова, Российской академии наук
Email: tereza@chph.ras.ru
Россия, Москва
Г. Л. Агафонов
Федеральный исследовательский центр химической физики им. Н.Н. Семёнова, Российской академии наук
Email: tereza@chph.ras.ru
Россия, Москва
Э. К. Андержанов
Федеральный исследовательский центр химической физики им. Н.Н. Семёнова, Российской академии наук
Email: tereza@chph.ras.ru
Россия, Москва
А. С. Бетев
Федеральный исследовательский центр химической физики им. Н.Н. Семёнова, Российской академии наук
Email: tereza@chph.ras.ru
Россия, Москва
С. П. Медведев
Федеральный исследовательский центр химической физики им. Н.Н. Семёнова, Российской академии наук
Email: tereza@chph.ras.ru
Россия, Москва
С. В. Хомик
Федеральный исследовательский центр химической физики им. Н.Н. Семёнова, Российской академии наук
Email: tereza@chph.ras.ru
Россия, Москва
Т. Т. Черепанова
Федеральный исследовательский центр химической физики им. Н.Н. Семёнова, Российской академии наук
Автор, ответственный за переписку.
Email: tereza@chph.ras.ru
Россия, Москва
Список литературы
- Щетинков Е.С. Физика горения газов. М.: Наука, 1965.
- Франк-Каменецкий Д.А. Диффузия и теплопередача в химической кинетике. М.: Наука, 1987.
- Заманский В.М., Борисов А.А. // Итоги науки и техники. Сер. “Кинетика и катализ”. Т. 19. М.: ВИНИТИ, 1989.
- Abagyan A.A., Adamov E.O., Burlakov E.V. // Proc. IAEA Conf. (Intern.). IAEA-J4-TC972. Vienna, Austria: Springer, 1996. P. 46.
- Saji G. // Nuclear Engineering and Design. 2016. V. 307 P. 64; https://doi.org/10.1016/j.nucengdes.2016.01.039
- Raman K.S. Laminar burning velocities of lean hydrogen–air mixtures. Graduate Aeronautical Laboratories. Report FM97-15. Pasadena, CA: California Institute of Technology, 1998.
- Шебеко Ю.Н., Шебеко А.Ю. // Пожарная безопасность. 2014. № 2. С. 106.
- Азатян В.В., Андрианова З.С., Иванова А.Н., Карнаух А.А., Павлов В.А. // ЖФХ. 2015. Т. 89. № 10. С. 1553.
- Yakovenko I.S., Ivanov M.F., Kiverin A.D, Melnikova K.S. // Intern. J. Hydrogen Energy. 2018. V. 43. P. 1894.
- Volodin V.V., Golub V.V., Kiverin A.D. et al. // Combust. Sci. Tech. 2021. V. 193. Issue. 2. P. 225; https://doi.org/10.1080/00102202.2020.1748606
- Коробейничев O.П., Шмаков А.Г., Рыбицкая И.В. и др. // Кинетика и катализ. 2009. Т. 50. № 2. С. 170.
- Sanchez A.L., Williams F.A. // Progr. Energy Combust. Sci. 2014. V. 41. P. 1.
- Азатян В.В. // Кинетика и катализ. 2020. Т. 61. № 3. С. 291.
- Яковенко И.С., Медведков И.С., Киверин А.Д. // Хим. физика. 2022. Т. 41. № 3. С. 1.
- Hussaini M.Y., Kumar A., Voigt R.G. Major research topics in combustion. N.Y.: Springer, 1992; https://doi.org/10.1007/978-1-4612-2884-4
- Bradley D., Lawes M., Liu K., Verhelst S., Woolley R. // Combust. and Flame. 2007. V. 149. Issue. 1–2. P. 162.
- Kuznetsov M., Czerniak M., Grune J., Jordan, T. // Proc. Conf. (Intern.) of Hydrogen Safety. Brussels, Belgium: Springer, 2013. P. 1; http://www.ichs2013.com/images/papers/231.pdf
- Gai G., Kudriakov S., Rogg B. et al. // Intern. J. Hydrogen Energy. 2019. V. 44 (31). P.17015; https://doi.org/10.1016/j.ijhydene.2019.04.225
- Alekseev V. PhD. Theses. Lund, Sweden: Lunds Univ., 2015.
- Linteris G.T., Babushok V. // Proc. Combust. Inst. 2009. V. 32. P. 2535.
- Герасимов И Е., Князьков Д.А., Шмаков А.Г. и др. // Физика горения и взрыва. 2011. Т. 47. № 1. С. 3.
- Азатян В.В., Сайкова Г.Р., Балаян Г.В., Пугачев Д.В. // ЖФХ. 2015. Т. 89. № 3. С. 385.
- Коробейничев О.П., Шмаков А.Г., Шварцберг В.М. и др. // Хим. физика. 2021. Т. 40. № 5. С. 22.
- Большова Т.А., Коробейничев О.П. // Физика горения и взрыва. 2006. Т. 42. № 5. С. 3.
- CHEMKIN-Pro 15112. CK-TUT-10112-1112-UG-1. San Diego: Reaction Design, 2011.
- Keromnes A., Metcalfe W.K., Heufer K.A. et al. // Combust. and Flame. 2013. V. 160. P. 995.
- Власов П.А., Смирнов В.Н., Тереза А.М. // Хим. физика. 2016. Т. 35. № 6. С. 35.
- Тереза А.М., Агафонов Г.Л., Андержанов Э.К. и др. // Хим. физика. 2022. Т. 41. № 8. С. 66.
- Goos E., Burcat A., Ruscic B. Rep. ANL 05/20, TAE 960. 2016; http://garfield.chem.elte.hu/Burcat/burcat. html
- Yakovenko I., Kiverin A., Melnikova K. // Fluids. 2021. V. 6. P. 21.
- Семёнов Н.Н. Цепные реакции. М.: Госхимтехиздат, 1934.
Дополнительные файлы






