Энергетический барьер фотоиндуцированного разделения зарядов в реакционных центрах фотосистем 1 и 2
- Авторы: Черепанов Д.А.1,2, Милановский Г.Е.2, Надточенко В.А.1,3, Семёнов А.Ю.1,2
-
Учреждения:
- Федеральный исследовательский центр химической физики им. Н.Н. Семёнова Российской академии наук
- Научно-исследовательский институт физико-химической биологии им. А.Н. Белозерского, Московского государственного университета им. М.В. Ломоносова
- Московский государственный университет им. М.В. Ломоносова
- Выпуск: Том 42, № 6 (2023)
- Страницы: 88-94
- Раздел: К 100-ЛЕТИЮ СО ДНЯ РОЖДЕНИЯ АКАДЕМИКА В.И. ГОЛЬДАНСКОГО
- URL: https://ogarev-online.ru/0207-401X/article/view/139910
- DOI: https://doi.org/10.31857/S0207401X23060043
- EDN: https://elibrary.ru/UHDNDJ
- ID: 139910
Цитировать
Полный текст
Аннотация
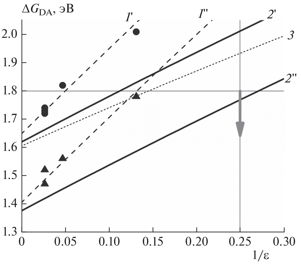
В работе анализируется энергетика реакций фотоиндуцированного разделения зарядов между близкорасположенными молекулами хлорофилла (Хл) и феофитина (Фео). Реакционные центры фотосистем (ФС) 1 и 2 включают в себя три пары спектрально-сходных порфириновых кофакторов, структура которых допускает возможность реализации альтернативных механизмов первичного разделения зарядов. Рассматривается континуальная модель образования ион-радикальных пар в диэлектрическом окружении, основанная на рассчитанных ab initio парциальных зарядах. Модель описывает экспериментальную зависимость среднеточечных редокс-потенциалов Хл и Фео в растворах с различной диэлектрической проницаемостью. В рамках этой модели определена энергия образования первичных ион-радикальных пар для обсуждаемых в литературе альтернативных механизмов разделения зарядов в ФС 1 и ФС 2. В рассматриваемом приближении в ФС 2 первичное разделение зарядов между мономером Хл (ХлD1) и Фео (ФеоD1) является единственным энергетически допустимым механизмом. Отсутствие Фео в аналогичной позиции в реакционном центре ФС 1 приводит к тому, что в этом комплексе мономер Хл не может выступать в качестве первичного донора электрона. Стабилизация первичной ион-радикальной пары в ФС 1 может происходить за счет делокализации электронной плотности в димере специальной пары молекул Хл (Р700) и гетеродимере молекул Хл, образующих первичный акцептор А0.
Ключевые слова
Об авторах
Д. А. Черепанов
Федеральный исследовательский центр химической физики им. Н.Н. Семёнова Российской академии наук; Научно-исследовательский институт физико-химической биологии им. А.Н. Белозерского,Московского государственного университета им. М.В. Ломоносова
Email: tscherepanov@gmail.com
Россия, Москва; Россия, Москва
Г. Е. Милановский
Научно-исследовательский институт физико-химической биологии им. А.Н. Белозерского,Московского государственного университета им. М.В. Ломоносова
Email: tscherepanov@gmail.com
Россия, Москва
В. А. Надточенко
Федеральный исследовательский центр химической физики им. Н.Н. Семёнова Российской академии наук; Московский государственный университет им. М.В. Ломоносова
Email: tscherepanov@gmail.com
Россия, Москва; Россия, Москва
А. Ю. Семёнов
Федеральный исследовательский центр химической физики им. Н.Н. Семёнова Российской академии наук; Научно-исследовательский институт физико-химической биологии им. А.Н. Белозерского,Московского государственного университета им. М.В. Ломоносова
Автор, ответственный за переписку.
Email: tscherepanov@gmail.com
Россия, Москва; Россия, Москва
Список литературы
- Медведев Э.С., Котельников А.И., Горячев Н.С. и др. // Хим. физика. 2011. Т. 30. № 3. С. 71.
- Schenderlein M., Çetin M., Barber J. et al. // Biochim. Biophys. Acta-Bioenerg. 2008. V. 1777. № 11. P. 1400; https://doi.org/10.1016/j.bbabio.2008.08.008
- Gorka M., Charles P., Kalendra V. et al. // iScience. 2021. V. 24. № 7. P. 102719; https://doi.org/10.1016/j.isci.2021.102719
- Chauvet A., Dashdorj N., Golbeck J.H. et al. // J. Phys. Chem. B. 2012. V. 116. № 10. P. 3380; https://doi.org/10.1021/jp211246a
- Cherepanov D.A., Shelaev I. V., Gostev F.E. et al. // Photochem. Photobiol. Sci. 2021. V. 20. № 9. P. 1209; https://doi.org/10.1007/s43630-021-00094-y
- Shuvalov V.A. // Biochim. Biophys. Acta-Bioenerg. 1976. V. 430. № 1. P. 113; https://doi.org/10.1016/0005-2728(76)90227-9
- Savikhin S. Photosystem I. Advances in Photosynthesis and Respiration. V. 24 / Ed. Golbeck J.H. Dordrecht: Springer, 2006. P. 155; https://doi.org/10.1007/978-1-4020-4256-0_12
- Shelaev I.V., Gostev F.E., Mamedov M.D. et al. // Biochim. Biophys. Acta-Bioenerg. 2010. V. 1797. № 8. P. 1410; https://doi.org/10.1016/j.bbabio.2010.02.026
- Gorka M., Baldansuren A., Malnati A. et al. // Front. Microbiol. 2021. V. 12. P. 2776; https://doi.org/10.3389/fmicb.2021.735666
- Cherepanov D.A., Shelaev I. V., Gostev F.E. et al. // Biochim. Biophys. Acta-Bioenerg. 2017. V. 1858. № 11. P. 895; https://doi.org/10.1016/j.bbabio.2017.08.008
- Plato M., Krauß N., Fromme P., Lubitz W. // Chem. Phys. 2003. V. 294. № 3. P. 483; https://doi.org/10.1016/S0301-0104(03)00378-1
- Artiukhin D.G., Eschenbach P., Neugebauer J. // J. Phys. Chem. B. 2020. V. 124. № 24. P. 4873; https://doi.org/10.1021/acs.jpcb.0c02827
- Müller M.G., Niklas J., Lubitz W., Holzwarth A.R. // Biophys. J. 2003. V. 85. № 6. P. 3899; https://doi.org/10.1016/s0006-3495(03)74804-8
- Molotokaite E., Remelli W., Casazza A.P. et al. // J. Phys. Chem. B. 2017. V. 121. № 42. P. 9816; https://doi.org/10.1021/acs.jpcb.7b07064
- Климов В.В., Аллахвердиев С.И., Деметер Ш., Красновский А.А. // Докл. АН СССР. 1979. Т. 49. С. 227.
- Tomo T., Allakhverdiev S.I., Mimuro M. // J. Photochem. Photobiol., B. 2011. V. 104. № 1–2. P. 333; https://doi.org/10.1016/j.jphotobiol.2011.02.017
- Кувыкин И.В., Вершубский А.В., Тихонов А.Н. // Хим. физика. 2009. Т. 28. № 4. С. 63.
- Nadtochenko V.A., Shelaev I. V., Mamedov M.D. et al. // Biochem. 2014. V. 79. № 3. P. 197; https://doi.org/10.1134/S0006297914030043
- Raszewski G., Saenger W., Renger T. // Biophys. J. 2005. V. 88. № 2. P. 986; https://doi.org/10.1529/biophysj.104.050294
- Novoderezhkin V.I., Romero E., Dekker J.P., Van Grondelle R. // Chem. Phys. Chem. 2011. V. 12. № 3. P. 681; https://doi.org/10.1002/cphc.201000830
- Frisch M.J., Trucks G.W., Schlegel H.B., Scuseria G.E., Robb M.A., Cheeseman J.R., Scalmani G., Barone V., Petersson G.A., Nakatsuji H., Li X., Caricato M., Marenich A.V., Bloino J., Janesko B.G., Gomperts R., Mennucci B., Hratchian H.P., Ortiz J.V., Izmaylov A.F., Sonnenberg J.L., Williams-Young D., Ding F., Lipparini F., Egidi F., Goings J., Peng B., Petrone A., Henderson T. // Gaussian. 16. Rev. C. 01. Wallingford CT: Gaussian Inc., 2016.
- Parr R.G., Weitao Y. Density-Functional Theory of Atoms and Molecules. N.Y.: Oxford Academic, 1995; https://doi.org/10.1093/OSO/9780195092769.003.0005
- Jordan P., Fromme P., Witt H.T. et al. // Nature. 2001. V. 411. № 6840. P. 909; https://doi.org/10.1038/35082000
- Britt R.D., Marchiori D.A. // Science. 2019. V. 366. № 6463. P. 305; https://doi.org/10.1126/science.aaz4522
- Henderson T.M., Izmaylov A.F., Scalmani G., Scuseria G.E. // J. Chem. Phys. 2009. V. 131. № 4. P. 044 108; https://doi.org/10.1063/1.3185673
- Черепанов Д.А., Милановский Г.Е., Айбуш А.В., Надточенко В.А. // Хим. физика. 2023.
- Lu T., Chen F. // J. Comput. Chem. 2012. V. 33. № 5. P. 580; https://doi.org/10.1002/jcc.22885
- Rocchia W., Alexov E., Honig B. // J. Phys. Chem. B. 2001. V. 105. № 28. P. 6507; https://doi.org/10.1021/jp010454y
- Vauthey E. // Chem. Phys. Chem. 2012. V. 13. № 8. P. 2001; https://doi.org/10.1002/cphc.201200106
- Kellogg M., Akil A., Muthiah Ravinson D.S. et al. // Faraday Discuss. 2019. V. 216. P. 379; https://doi.org/10.1039/c8fd00201k
- Krishtalik L.I. // Biochim. Biophys. Acta-Bioenerg. 2011. V. 1807. № 11. P. 1444; https://doi.org/10.1016/J.BBABIO.2011.07.002
- Хохлова С.С., Михайлова В.А., Иванов А.И. // Хим. физика. 2007. Т. 26. № 7. С. 27.
- Ptushenko V.V., Cherepanov D.A., Krishtalik L.I., Semenov A.Y. // Photosynth. Res. 2008. V. 97. № 1. P. 55; https://doi.org/10.1007/s11120-008-9309-y
- Lebedev A.Y., Filatov M.A., Cheprakov A.V., Vinogradov S.A. // J. Phys. Chem. A. 2008. V. 112. № 33. P. 7723; https://doi.org/10.1021/jp8043626
- Sazanovich I.V., Galievsky V.A., Van Hoek A. et al. // J. Phys. Chem. B. 2001. V. 105. № 32. P. 7818; https://doi.org/10.1021/jp010274o
- Röder B., Büchner M., Rückmann I., Senge M.O. // Photochem. Photobiol. Sci. 2010. V. 9. № 8. P. 1152; https://doi.org/10.1039/c0pp00107d
- Wasielewski M.R., Smith R.L., Kostka A.G. // J. Amer. Chem. Soc. 1981. V. 102. № 23. P. 358; https://doi.org/10.1021/JA00543A004/ASSET/JA00-543A004.FP.PNG_V03
- Kobayashi M., Ohashi S., Iwamoto K. et al. // Biochim. Biophys. Acta-Bioenerg. 2007. V. 1767. № 6. P. 596; https://doi.org/10.1016/j.bbabio.2007.02.015
- Saji T., Bard A.J. // J. Amer. Chem. Soc. 1977. V. 99. № 7. P. 2235; https://doi.org/10.1021/ja00449a034
Дополнительные файлы




