Conversion of Wood Gasification Products by the Method of Partial Oxidation with Air
- Authors: Kislov V.M.1, Tsvetkova Y.Y.1, Pilipenko E.N.1, Repina M.A.2, Salganskaya M.V.1
-
Affiliations:
- Institute of Problems of Chemical Physics, Russian Academy of Sciences, Chernogolovka, Russia
- Sakhalin State University, Yuzhno-Sakhalinsk, Russia
- Issue: Vol 42, No 3 (2023)
- Pages: 16-22
- Section: Combustion, explosion and shock waves
- URL: https://ogarev-online.ru/0207-401X/article/view/139890
- DOI: https://doi.org/10.31857/S0207401X2303007X
- EDN: https://elibrary.ru/LYHAIU
- ID: 139890
Cite item
Full Text
Abstract
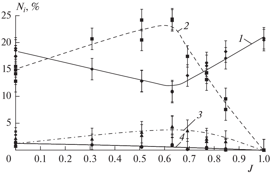
Various methods for obtaining a combustible gas with a low tar content during the gasification of wood in superadibatic regimes are experimentally investigated: by adding catalysts to the gasified fuel (1), oxidative conversion of wood gasification products (2), and a combination of these two methods. It is established that the conversion of products of the catalytic gasification of wood makes it possible to obtain a tar-free combustible gas, which can be used in power engineering, but is unsuitable for chemical synthesis.
Keywords
About the authors
V. M. Kislov
Institute of Problems of Chemical Physics, Russian Academy of Sciences, Chernogolovka, Russia
Email: vmkislov@icp.ac.ru
Россия, Черноголовка
Yu. Yu. Tsvetkova
Institute of Problems of Chemical Physics, Russian Academy of Sciences, Chernogolovka, Russia
Email: vmkislov@icp.ac.ru
Россия, Черноголовка
E. N. Pilipenko
Institute of Problems of Chemical Physics, Russian Academy of Sciences, Chernogolovka, Russia
Email: vmkislov@icp.ac.ru
Россия, Черноголовка
M. A. Repina
Sakhalin State University, Yuzhno-Sakhalinsk, Russia
Email: vmkislov@icp.ac.ru
Россия, Южно-Сахалинск
M. V. Salganskaya
Institute of Problems of Chemical Physics, Russian Academy of Sciences, Chernogolovka, Russia
Author for correspondence.
Email: vmkislov@icp.ac.ru
Россия, Черноголовка
References
- Heidenreich S., Foscolo P.U. // Prog. Energy Combust. Sci. 2015. V. 46. P. 72; https://doi.org/10.1016/j.pecs.2014.06.002
- Sansaniwal S.K., Pal K., Rosen M.A., Tyagi S.K. // Renewable Sustainable Energy Rev. 2017. V. 72. P. 363; https://doi.org/10.1016/j.rser.2017.01.038
- Watson J., Zhang Y., Si B., Chen W. T., Souza R. // Ibid. 2018. V. 83. P. 1; https://doi.org/10.1016/j.rser.2017.10.003
- Orihuela M.P., Espinoza L., Ripoll N., Chacartegui R., Toledo M. // Energy Convers. Manage. 2021. V. 233. P. 113 901; https://doi.org/10.1016/j.enconman.2021.113901
- Кислов В.М., Цветков М.В., Зайченко А.Ю., Подлесный Д.Н., Салганский Е.А. // Хим. физика. 2021. Т. 40. № 9. С. 27; https://doi.org/10.31857/S0207401X21090053
- Woolcock P.J., Brown R.C. // Biomass Bioenergy. 2013. V. 52. P. 54; https://doi.org/10.1016/j.biombioe.2013.02.036
- Asadullah M. // Renewable Sustainable Energy Rev. 2014. V. 40. P. 118; https://doi.org/10.1016/j.rser.2014.07.132
- David E., Kopač J. // Renewable Energy. 2021. T. 171. P. 1290; https://doi.org/10.1016/j.renene.2021.02.110
- Chen Y., Wang Y., Pezzola L., Mussi R., Bromberg L. et al. // Biomass Bioenergy. 2021. V. 149. P. 106085; https://doi.org/10.1016/j.biombioe.2021.106085
- Yu J., Guo Q., Gong Y. et al. // Fuel Process. Technol. 2021. V. 214. P. 106723; https://doi.org/10.1016/j.fuproc.2021.106723
- Xie Q., Kong S., Liu Y., Zeng H. // Bioresour. Technol. 2012. V. 110. P. 603; https://doi.org/10.1016/j.biortech.2012.01.028
- Ren J., Cao J.P., Zhao X.Y., Yang F.L., Wei X.Y. // Renewable Sustainable Energy Rev. 2019. V. 116. P. 109 426; https://doi.org/10.1016/j.rser.2019.109426
- Ren J., Liu Y.L., Zhao X.Y., Cao J.P. // J. Energy Inst. 2020. V. 93. P. 1083. https://doi.org/10.1016/j.joei.2019.10.003
- Kan T., Strezov V., Evans T. et al. // Renewable Sustainable Energy Rev. 2020. V. 134. P. 110 305. https://doi.org/10.1016/j.rser.2020.110305
- Салганский Е.А., Цветков М.В., Зайченко А.Ю., Подлесный Д.Н., Седов И.В. // Хим. физика. 2021. Т. 40. № 11. С. 14; https://doi.org/10.31857/S0207401X2111008X
- Цветков М.В., Кислов В.М., Цветкова Ю.Ю. и др. // Хим. физика. 2022. Т. 41. № 8. С. 93; https://doi.org/10.31857/S0207401X22080143
- Podlesniy D., Zaichenko A., Tsvetkov M., Salganskaya M., Chub A., Salgansky E. // Fuel. 2021. V. 298. P. 120 862; https://doi.org/10.1016/j.fuel.2021.120862
- Зайченко А.Ю., Подлесный Д.Н., Цветков М.В., Салганская М.В., Чуб А.В. // ЖПХ. 2019. Т. 92. № 2. С. 245; https://doi.org/10.1134/S0044461819020166
- Тереза А.М., Агафонов Г.Л., Андержанов Э.К. и др. // Хим. физика. 2020. Т. 39. № 8. С. 58; https://doi.org/10.31857/S0207401X20080129
- Тереза А.М., Агафонов Г.Л., Андержанов Э.К., Медведев С.П. // Хим. физика. 2021. Т. 40. № 8. С. 56; https://doi.org/10.31857/S0207401X21080136
- Тереза А.М., Агафонов Г.Л., Андержанов Э.К. и др. // Хим. физика. 2021. Т. 40. № 12. С. 29; https://doi.org/10.31857/S0207401X21120141
- Su Y., Luo Y., Chen Y., Wu W., Zhang Y. // Fuel Process. Technol. 2011. V. 92. P. 1513. https://doi.org/10.1016/j.fuproc.2011.03.013
- Ahrenfeldt J., Egsgaard H., Stelte W., Thomsen T., Henriksen U.B. // Fuel. 2013. V. 112. P. 662; https://doi.org/10.1016/j.fuel.2012.09.048
- Zhao S., Luo Y., Zhang Y., Long Y. // J. Anal. Appl. Pyrolysis. 2015. V. 112. P. 262; https://doi.org/10.1016/j.jaap.2015.01.016
- Кислов В.М., Салганский Е.А., Цветков М.В., Цветкова Ю.Ю. // ЖПХ. 2017. Т. 90. № 5. С. 579.
- Глазов С.В., Кислов В.М., Размыслов А.В., Салганская М.В. // ЖПХ. 2019. Т. 92. № 7. С. 927; https://doi.org/10.1134/S0044461819070156
- Кислов В.М., Глазов С.В., Салганская М.В., Пилипенко Е.Н., Цветкова Ю.Ю. // ЖПХ. 2021. Т. 94. № 3. С. 363; https://doi.org/10.31857/S0044461821030117
- Кислов В.М., Глазов С.В., Салганский Е.А., Колесникова Ю.Ю., Салганская М.В. // Физика горения и взрыва. 2016. Т. 52. № 3. С.72; https://doi.org/10.15372/FGV20160310
- Salgansky E.A., Kislov V.M., Glazov S.V., Salganskaya M.V. // J. Combust. 2016. V. 2016. P. 9637082; https://doi.org/10.1155/2016/9637082
Supplementary files







