Cyanomethyl-Substituted Furazanoazepines: Synthesis, Structure, Enthalpy of Formation, and Ballistic Efficiency
- Авторлар: Lempert D.B.1, Ignatieva E.L.1, Stepanov A.I.2, Dashko D.V.2, Kazakov A.I.1, Nabatova A.V.1, Shilov G.V.1, Utenyshev A.N.1, Aldoshin S.M.1
-
Мекемелер:
- Federal Research Center of Problems of Chemical Physics and Medicinal Chemistry, Russian Academy of Sciences
- Special Design and Technological Bureau “Technolog”
- Шығарылым: Том 42, № 5 (2023)
- Беттер: 11-19
- Бөлім: Combustion, explosion and shock waves
- URL: https://ogarev-online.ru/0207-401X/article/view/139887
- DOI: https://doi.org/10.31857/S0207401X23050060
- EDN: https://elibrary.ru/GDFSCE
- ID: 139887
Дәйексөз келтіру
Толық мәтін
Аннотация
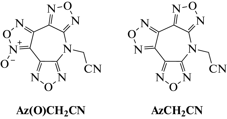
7-Cyanomethyl-7Н-difurazano[3,4-b:3′,4′-f]furoxano[3″,4″-d]azepine (Az(O)CH2CN) and 7-cyanomethyl-7Н-trifurazano[3,4-b:3′,4′-d:3″,4″-f]azepine (AzCH2CN) are synthesized for the first time as potential dispersants of solid fuels for gas generator engines; their molecular structure, enthalpies of combustion, and formation are determined; and the relative aircraft flight range is estimated when using Az(O)CH2CN and AzCH2CN as fuel dispersants.
Авторлар туралы
D. Lempert
Federal Research Center of Problems of Chemical Physics and Medicinal Chemistry, Russian Academy of Sciences
Email: lempert@icp.ac.ru
142432, Chernogolovka, Russia
E. Ignatieva
Federal Research Center of Problems of Chemical Physics and Medicinal Chemistry, Russian Academy of Sciences
Email: lempert@icp.ac.ru
142432, Chernogolovka, Russia
A. Stepanov
Special Design and Technological Bureau “Technolog”
Email: lempert@icp.ac.ru
192076, St. Petersburg, Russia
D. Dashko
Special Design and Technological Bureau “Technolog”
Email: lempert@icp.ac.ru
192076, St. Petersburg, Russia
A. Kazakov
Federal Research Center of Problems of Chemical Physics and Medicinal Chemistry, Russian Academy of Sciences
Email: lempert@icp.ac.ru
142432, Chernogolovka, Russia
A. Nabatova
Federal Research Center of Problems of Chemical Physics and Medicinal Chemistry, Russian Academy of Sciences
Email: lempert@icp.ac.ru
142432, Chernogolovka, Russia
G. Shilov
Federal Research Center of Problems of Chemical Physics and Medicinal Chemistry, Russian Academy of Sciences
Email: lempert@icp.ac.ru
142432, Chernogolovka, Russia
A. Utenyshev
Federal Research Center of Problems of Chemical Physics and Medicinal Chemistry, Russian Academy of Sciences
Email: lempert@icp.ac.ru
142432, Chernogolovka, Russia
S. Aldoshin
Federal Research Center of Problems of Chemical Physics and Medicinal Chemistry, Russian Academy of Sciences
Хат алмасуға жауапты Автор.
Email: lempert@icp.ac.ru
142432, Chernogolovka, Russia
Әдебиет тізімі
- Klapötke T.M. Chemistry of High-Energy Materials. 3rd ed. Berlin: De Gruyter, 2015.
- Churakov A.M., Ioffe S.L., Tartakovsky V.A. // Mendeleev Commun. 1995. V. 5. № 6. P. 227; https://doi.org/10.1070/MC1995v005n06ABEH000539
- Klenov M.S., Guskov A.A., Anikin O.V. et al. // Angew. Chem. Intern. Ed. 2016. V. 55. № 38. P. 11472; https://doi.org/10.1002/anie.201605611
- Sheremetev A.B., Kulagina V.O., Aleksandrova N.S. et al. // Propellants Explos. Pyrotech. 1998. V. 23. P. 142.
- Chavez D.E. Topics in Heterocyclic Chemistry. / Eds. Larionov O.V. Berlin: Springer, 2017. V. 53. P. 1; https://doi.org/10.1007/7081_2017_5
- Churakov A.M., Ioffe S.L., Tartakovsky V.A. // Mendeleev Commun. 1996. V. 6. № 1. P. 20; https://doi.org/10.1070/MC1996v006n01ABEH000560
- Wei H., Gao H., Shreeve J.M. // Chem. Eur. J. 2014. V. 20. № 51. P. 16943; https://doi.org/10.1002/chem.201405122
- Chavez D.E., Parrish D.A., Mitchell L., Imler G.H. // Angew. Chem., Intern. Ed. 2017. V. 56. № 13. P. 3575; https://doi.org/10.1002/anie.201612496
- Степанов А.И., Астратьев А.А, Дашко Д.В. и др. // Изв. АН. Сер. хим. 2012. № 5. С. 1019.
- Astrat′ev A.A., Dashko D.V., Stepanov A.I. // Cent. Eur. J. Chem. 2012. V. 10. № 4. P. 1087; https://doi.org/10.2478/s11532-012-0020-7
- Stepanov A.I., Dashko D.V., Astrat′ev A.A. // Cent. Eur. J. Energetic Mater. 2012. V. 9. № 4. P. 329.
- Лемперт Д.Б., Казаков А.И., Санников В.С. и др. // Физика горения и взрыва. 2019. Т. 55. № 2. С. 29; https://doi.org/10.15372/FGV20190203
- Яновский Л.С., Лемперт Д.Б., Разносчиков В.В., Аверьков И.С. // Журн. прикл. химии 2019. Т. 92. № 3. С. 322; https://doi.org/10.1134/S0044461819030071
- Лемперт Д.Б., Игнатьева Е.Л., Степанов А.И. и др. // Хим. физика. 2023. Т. 42. № 2.
- Sheldrick G.M. // Acta Crystallog. C. 2015. V. 71. Part 1. P. 3; https://doi.org/10.1107/S2053229614024218
- Leonov N.E., Semenov S.E., Klenov M.S. et al. // Mendeleev Commun. 2021. V. 31. № 6. P. 789; https://doi.org/10.1016/j.mencom.2021.11.006
- Гудкова И.Ю., Зюзин И.Н., Лемперт Д.Б. // Хим. физика. 2020. Т. 39. № 3. С. 53; https://doi.org/10.31857/S0207401X20030061
- Волохов В.М., Зюбина Т.С., Волохов А.В. и др. // Хим. физика. 2021. Т. 40. № 1. С. 3; https://doi.org/10.31857/S0207401X21010131
- Гудкова И.Ю., Зюзин И.Н., Лемперт Д.Б. // Хим. физика. 2022. Т. 41. № 1. С. 34; https://doi.org/10.31857/S0207401X2201006X
Қосымша файлдар







