Математическая модель зажигания частицы гелеобразного топлива в высокотемпературной воздушной среде
- Авторы: Глушков Д.О.1, Паушкина К.К.1, Плешко А.О.1
-
Учреждения:
- Национальный исследовательский Томский политехнический университет
- Выпуск: Том 42, № 2 (2023)
- Страницы: 37-48
- Раздел: Горение, взрыв и ударные волны
- URL: https://ogarev-online.ru/0207-401X/article/view/139867
- DOI: https://doi.org/10.31857/S0207401X23020073
- EDN: https://elibrary.ru/IWPQCU
- ID: 139867
Цитировать
Полный текст
Аннотация
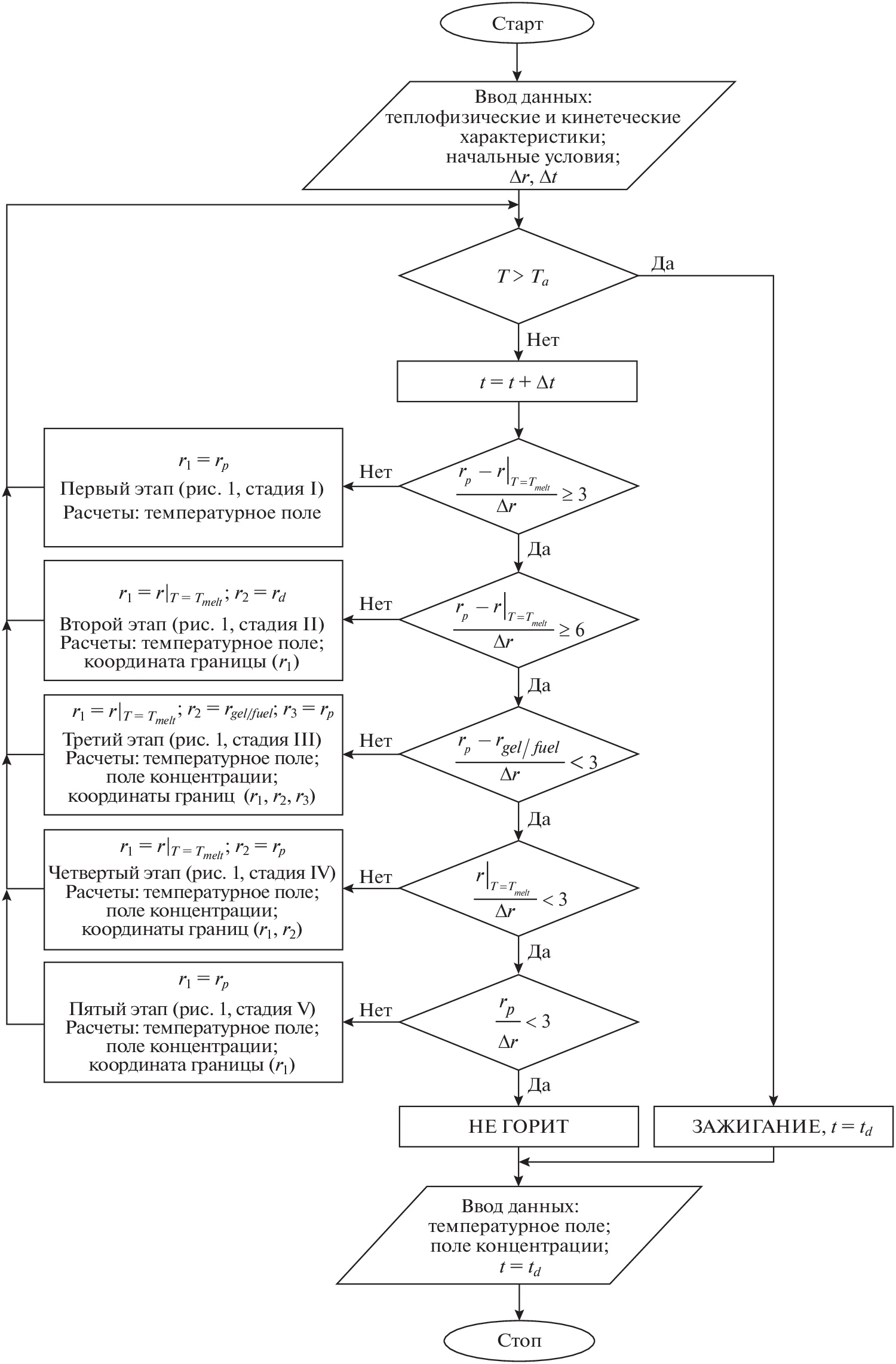
По результатам ранее выполненных экспериментальных исследований в рамках математического аппарата механики сплошной среды и теории химической кинетики разработана математическая модель зажигания горючей частицы типичного гелеобразного топлива на основе органического полимерного загустителя в разогретом воздухе. Она описывает процесс, соответствующий предельному режиму, при котором характерные времена прогрева топлива и формирующейся парогазовой смеси много больше характерных времен химического реагирования горючего и окислителя в газовой среде. Удовлетворительные результаты верификации математической модели и алгоритма численного решения позволили сделать вывод о возможности применения разработанного подхода для достаточно достоверного прогнозирования характеристик зажигания рассматриваемого класса гелеобразных топлив. Для одиночных частиц гелеобразного топлива размерами 0.25–2.00 мм, нагреваемых в воздушной среде при температурах 750–1473 К, времена задержки воспламенения составляют от 0.3 до 10.0 с.
Об авторах
Д. О. Глушков
Национальный исследовательский Томский политехнический университет
Email: kkp1@tpu.ru
Россия, Томск
К. К. Паушкина
Национальный исследовательский Томский политехнический университет
Email: kkp1@tpu.ru
Россия, Томск
А. О. Плешко
Национальный исследовательский Томский политехнический университет
Автор, ответственный за переписку.
Email: kkp1@tpu.ru
Россия, Томск
Список литературы
- Mishra D.P., Patyal A., Padhwal M. // Fuel. 2011. V. 90. № 5. P. 1805.
- Solomon Y., Natan B., Cohen Y. // Combust. and Flame. 2009. V. 156. № 1. P. 261.
- Vershinina K.Y., Glushkov D.O., Nigay A.G. et al. // Ind. Eng. Chem. Res. 2019. V. 58. № 16. P. 6830.
- Rapp D.C., Zurawski R.L. // Pros. 24th Joint Propulsion Conf. Boston, Massachusetts, USA: American Institute of Aeronautics and Astronautics, 1988. P. 1.
- Hodge K.F., Crofoot T.A., Nelson S. // Pros. 35th Joint Propulsion Conf. Reston, Virigina, USA: American Institute of Aeronautics and Astronautics, 1999. P. 1.
- Varma M., Pein R. // Intern. J. Energ. Mater. Chem. Propuls. 2009. V. 8. № 6. P. 501.
- Caldas Pinto P., Hopfe N., Ramsel J. et al. // Pros. 7th Europ. conf. for aeronautics and space sciences (EUCASS). Milan, Italy: EUCASS association, 2017. P. 1.
- Hassid S., Natan B. // J. Propuls. Power. 2013. V. 29. № 6. P. 1337.
- Nave O., Bykov V., Gol’Dshtein V. et al. // Fuel. 2011. V. 90. № 11. P. 3410.
- He B., Nie W., Feng S. et al. // Propellants, Explos. Pyrotech. 2013. V. 38. № 5. P. 665.
- Guan H.-S., Li G.-X., Zhang N.-Y. // Acta Astronaut. 2018. V. 144. P. 119.
- Jyoti B.V.S., Naseem M.S., Baek S.W. et al. // Combust. and Flame. 2017. V. 183. P. 102.
- von Kampen J., Alberio F., Ciezki H.K. // Aerosp. Sci. Technol. 2007. V. 11. № 1. P. 77.
- Лемперт Д.Б., Казаков А.И., Дорофеенко Е.М. и др. // Хим. физика. 2020. Т. 39. № 7. С. 17.
- Glushkov D.O., Kuznetsov G. V., Nigay A.G. et al. // J. Energy Inst. 2019. V. 92. № 6. P. 1944.
- Glushkov D.O., Nigay A.G., Yanovsky V.A. et al. // Energy and Fuels. 2019. V. 33. № 11. P. 11812.
- Glushkov D.O., Pleshko A.O., Yashutina O.S. // Intern. J. Heat Mass Transf. 2020. V. 156. P. 119895.
- Glushkov D.O., Kuznetsov G.V., Nigay A.G. et al. // Powder Technol. 2020. V. 360. P. 65.
- Глушков Д.О., Кузнецов Г.В., Стрижак П.А. // Хим. физика. 2014. Т. 33. № 4. С. 38.
- Glushkov D.O., Paushkina K.K., Pleshko A.O. et al. // Fuel. 2022. V. 313. P. 123024.
- Reid R.C., Sherwood T.K., Street R.E. // Phys. Today. 1959. V. 12. № 4. P. 38.
- Юренев В.Н., Лебедев П.Д. Теплотехнический справочник. Т. 1. М.: Энергия, 1975.
- Варгафтик Н.Б. Справочник по теплофизическим свойствам газов и жидкостей. М.: ООО “Старс”, 2006.
- Штехер М.С. Топлива и рабочие тела ракетных двигателей. М.: Машиностроение, 1976.
- Щетинков Е.С. Физика горения газов. М.: Наука, 1965.
- Глушков Д.О., Кузнецов Г.В., Стрижак П.А. и др. Гелеобразные топлива: приготовление, реология, распыление, горение. Новосибирск: СО РАН, 2020.
- Вершинина К.Ю., Глушков Д.О., Кузнецов Г.В. и др. // Химия твердого топлива. 2016. № 2. С. 21.
- Лебедева Е.А., Астафьева С.А., Истомина Т.С. // Хим. физика. 2022. Т. 41. № 4. С. 24.
- Гудкова И.Ю., Зюзин И.Н., Лемперт Д.Б. // Хим. физика. 2022. T. 41. № 1. С. 34.
- Зюзин И.Н., Гудкова И.Ю., Лемперт Д.Б. // Хим. физика. 2020. Т. 39. № 9. С. 52.
Дополнительные файлы








