Kinetics of Thermal Decomposition of 1,1-Bis(Methoxy-NNO-Azoxy)-3-Nitro-3-Azabutane
- Authors: Zakharov V.V.1, Zyuzin I.N.1, Korsunskiy B.L.1,2, Larikova T.S.1, Chukanov N.V.1
-
Affiliations:
- Federal Research Center of Problems of Chemical Physics and Medicinal Chemistry, Russian Academy of Sciences, Chernogolovka, Russia
- Semenov Federal Research Center for Chemical Physics, Russian Academy of Sciences, Moscow, Russia
- Issue: Vol 42, No 1 (2023)
- Pages: 10-14
- Section: Kinetics and mechanism of chemical reactions, catalysis
- URL: https://ogarev-online.ru/0207-401X/article/view/139860
- DOI: https://doi.org/10.31857/S0207401X23010132
- EDN: https://elibrary.ru/HRBOUD
- ID: 139860
Cite item
Full Text
Abstract
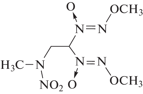
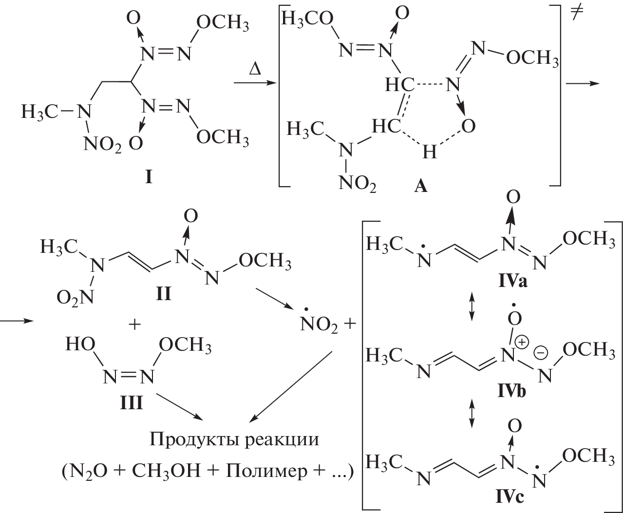
The thermal decomposition of 1,1-bis(methoxy-NNO-azoxy)-3-nitro-3-azabutane is studied under isothermal and nonisothermal conditions. The heats of its melting and thermal decomposition are 29.1 kJ/mol (7.0 kcal/mol) and 387 kJ/mol (92.5 kcal/mol), respectively. The composition of gaseous products of thermal decomposition is analyzed. The reaction takes place autocatalytically. The reaction center in the molecule of the studied substance is the diazene oxide group. The mechanism of the process is proposed. The limiting stage of the reaction includes a five-membered cyclic transition state.
Keywords
About the authors
V. V. Zakharov
Federal Research Center of Problems of Chemical Physics and Medicinal Chemistry, Russian Academy of Sciences, Chernogolovka, Russia
Email: vzakh@icp.ac.ru
Россия, Черноголовка
I. N. Zyuzin
Federal Research Center of Problems of Chemical Physics and Medicinal Chemistry, Russian Academy of Sciences, Chernogolovka, Russia
Email: chukanov@icp.ac.ru
Россия, Черноголовка
B. L. Korsunskiy
Federal Research Center of Problems of Chemical Physics and Medicinal Chemistry, Russian Academy of Sciences, Chernogolovka, Russia; Semenov Federal Research Center for Chemical Physics, Russian Academy of Sciences, Moscow, Russia
Email: chukanov@icp.ac.ru
Россия, Черноголовка; Россия, Москва
T. S. Larikova
Federal Research Center of Problems of Chemical Physics and Medicinal Chemistry, Russian Academy of Sciences, Chernogolovka, Russia
Email: chukanov@icp.ac.ru
Россия, Черноголовка
N. V. Chukanov
Federal Research Center of Problems of Chemical Physics and Medicinal Chemistry, Russian Academy of Sciences, Chernogolovka, Russia
Author for correspondence.
Email: chukanov@icp.ac.ru
Россия, Черноголовка
References
- Зюзин И.Н., Лемперт Д.Б. // Изв. АН СССР. Сер. хим. 1985. № 4. С. 831.
- Зюзин И.Н., Нечипоренко Г.Н., Головина Н.И., Трофимова Р.Ф., Логинова М.В. // Изв. АН. Сер. хим. 1997. № 8. С. 1486.
- Зюзин И.Н., Головина Н.И., Лемперт Д.Б., Нечипоренко Г.Н., Шилов Г.В. // Изв. АН. Сер. хим. 2008. № 3. С. 619.
- Зюзин И.Н., Головина Н.И., Федоров Б.С., Шилов Г.В., Нечипоренко Г.Н. // Изв. АН. Сер. хим. 2003. № 3. С. 726.
- Зюзин И.Н., Лемперт Д.Б. // Изв. АН. Сер. хим. 2009. № 10. С. 2108.
- Zyuzin I.N., Suponitsky K.Yu., Sheremetev A.B. // J. Heterocyclic Chem. 2012. T. 7. № 3. C. 561; https://doi.org/10.1002/jhet.811
- Зюзин И.Н. // Журн. орган. химии. 2015. Т. 49. № 4. С. 536.
- Зюзин И.Н., Супоницкий К.Ю., Далингер И.Л. // Химия гетероцикл. соединений. 2017. Т. 53. № 6/7. С. 702.
- Зюзин И.Н. // Изв. АН. Сер. хим. 2020. № 10. С. 1949.
- Зюзин И.Н., Лемперт Д.Б. // Журн. общ. химии. 2010. Т. 80. № 9. С. 1473.
- Зюзин И.Н., Лемперт Д.Б. // Кинетика и катализ. 2011. Т. 52. № 1. С. 19.
- Зюзин И.Н., Лемперт Д.Б. // Журн. общ. химии. 2012. Т. 82. № 6. С. 947.
- Захаров В.В., Чуканов Н.В., Зюзин И.Н., Неделько В.В., Корсунский Б.Л. // Хим. физика. 2019. Т. 38. № 2. С. 3.
- Корсунский Б.Л., Захаров В.В., Ларикова Т.С. и др. // Хим. физика. 2022. Т. 41. № 7. С. 32; https://doi.org/10.31857/S0207401X22070081
- Захаров В.В., Корсунский Б.Л., Ларикова Т.С., Зюзин И.Н., Чуканов Н.В. // Хим. физика. 2022. Т. 41. № 9. С. 3; https://doi.org/10.31857/S0207401X22090126
- Захаров В.В., Зюзин И.Н., Корсунский Б.Л., Ларикова Т.С., Чуканов Н.В. // Хим. физика. 2022. Т. 41. № 12. С. 7; https://doi.org/10.31857/S0207401X2212010X
- Кирпичев Е.П., Зюзин И.Н., Авдонин В.В., Рубцов Ю.И., Лемперт Д.Б. // ЖФХ. 2006. Т. 80. № 9. С. 1543.
- Зюзин И.Н., Лемперт Д.Б., Набатова А.В., Казаков А.И. // Физика горения и взрыва. 2020. Т. 56. № 4. С. 104; https://doi.org/10.15372/FGV20200410
- Зюзин И.Н. // Изв. АН. Сер. хим. 2019. № 10. С. 1949.
- Марченко Г.А., Мухаметзянов А.С., Целинский И.В., Ермошкин А.С. // Журн. орган. химии. 1985. Т. 21. № 7. С. 1429
- Гальперин Л.Н., Колесов Ю.Р., Зеленов Н.А. // Измерит. техника. 1981. № 4. С. 23.
- Зюзин И.Н., Лемперт Д.Б., Нечипоренко Г.Н. // Изв. АН СССР. Сер. хим. 1988. № 7. С. 1506.
- Дубовицкий Ф.И., Корсунский Б.Л. // Успехи химии. 1981. Т. 50. № 10. С. 1828.
- Дубовицкий Ф.И., Манелис Г.Б., Смирнов Л.П. // ЖФХ. 1961. Т. 35. № 3. С. 521.
- Зюзин И.Н. // ЖПХ. 2009. Т. 82. № 10. С. 1677.
- Грачев В.П., Зюзин И.Н., Курмаз С.В. и др. // Изв. РАН. Сер. хим. 2020. № 12. С. 2312.
Supplementary files









