Measurements of total ozone content in the 4.7 µm region with a medium-resolution FTIR spectrometer and comparison with satellite data
- Authors: Visheratin K.N.1, Baranova E.L.1, Bugrim G.I.1, Krasnopeeva E.I.1, Ustinov V.P.1, Shilkin A.V.1
-
Affiliations:
- Research and Production Association Taifun
- Issue: No 2 (2024)
- Pages: 54-67
- Section: ФИЗИЧЕСКИЕ ОСНОВЫ ИССЛЕДОВАНИЯ ЗЕМЛИ ИЗ КОСМОСА
- URL: https://ogarev-online.ru/0205-9614/article/view/262298
- DOI: https://doi.org/10.31857/S0205961424020053
- EDN: https://elibrary.ru/FOUTRN
- ID: 262298
Cite item
Full Text
Abstract
The total ozone content (TOC) measurements results by the ground-based MR-32 instrument in 2015–2022 at the Obninsk station (55.11N; 36.60E) are presented. Solar radiation was measured by the FTIR spectrometer of medium resolution of 0.12 cm−1. Based on the analysis of the absorption spectra the relevant spectral intervals in the region of 4.7 microns were determined. The SFIT4 program was applied to retrieve total ozone content. A comparison of the results of TOC measurements by the MR-32 instrument with satellite data of OMPS, OMI, and SBUV(MOD) showed good agreement. The correlation coefficients are 0.93–0.97. According to spectral and cross-correlation wavelet analysis, ground and satellite oscillations with periods from 4 to 60 months occur of almost synchronously. The systematic discrepancies between daily average ground-based and satellite TO measurements are (−0.8 ± 3.6)%, (−0.2 ± 3.7)% and (−2 ± 5)% for OMPS, OMI and SBUV(MOD), respectively.
Full Text
ВВЕДЕНИЕ
Одной из актуальных задач современности является изучение пространственно-временного распределения общего содержания озона (ОСО) и причин, обуславливающих его изменчивость (WMO, 2022). Для ее решения используются измерения с помощью наземной и спутниковой аппаратуры, а также методы статистического анализа и различные динамико-химические модели. Наземные измерения ОСО осуществляются более 100 лет с помощью контактных (in situ) и дистанционных (преимущественно оптических) методов (Перов и Хргиан, 1980). В последние 20–30 лет, с совершенствованием аппаратуры, методик измерений и быстродействия вычислительных средств, получили развитие дистанционные методы определения вертикального профиля и общего содержания озона и других атмосферных газов с помощью инфракрасных Фурье-спектрометров (ИКФС) наземного и космического базирования (Cracknell and Varotsos, 2012, Кашкин и др., 2015, Тимофеев, 2016). Были созданы программы интерпретации спектров солнечного излучения, такие как SFIT, GFIT, PROFIT9 (см. например, (Тимофеев, 2016) и цитируемую литературу), реализующие алгоритмы решения обратных задач по определению профилей и общего содержания атмосферных газов.
Для измерений ОСО приборами ИКФС в основном используется средняя ИК область спектра 910–5000 см–1 (2–11 мкм) (Rinsland et al., 1996, Lindenmaier et al., 2010, Garsia et al., 2022). В этой области расположены фундаментальные полосы поглощения О3, принадлежащие колебаниям ν1, ν2 и ν3 с центрами вблизи 1103, 701 и 1042 см–1, а также полосы поглощения комбинационных колебаний и обертонов ν1 + ν3, ν2 + ν3, 2ν1 + ν2, 2ν3 + ν2, 2ν3, 2ν1, 3ν3 (Viatte et al., 2011, Barbe et al., 2022). Систематические измерения ОСО в интервале 991–1009 см–1 проводятся с 1991 года приборами Bruker IFS125HR (далее Bruker) с разрешением ~0.005 см–1 на сети станций NDACC (Network for the Detection of Atmospheric Composition Change, www.ndaccdemo.org). Выбор этой области обусловлен расположением полос ν1 и ν3 в окне прозрачности атмосферы 10–11 мкм со сравнительно малым числом мешающих газов (Lindenmaier et al., 2010, IRWG, 2014, Garsia et al., 2021, 2022). В ряде работ проводились измерения ОСО приборами Bruker в области спектра 2000–5000 см–1, где расположены комбинационные и обертонные полосы озона (Rinsland et al., 1996, Kagawa et al. 2007, Lindenmaier et al., 2010, García et al., 2014, Takele et al., 2013, Janssen, et. al., 2016, Zhou et al., 2020), однако широкое распространение они не получили. Единичные попытки использования различных ИКФС со средним разрешением показали, что такие приборы обеспечивают погрешность определения ОСО около 3–4 %. При этом подчеркивались такие преимущества приборов среднего разрешения, как низкая стоимость, простое обслуживание и высокая мобильность (Wunch et al., 2007, Viatte et al., 2011, Plasa-Medina et al., 2017).
Ранее ИКФС МР-32 был использован для определения общего содержания углекислого газа и метана (Вишератин и др., 2023). Представленные в настоящей работе результаты являются оценкой возможностей сравнительно недорогого и простого в эксплуатации отечественного комплекса среднего разрешения МР-32 для мониторинга вариаций ОСО. Приведены результаты определения ОСО в области комбинационных и обертонных полос поглощения О3 вблизи 4.7 мкм. Расчет общего содержания озона осуществлялся с помощью программы SFIT4, версия V0.9.4.4 (SFIT). Проведено сопоставление временных вариаций и спектрального состава основных колебаний ОСО в 2015–2022 гг. со спутниковыми данными OMI, OMPS, SBUV (MOD).
АППАРАТУРА И МЕТОДИКА НАЗЕМНЫХ ИЗМЕРЕНИЙ ОСО
Прибор и место наблюдений. МР-32 является газоаналитической стационарной системой, предназначенной для регистрации и исследования оптических спектров в инфракрасной (ИК) области в целях мониторинга средней концентрации и общего содержания малых газовых составляющих (МГС) в слое атмосферы, а также концентрации МГС в приземных пробах. В состав комплекса МР-32 входят лабораторный инфракрасный Фурье-спектрометр ФСМ 2203 (Infraspek, 2021), предназначенный для спектрального анализа солнечного ИК излучения, проходящего через слой атмосферы, и ИК излучения внутреннего источника (глобара), многократно проходящего через пробу в многоходовой оптической кювете (Вишератин и др., 2023). Система обработки данных, реализованная на базе персонального компьютера, осуществляет автоматическое измерение спектров, включая управление всеми системами спектрометра и оптимизацию режимов измерения, сохранение результатов измерений в базе данных, тестирование, математическую обработку спектральных данных и графическое представление спектров на дисплее.
Спектральный диапазон канала регистрации солнечного излучения 800–7700 см–1. Номинальное спектральное разрешение не более 0.125 см–1. Абсолютная погрешность шкалы волновых чисел не более ±0.01 см–1, отклонение линии 100 % пропускания от номинального значения в области 4.7 мкм не более 0.5 %, аподизация Нортон-Бир, слабая. Одно измерение занимает 2.5 минуты, в течение которых записываются и затем усредняются 5 спектрограмм.
Следящая система расположена на крыше лабораторного здания. Устройство слежения в комплекте с блоком питания, сенсором наведения и программой управления служит для автоматического сканирования положения Солнца и направляет на входную апертуру Фурье-спектрометра, расположенного по вертикали на расстоянии около 4 м, поток солнечного излучения диаметром 80 мм. Скорость пространственного сканирования по азимуту и углу места в режиме слежения от 0.25 до 2.5 угловых минут/с, а и при выходе из исходного положения в рабочую зону 60 и 30 угловых минут/с, соответственно. Абсолютная погрешность точного наведения на Солнце и последующего слежения за Солнцем не более 2 угловых минут в диапазоне изменений азимута Солнца от 0 до 360 градусов и высоты Солнца от 0 до 90 градусов.
Измерения проводились в г. Обнинске, находящемся в ста километрах к юго-западу от Москвы. Лабораторный корпус находится на территории высотной метеорологической мачты (55.11N, 36.60E, 186 м над уровнем моря). Для ст. Обнинск характерны западные и юго-западные (до 40 %) и южные (до 15 %) направления ветров, т. е. воздушные массы в течение года в основном приходят из Центральной и Южной Европы.
Выбор спектральных интервалов. В области спектра 9–11 мкм, используемой для измерений ОСО на сети NDACC, приемник излучения прибора МР-32 имеет недостаточную чувствительность, поэтому были проанализированы спектры поглощения солнечного излучения атмосферой в окне прозрачности атмосферы 3–5 мкм. В этом интервале, наряду с колебательно-вращательными линиями О3 содержатся полосы поглощения H2O, CO2, N2O, CO и других малых газовых компонент (Арефьев и Вишератин, 1980). В таблице 1 приведены спектральные интервалы в диапазоне 3–5 мкм, применявшиеся для определения ОСО в работах других авторов. Для сравнения в таблице даны также типичные характеристики определения ОСО в области 9–11 мкм.
Таблица 1. Спектральные интервалы, число степеней свободы (DOF), случайные и систематические погрешности (в %) определения ОСО в различных микроокнах.
Микроокна, cм−1 | DOF | Случайная погрешность | Систематическая погрешность | Источник |
3–5 мкм | ||||
2083.50–2084.72; 2754.55–2755.45 2778.90–2779.20; 2781.60–2781.86 2792.65–2793.28; 3040.00–3040.90 | – | – | 0.96–1.02* | Rinsland et al., 1996 |
2775.68–2782.06; 3039.90–3040.60 | 2.1 –2.4 | – | – | Wunch et al. 2007 |
3051.29–3051.90 | 3.2 | 0.8 | 5.2 | Kagawa et al. 2007 |
2766.50–2775.50 3023.35–3024.07 3039.75–3045.74 3051.35– 3051.88 | 4.4 4.0–4.4 3.7–4.7 3.6 | 1.8 3.0–3.4 2.2–5.5 5.3 | 11.5 10.5–12.5 11.5–12.6 10.1 | Lindenmaier et al., 2010 |
3039.37–3051.90 | – | 0.8 | 2.1 | Takele et al., 2013 |
3041.5–3042.25; 3044.7–3045.54 4026.50–4029.14 | 2.33 1.05 | 2.1 4.8 | 2.7 2.1 | García et al., 2014 |
2070.90−2134.90 | – | – | – | Janssen, et. al., 2016 |
3039.9–3040.6, 3041.5–3042.25, 3044.7–3045.54 | 2.4 | 1.4 | 13.6 | Zhou et al., 2020 |
2126–2129; 2130–2132 | 1.1–1.6 | 1.2–3.5 | 6–7 | Наст. раб. |
9–11 мкм | ||||
1000.0–1004.5 | 7.3 | 0.8 | 4.2 | Lindenmaier et al., 2010 |
1000–1005 | 4.6 | 0.9 | 2.5 | Senten et al., 2012 |
1000–1005 | 4.2 | 0.7 | 2.1 | García et al., 2014 |
991–1014 | – | 1.5 | 2.1 | Виролайнен и др., 2017 |
783–1004 | 4.4 | 1.5 | 5.3 | Yamanouchi et al., 2021 |
991–1014 | 4.1 | 1.8 | 5.1 | García et al., 2021 |
*– отношение одновременных измерений Bruker/Добсон.
Из таблицы 1 следует, что во всех работах использовалась коротковолновая часть окна 3–5 мкм (2750–3050 см–1, 3.3–3.6 мкм). Случайные и систематические погрешности определения ОСО по данным разных авторов находятся в пределах (0.8–5.5) и (2.1–13.6)% соответственно при числе степеней свободы (DOF) от 1 до 4.7. Анализ спектров поглощения солнечного излучения прибором МР-32 показал, что определение ОСО в этой области (3.3–3.6 мкм) малоперспективно из-за малости поглощения озоном. Т.к. разрешение МР-32 значительно ниже, чем у приборов Bruker, то поглощение в центрах линий О3 оказывается меньшим, а из-за большей полуширины линий происходит перекрывание с соседними спектральными линиями. В (Janssen et. al., 2016) исследовались отличия в значениях ОСО при использовании трех различных баз спектральных параметров. Была также рассмотрена область вблизи 4.7 мкм, однако подробности расчетов и погрешности вычислений в этой работе не приводятся. Поскольку интенсивности комбинационных линий озона полосы ν1 + ν3 в районе 4.7 мкм почти на 2 порядка выше, чем в 3.3–3.6 мкм, то нами был проведен более детальный анализ этой области спектра. В результате были определены перспективные для определения ОСО интервалы: 2126–2129 и 2130–2132 см–1, в которых группы интенсивных линий О3 находятся в крыльях линий поглощения СО, СО2 и Н2О.
Расчет вклада различных газов в спектр пропускания солнечного излучения в интервале 2125–2133 см–1 на примере спектра, соответствующего минимуму в сезонном ходе ОСО, показан на рис. 1. В расчете учитывались также солнечные (фраунгоферовы) линии (SOL).
Рис. 1. Вклад различных составляющих в спектр пропускания атмосферой солнечного излучения вблизи 4.7 мкм (спектр от 27 сентября 2022 г., 11 ч 24 мин).
Методика решения обратной задачи. При решении обратной задачи в программе SFIT4 используется метод оптимального оценивания (Rodgers, 2000). Измеренный спектр y сопоставляется с расчетом по прямой модели F:
(1)
где x – вертикальный профиль искомого газа, b – параметры состояния атмосферы (профили температуры, давления и других газов, параметры прибора и др.), ε – измерительный шум.
Основой для оценки погрешностей решения обратной задачи является уравнение (2):
(2)
где G и Gb – матрицы “усиления”, характеризующие чувствительность решения обратной задачи к измерениям и априорным параметрам состояния атмосферы, Аk = G K – матрица усредняющего ядра (averaging kernel), K и Kb – матрицы весовых функций, – восстанавливаемый в итерационном процессе искомый профиль. Строки матрицы Аk отражают чувствительность полученного решения на изменения фактического состояния атмосферы х. Согласно (Rodgers, 1990, 2000), ковариационные матрицы случайного шума Sm, ошибки сглаживания (Ss) и ошибки параметров прямой модели (Sf) вычисляются из следующих выражений:
(3)
Диагональ матрицы Sm содержит дисперсию случайного шума измерений (индекс Т обозначает транспонирование). Диагональные элементы матрицы измерительного шума Sе предполагаются равными 1/SNR2, а отношение сигнал/шум (SNR)вычисляется как отношение стандартного отклонения разности измеренного и рассчитанного спектра к среднему значению измеренного спектра. Ошибка сглаживания Ss (smoothing) обусловлена сглаживанием истинного профиля усредняющим ядром. Ковариационная матрица априорных значений Sa в процессе итераций рассчитывается на каждом шаге. Расчет систематических ошибок Sf обычно проводится методом возмущений, когда в исходные параметры модели (например, спектроскопические данные) вносится некоторая погрешность и оценивается влияние этой погрешности на решение обратной задачи. Полная случайная ошибка, согласно (Rodgers, 1990), состоит из суммы Stot, = Ss +Sm.
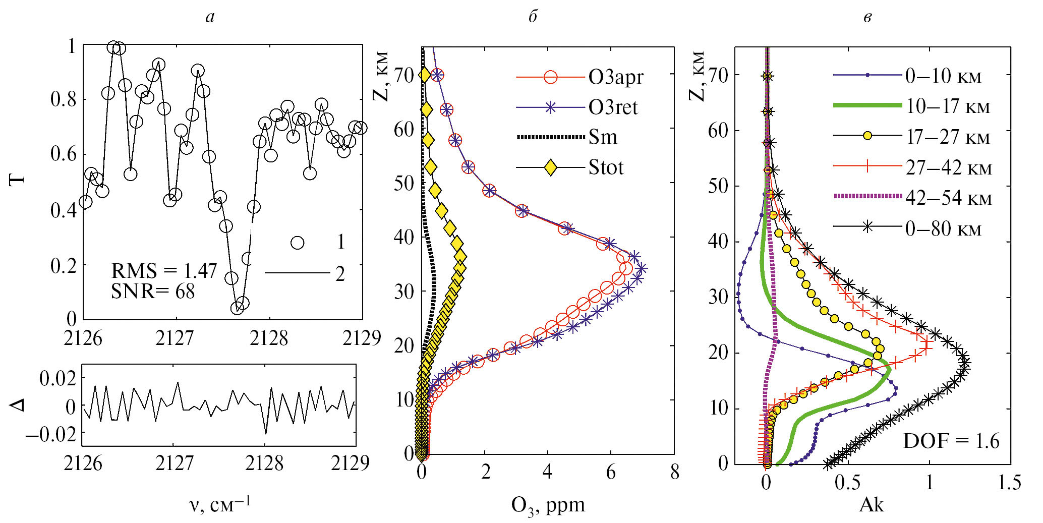
Оценки погрешностей. В используемой в настоящей работе реализации SFIT4 V0.9.4.4 (SFIT4) восстановление вертикального профиля происходит на 48-слойной сетке (0.02–120 км). В качестве атласа спектральных линий нами был использован атлас HITRAN-2020 (Gordon et al., 2022), априорные среднеширотные профили температуры, давления и профилей газов (1980–2020) заимствовались из (WACCAM, 2013). Примеры восстановления вертикального профиля озона раздельно для интервалов 2126–2129 и 2130–2132 см–1 (спектр от 27 сентября 2022 г., 11 час 24 мин) приведены на рис. 2 и 3.
Рис. 2. Пример восстановления вертикального профиля озона в интервале 2126–2129 см−1: а – измеренный (1) и рассчитанный (2) спектры и разность ∆ между расчетом и измерениями; б – априорный (O3apr) и восстановленный (O3ret) профили, Sm – измерительная и Stot – полная случайные погрешности; в – усредняющие ядра (Ak) для различных слоев.
Рис. 3. То же для интервала 2130–2132 см–1.
Сопоставление рассчитанных и измеренных спектров и их разность показаны на рис. 2а и 3a, там же приведены значения отношения сигнал/шум и среднеквадратического отклонения.
Примеры восстановленных профилей О3 и вертикальных профилей и измерительной Sm и полной случайной ошибок Stot показаны на рис. 2б и 3б. Измерительная и полная случайные погрешности содержания озона в слое максимума О3 составляют Sm = (3–6)% и Stot = (18–20)%. На рис. 2в и 3в представлены профили усредняющих ядер Ak, полученные суммированием для различных слоев, а также для суммарного профиля (или “чувствительности”) от 0 до 80 км. Значения, близкие или большие единицы, означают, что на данной высоте восстановленный профиль отражает реальный. Для суммарного профиля (от уровня земли до 80 км) это высоты от 11 до 27 км. Усредняющим ядрам, меньшим 0.5, соответствуют высоты более 30–35 км. На этих высотах лорентцовский профиль линий поглощения, обязанный столкновительному уширению, становится сравнимым с допплеровским, не зависящим от давления. Поэтому на высотах более 40 км восстанавливаемый профиль определяется априорными значениями. След матрицы Ak дает оценку количества независимой информации и определяет степень свободы сигнала (DOF), полученного в результате решения обратной задачи. Значения DOF (1.1–1.6) меньше, чем для приборов Bruker (табл. 1) и связаны с более чем на порядок низким разрешением прибора МР-32, не позволяющим разделять контура близко расположенных линий поглощения.
Общее содержание озона определялось послойным суммированием для 48 слоев. Для рассмотренного случая измерительная Sm и полная Stot случайные погрешности единичного измерения общего содержания озона для интервала 2126–2129 см–1 составили 0.2 и 1.2 %, а для интервала 2130–2132 см–1 соответственно 0.3 и 1.1 %. Аналогичный анализ для других сезонов показал, что наибольшие случайные погрешности Stot (до 3.5 %) наблюдаются в феврале-марте, в период максимума сезонного хода ОСО, и в ноябре-декабре, когда измерения проводятся при больших зенитных углах. Эти оценки примерно совпадают со значениями случайной погрешности определения ОСО по данным других работ (табл. 1). При обработке данных измерений, полученных в течение одного дня, величины ОСО в интервалах 2126–2129 и 2130–2132 см−1 вычисляются раздельно, затем усредняются и формируется одно среднедневное значение.
Основной причиной систематической погрешности Sf при определении содержаний атмосферных газов приборами ИКФС практически во всех работах указывается неточность в спектроскопических параметрах Sspc и в первую очередь в интенсивностях линий поглощения. Согласно литературным источникам, Sspc в разы и на порядки превышает систематические погрешности, связанные с другими факторами, см. напр. (Lindenmaier et al., 2010, Zhou et al., 2020).
Наши оценки систематической погрешности Sspc для интервала 2126–2132 см−1 дают значение 6–7 % при выборе указанной в (Gordon et al., 2022) неопределенности в интенсивностях и полуширинах линий, равной в среднем 15 % и 7 %. Следует заметить, что эта оценка является приблизительной и скорее дает верхний предел систематической погрешности определения ОСО. Для валидации данных, полученных прибором МР-32, проведем сопоставление статистических и спектральных характеристик наземного и спутниковых измерений ОСО.
СОПОСТАВЛЕНИЕ НАЗЕМНЫХ И СПУТНИКОВЫХ ИЗМЕРЕНИЙ
Спутниковые данные. Спутниковые данные об общем содержании озона над ст. Обнинск были сформированы на основе измерений приборами OMPS, OMI и SBUV (overpass data). Общее содержание озона этими приборами измеряется по обратному рассеянию в УФ диапазоне. Прибор Ozone Mapping and Profiling Suite (далее OMPS) работает на борту спутника Suomi National Polar-orbiting Partnership с 2012 г. Пространственное разрешение равно 50 × 50 км. Нами использовались данные измерений расположенные на сайте Aura Validation Data Center (https://avdc.gsfc.nasa.gov/pub/data/satellite/Suomi_NPP/L2OVP/NMTO3-L2).
Прибор Ozone Monitoring Instrument (далее OMI) на борту спутника EOS-Aura проводит измерения ОСО с пространственным разрешением 25 × 13 км с 2004 г. Данные измерений доступны на сайте (https://avdc.gsfc.nasa.gov/pub/data/satellite/Aura/OMI/V03/L2OVP/OMTO3). Среднедневные значения ОСО по данным OMI и OMPS формировались нами на основе измерений, для которых расстояние между спутником и координатами станции Обнинск было менее 50 км, и разница во времени измерений не превышала 1 час.
Приборы SBUV, также как и OMI и OMPS, выполняют надирные измерения спектров отраженного и рассеянного солнечного излучения, однако горизонтальное разрешение составляет около 180×180 км, а значения ОСО над наземными станциями формируются путем интерполяции. Нами использовались среднедневные значения ОСО из объединенной базы NASA Merged Ozone Data (MOD) version 8.7 (далее MOD) (https://acd-ext.gsfc.nasa.gov/anonftp/toms/sbuv/MERGED). Для данных MOD время прохождения спутника над ст. Обнинск приходилось на 13.5–14.5 час, а расстояния менялось от 50 до 800 км при среднем расстоянии 501 км.
Случайная погрешность определения ОСО перечисленными выше спутниковыми приборами определялась ранее при сравнении с данными наземных измерений и по оценкам разных авторов составляет для OMPS (0.6–1.3 %), OMI (1–2 %), MOD (5 е.Д.) (McPeters et al., 2008, 2019, Levelt et al., 2018, Bodeker et al., 2021, Orfanoz-Cheuquelaf et al., 2021). Эти оценки получены при использовании различных временных интервалов и различном местоположении наземных приборов (Dobson, Brewer, Bruker). Следует заметить, что точность измерений ОСО наземными приборами Dobson и Brewer по умолчанию принимается равной 1 и 2 %, однако реальные отличия даже между расположенными вблизи приборами (станции Ароза и Давос) без надлежащей систематической интеркалибровки могут достигать ~3 % (подробнее см. (Gröbner et al, 2021)).
На основе среднедневных значений нами были сформированы также среднемесячные временные ряды, с 2015 по 2022 гг. для OMI и OMPS, и с 2015 по 2021 гг. для MOD. Для всех трех приборов среднемесячные данные не имеют пропусков.
Сопоставление попарно совпадающих среднедневных значений. В дальнейшем анализе используются наземные среднедневные и среднемесячные значения, полученные усреднением 2-х значений ОСО, рассчитанных независимо для интервалов 2126–2129 и 2130–2132 см–1. На рис. 4а приведены временные ряды попарно совпадающих среднедневных значений ОСО и рассогласований Δ = 100∙(MР32-SAT)/MР32, где SAT – данные измерений спутниковыми приборами. Наибольшее рассогласование (–2 ± 5.5)% наблюдается со спутниковыми измерениями MOD, что, вероятно, связано с усреднением значений MOD на более широком пространстве относительно ст. Обнинск. Более детальный анализ показал, что наибольшие отличия с данными MOD характерны при значениях ОСО более 350 еД, т. е. в период сезонного максимума ОСО в феврале-марте. Из регрессионных зависимостей, представленных на рис. 4б, следует, что наземные измерения достаточно хорошо согласуются с измерениями OMPS и OMI. Рассогласование МР-32 с данными OMPS и OMI меньше 1 %, при этом СКО рассогласования одинаково (~3.7 %).
Рис. 4. Временной ход попарно совпадающих среднедневных ОСО по спутниковым и наземным измерениям: а – временные ряды и разности ∆(%) спутниковых и наземных измерений; б – регрессионные зависимости.
Основные статистические характеристики сопоставления попарно совпадающих наземных и спутниковых данных приведены в табл. 2.
Таблица 2. Статистические характеристики сравнения среднедневных наземных и спутниковых измерений ОСО: число совпадающих измерений (N), среднее расстояние (S, км), разность спутник – наземный прибор (∆) в еД и в (%), среднеквадратическое отклонение разности (СКО) в еД и в (%), коэффициенты корреляции R и параметры регрессии (ОСОМР-32 = a + b × ОСОSAT).
Прибор | N | S | ∆ | СКО | R | a | b |
OMPS–MR-32 | 469 | 20 | –2.2 (–0.8) | 11.9 (3.6) | 0.97 ± 0.01 | –5.91 | 1.01 |
OMI–MR-32 | 452 | 22 | –0.02 (–0.18) | 12.0 (3.7) | 0.97 ± 0.01 | –6.08 | 1.02 |
MOD–MR-32 | 416 | 501 | –5.6 (–2.0) | 17.8 (5.5) | 0.93 ± 0.01 | –4.8 | 1.0 |
Тренды и спектральный анализ. Рассмотрим на основе среднемесячных значений тренды и спектральный состав вариаций ОСО. Наземные данные ст. Обнинск имеют немногочисленные пропуски в измерениях, чаше всего в декабре-январе, что связано с погодными условиями. Для заполнения пропусков рассчитанными значениями вычислялись сумма линейного тренда и вклада определенных с помощью Фурье-анализа годовой и полугодовой гармоник (4).
(4)
где А12 и А6 – амплитуды (еД), Р12 и Р6 – фазы годовой и полугодовой гармоник (радианы), S0 (еД) и B (еД/год) – параметры тренда, N – порядковый номер месяца, начиная с 08. 2015 г. Входящие в формулу (4) параметры приведены в табл. 3, а сопоставление среднемесячных временных рядов наземных и спутниковых измерений и их амплитудных спектров представлено на рис. 5.
Таблица 3. Параметры формулы (4) по данным наземных и спутниковых измерений ОСО за период 2015–2022 гг. Значимые параметры (доверительный интервал 95% и более) выделены жирным шрифтом.
Параметры | А12, еД | Р12, рад | А6, еД | Р6,рад | S0, еД | B, еД/год |
MR32 | 48 | –2.9 | 15 | 0.25 | 319 | 1.4 |
OMI | 45 | –2.9 | 9.0 | 0.01 | 326 | 0.8 |
OMPS | 46 | –2.9 | 8.2 | 0.15 | 331 | 0.3 |
MOD | 48 | –2.8 | 8.6 | 0.31 | 334 | –0.4 |
Рис. 5. Среднемесячные ряды ОСО по наземным и спутниковым данным (а) и их амплитудные спектры (б). На спектрах горизонтальные штриховые линии соответствуют значимости спектральных гармоник 2σ.
Оценка значимости спектральных гармоник по методике (Вишератин, 2017) показала, что значимыми для всех рядов являются полугодовое и годовое колебания, а на границе значимости находятся колебания вблизи 10, 15 и 18.5 мес. Длина анализируемых рядов недостаточна для уверенного выделения длиннопериодных колебаний, тем не менее заметны колебания с периодами около 23–24 и 35–37 мес., характерные для вариаций ОСО (напр. Вишератин и др., 2006). Оценка амплитуд артефактных колебаний (пульсаций Гиббса), обусловленных конечностью ряда (Visheratin, 2021), показала, что колебания с периодами 10 и 15 мес. полностью обусловлены эффектом Гиббса.
Величины тренда B (еД/год) для всех рассмотренных рядов незначимы. Из табл. 3 следует, что параметры годовой и полугодовой гармоник по данным измерений на ст. Обнинск хорошо согласуются со спутниковыми данными. Эти параметры, определенные с помощью Фурье-преобразования, характеризуют средние величины за весь период измерений. Для того, чтобы оценить динамику изменчивости корреляционных и фазовых соотношений, был проведен кросс-корреляционный вейвлетный анализ, который показал, что для всего периода измерений и колебаний с периодами от 4 до 60 мес. вариации ОСО по наземным и спутниковым данным практически синхронны. Пример кросс-корреляционного вейвлетного анализа для ст. Обнинск и спутниковых данных OMPS приведен на рис. 6.
Рис. 6. Кросс-корреляционная вейвлетограмма среднемесячных значений ОСО по данным ст. Обнинск и OMPS. Цветовая шкала в отн. ед. Значения, превышающие доверительный интервал 95%, выделены жирной линией. Направления стрелок вправо соответствуют синхронности колебаний.
АНАЛИЗ РЕЗУЛЬТАТОВ И ВЫВОДЫ
Основной целью настоящей работы являлась оценка возможности определения общего содержания озона прибором среднего разрешения в области спектра 3–5 мкм. В работе рассмотрены результаты наземных измерений солнечного ИК-излучения, проводившиеся с помощью прибора среднего разрешения МР-32 на станции Обнинск (55.11N; 36.60E) с 2015 по 2022 г. В результате анализа спектров солнечного излучения в диапазоне 3–5 мкм, вероятно впервые показано, что при использовании прибора среднего разрешения (0.12 см–1) оптимальным спектральным интервалом с точки зрения интенсивности наблюдаемых линий поглощения О3 и минимального влияния присутствующих в спектре мешающих газов, таких как СО, СО2 и Н2О, является спектральный диапазон вблизи 4.7 мкм (2126–2128 и 2130–2132 см–1). Общее содержание озона определялось с помощью программы SFIT4 послойным суммированием отношений смеси озона интервале высот 0.02–120 км. Полная случайная погрешность единичного измерения общего содержания озона в зависимости от сезона составляет (1.2–3.5)% и примерно соответствует результатам, полученным другими авторами. Вместе с тем полученные оценки степеней свободы и соответственно восстанавливаемого из вертикального профиля количества информации ниже, чем в работах, использовавших ИКФС высокого разрешения. Измерительная погрешность в слое максимума О3 составляет (3–6)%, а полная случайная погрешность (18–20)%.
Сопоставление среднедневных значений ОСО по данным наземных и спутниковых измерений OMPS и OMI, совпадающих по времени в пределах ±1 час и расстоянии от наземной станции менее 50 км, показало хорошее согласие. Коэффициенты корреляции равны 0.97, систематическое отклонение меньше (–1 ± 3.7)%. Наибольшее рассогласование (–2 ± 5.5)% наблюдается со спутниковыми измерениями MOD, и связано с большим размером ячеек, для которых проводилось усреднение. Во всех случаях наземные данные превышают спутниковые. Ранее, измерения ОСО прибором высокого разрешения на ближайшей к Обнинску станции NDACC (Петергоф, СПбГУ), также показали завышение по сравнению с результатами измерений OMI на 3.4 % (Virolainen and Poberovsky, 2013).
Величины линейных трендов за анализируемый период по наземным и спутниковым данным находятся в пределах (–0.4–1.4) еД/год. и незначимы. По различным оценкам (например (Bojilova et al., 2022, Coldewey-Egbers et al., 2022) для средних широт северного полушария коэффициенты линейного тренда варьируют от –0.06 до 0.25 еД/год и или незначимы, или находятся на границе значимости. По данным отечественной сети фильтровых озонометров М-124 (Доклад, 2022) за 1997–2021 гг. линейный тренд в широтном поясе 30°–60° с. ш. составил –0.35 еД за декаду, а в широтном поясе 60°—90° с. ш. линейный тренд положительный, 0.36 еД за декаду. На станции NDACC (Петергоф, СПбГУ) положительный тренд за 2004–2021 гг. составил (0.4 ± 0.1) еД/год (Nerobelov et al., 2022).
Ключевыми элементами валидации данных, полученных новым инструментом, являются статистический анализ данных измерений валидируемого и сравниваемых приборов и такие характеристики как средние отклонения и их СКО, коэффициенты регрессии, детерминации и тренды. Эти характеристики были дополнены в настоящей работе анализом спектральной структуры сопоставляемых рядов методами Фурье и кросс-корреляционного вейвлетного анализа. Этот анализ показал хорошее согласие для параметров основных гармоник, а также практически синхронные вариации наземных и спутниковых рядов ОСО для колебаний с периодами от 4 до 60 мес.
Хотя сопоставления со спутниковыми данными основаны на сравнительно коротких временных рядах, погрешности определения ОСО прибором МР-32 близки к современным требованиям к качеству измерений ОСО (см. например, (Тимофеев, 2016)). Вместе с тем, как и следовало ожидать, невысокое разрешение МР-32 ограничивает его возможности для анализа вертикальных профилей озона. Для оценки возможности мониторинга таких характеристик вертикального распределения озона, как вариации высоты слоя максимума и отношений смеси на разных высотах, необходимы дополнительные исследования с привлечением как наземных, так и спутниковых данных.
БЛАГОДАРНОСТИ
Авторы признательны А. Ф. Нерушеву и анонимному рецензенту за внимательное прочтение рукописи и сделанные замечания. Авторы выражают благодарность ученым и коллективам разработчиков приборов Ozone Mapping and Profiling Suite (OMPS), Ozone Monitoring Instrument (OMI) и The Solar Backscatter UltraViolet (SBUV), NASA Goddard Earth Sciences Data and Information Services Center (GES DISC) за доступ к базам данных спутниковых измерений, а также коллективу разработчиков пакета программ SFIT4.
About the authors
K. N. Visheratin
Research and Production Association Taifun
Author for correspondence.
Email: kvisher@rpatyphoon.ru
Russian Federation, Kaluga oblast, Obninsk
E. L. Baranova
Research and Production Association Taifun
Email: kvisher@rpatyphoon.ru
Russian Federation, Kaluga oblast, Obninsk
G. I. Bugrim
Research and Production Association Taifun
Email: kvisher@rpatyphoon.ru
Russian Federation, Kaluga oblast, Obninsk
E. I. Krasnopeeva
Research and Production Association Taifun
Email: kvisher@rpatyphoon.ru
Russian Federation, Kaluga oblast, Obninsk
V. P. Ustinov
Research and Production Association Taifun
Email: kvisher@rpatyphoon.ru
Russian Federation, Kaluga oblast, Obninsk
A. V. Shilkin
Research and Production Association Taifun
Email: kvisher@rpatyphoon.ru
Russian Federation, Kaluga oblast, Obninsk
References
- Arefyev V.N., Visheratin K.N. Molekulyarnoye pogloshcheniye izlucheniya v okne prozrachnosti atmosfery 3,5–4,1 mkm [Molecular absorption of radiation in the atmospheric transparency window of 3.5–4.1 microns] // Proceedings of IEM. 1980. Issue 10(84). P. 91–101. (In Russian).
- Virolaynen Ya.A., Timofeyev Yu.M., Poberovskiy A.V., Polyakov A. V., Shalamyanskiy A. M. Empiricheskiye otsenki pogreshnostey izmereniy obshchego soderzhaniya ozona razlichnymi metodami i priborami [Empirical estimates of measurement errors of total ozone content by various methods and instruments // Optics of atmosphere and ocean. 2017. V. 30. No. 2. P. 170–176. doi: 10.15372/AOO20170210. (In Russian).
- Visheratin K.N., Kamenogradskiy N.Ye., Kashin F.V., Semenov V.K., Sinyakov V.P., Sorokina L.I. Spektral'no–vremennaya struktura variatsiy obshchego soderzhaniya ozona v atmosfere tsentral'noy chasti Evrazii [Spectral–temporal structure of variations in the total ozone content in the atmosphere of the central part of Eurasia] // Izv. RAN. Physics of atmosphere and ocean. 2006. V. 42. No. 2. P. 205–22. (In Russian).
- Visheratin K.N., Nerushev A.F., Orozaliev M.D., Zheng X., Sun Sh., Liu L. Vremennaya izmenchivost' obshchego soderzhaniya ozona v Aziatskom regione po dannym nazemnykh i sputnikovykh izmereniy [Temporal variability of the total ozone content in the Asian region according to ground and satellite measurements] // Issledovaniye Zemli iz kosmosa. 2017. No. 1.P. 59–68. (In Russian).
- Visheratin K.N., Baranova Ye.L., Bugrim G.I., Ivanov V.N., Krasnopeyeva Ye.I., Sakhibgareyev D.G., Ustinov V.P., Shilkin A.V. Variatsii prizemnykh kontsentratsiy i obshchego soderzhaniya SO2 i SN4 nad stantsiyey Obninsk v 1998–2021 [Variations in surface concentrations and total content of CO2 and CH4 over Obninsk station in 1998–2021] // Izv. RAN. Physics of atmosphere and ocean. 2023. V. 59. No. 2. P. 200–216. (In Russian).
- Doklad ob osobennostyakh klimata na territorii Rossiyskoy Federatsii za 2021 god. Moskva. 2022. 104 p. [Report on climate features in the Russian Federation for 2021. Moscow. 2022. 104 p. (In Russian).
- Kashkin V.B., Rubleva R.G., Khlebopros R.G. Stratosfernyy ozon: vid s kosmicheskoy orbity [Stratospheric ozone: view from space orbit]. Krasnoyarsk: Sibirsk. federal univ., 2015. 184 p. ISBN978-5-7638-3348-5. (In Russian).
- Perov S.P., Hrgian A.H. Sovremennyye problemy atmosfernogo ozona [Modern problems of atmospheric ozone]. Leningrad, Gidrometeoizdat, 1980. 288 p. (In Russian).
- Timofeyev Yu.M. Issledovaniye atmosfery Zemli metodom prozrachnosti [Study of the Earth's atmosphere using the transparency method]. SPb.: Nauka, 2016. 367 p. (In Russian).
- Barbe A., Mikhailenko S., Starikova E., Tyuterev V. High Resolution Infrared Spectroscopy in Support of Ozone Atmospheric Monitoring and Validation of the Potential Energy Function // Molecules. 2022. V. 27. P. 911. https://doi.org/10.3390/molecules27030911
- Bodeker G.E., Nitzbon J., Tradowsky J.S., Kremser S., Schwertheim A., Lewis J. A global total column ozone climate data record // Earth Syst. Sci. Data. 2021. V. 13. P. 3885–3906. https://doi.org/10.5194/essd-13-3885-2021
- Bojilova R., Mukhtarov P., Miloshev N. Latitude Dependence of the Total Ozone Trends for the Period 2005–2020: TOC for Bulgaria in the Period 1996–2020 // Atmosphere. 2022. V. 13. P. 918. https://doi.org/10.3390/atmos13060918
- Coldewey-Egbers M., Loyola D.G., Lerot C., Van Roozendael M. Global, regional and seasonal analysis of total ozone trends derived from the 1995–2020 GTO-ECV climate data record // Atmos. Chem. Phys. 2022. V.22. P. 6861–6878 https://doi.org/10.5194/acp-22-6861-2022
- Cracknell A. P., Varotsos C. A. Remote sensing and atmospheric ozone // Springer-Verlag Berlin. 2012. 662 p. doi: 10.1007/978-3-642-10334-6.
- García O.E., Schneider M., Sepúlveda E., Hase F., Blumenstock T., Cuevas E., Ramos R., Gross J., Barthlott S., Röhling A.N., Sanromá E., González Y., Gómez-Peláez A.J., Navarro-Comas M., Puentedura, O., Yela M., Redondas A., Carreño V., León-Luis S.F., Reyes E., García R.D., Rivas P.P., Romero-Campos P. M., Torres C., Prats N., Hernández M., and López C. Twenty years of groundbased NDACC FTIR spectrometry at Izaña Observatory – overview and long-term comparison to other techniques // Atmos. Chem. Phys. 2021. V. 21. P. 15519–15554. https://doi.org/10.5194/acp-21-15519-2021
- García O.E., Schneider M., Hase F., Blumenstock T., Sepúlveda E., González Y. Quality assessment of ozone total column amounts as monitored by ground-based solar absorption spectrometry in the near infrared (>3000 cm−1) // Atmos. Meas.Tech. 2014. V. 7. P. 3071–3084. https://doi.org/10.5194/amt-7-3071–2014
- García O.E., Sanromá E., Schneider M., Hase F., León-Luis S.F., Blumenstock T., Sepúlveda E., Redondas A., Carreño V., Torres C., Prats N. Improved ozone monitoring by ground-based FTIR spectrometry // Atmos. Meas. Tech. 2022. V. 15. P. 2557–2577. https://doi.org/10.5194/amt-15-2557-2022
- Gordon I.E., Rothman L. S., Hargreaves R.J., Hashemi R., Karlovets E.V., Skinner F.M., Conway E.K., Hill C., Kochanov R.V., Tan Y. et al. The HITRAN2020 molecular spectroscopic database. // J. Quant. Spectrosc. Radiat. Transf. 2022. V. 277. P. 107949. https://doi.org/10.1016/j.jqsrt.2021.107949
- Gröbner J., Schill H., Egli L., Stübi R. Consistency of total column ozone measurements between the Brewer and Dobson spectroradiometers of the LKO Arosa and PMOD/WRC Davos // Atmos. Meas. Tech. 2021. V. 14. P. 3319–3331. https://doi.org/10.5194/amt-14-3319-2021, 2021
- Infraspek. 2021. http://www.infraspek.ru/produktsiya/spektrometryi/fsm-2203-2/
- IRWG, 2014. Infrared Working Group Uniform Retrieval Parameter Summary, Tech. rep., http://www.acom.ucar.edu/irwg/IRWG_Uniform_RP_Summary-3.pdf
- Janssen C., Boursier C., Jeseck P., Té Y. Line parameter study of ozone at 5 and 10µm using atmospheric FTIR spectra from the ground: A spectroscopic database and wavelength region comparison // Journal of Molecular Spectroscopy. 2016. V. 326. P. 48–59. doi: 10.1016/j.jms.2016.04.003.
- Kagawa A., Kasai Y., Jones N.B, Yamamori M., Seki K., Murcray F., Murayama Y., Mizutani K., Itabe T. Characteristics and error estimation of stratospheric ozone and ozone-related species over Poker Flat (651N, 1471W), Alaska observed by a ground-based FTIR spectrometer from 2001 to 2003 // Atmos Chem Phys. 2007. V. 7. P. 3791–3810. www.atmos-chem-phys.net/7/3791/2007
- Levelt P.F., Joiner J., Tamminen J., Veefkind J.P., Bhartia P.K., Stein Zweers D.C., Duncan B.N., Streets D.G., Eskes H., van der A R., McLinden C., Fioletov V. et al. The Ozone Monitoring Instrument: overview of 14 years in space // Atmos. Chem. Phys. 2018. V. 18. P. 5699–5745. https://doi.org/10.5194/acp-18-5699-2018
- Lindenmaier R., Batchelor R.L., Strong K., Fast H., Goutail F., Kolonjari F., Thomas McElroy C., Mittermeier R.L. Walker K. A. An evaluation of infrared microwindows for ozone retrievals using the Eureka Bruker 125HR Fourier transform spectrometer // J. Quant. Spectrosc. Rad. 2010. V. 111. P. 569–585. https://doi.org/10.1016/j.jqsrt.2009.10.013
- McPeters R., Kroon M., Labow G., Brinksma E., Balis D., Petropavlovskikh I., Veefkind J.P., Bhartia P.K., Levelt P.F. Validation of the Aura Ozone Monitoring Instrument total column ozone product // J. Geophys. Res. 2008. V. 113. D15S14. doi: 10.1029/2007JD008802.
- McPeters R., Frith S., Kramarova N., Ziemke J., Labow G. Trend quality ozone from NPP OMPS: the version 2 processing // Atmos. Meas. Tech. 2019. V. 12. P. 977–985. https://doi.org/10.5194/amt-12-977-2019
- Nerobelov G., Timofeyev Y., Virolainen Y., Polyakov A., Solomatnikova A., Poberovskii A., Kirner O., Al-Subari O., Smyshlyaev S., Rozanov E. Measurements and Modelling of Total Ozone Columns near St. Petersburg, Russia // Remote Sens. 2022. V. 14. P. 3944. https://doi.org/10.3390/rs14163944
- Orfanoz-Cheuquelaf A., Rozanov A., Weber M., Arosio C., Ladstätter-Weißenmayer A., Burrows J.P. Total ozone column from Ozone Mapping and Profiler Suite Nadir Mapper (OMPS-NM) measurements using the broadband weighting function fitting approach (WFFA) // Atmos. Meas. Tech. 2021. V. 14. P. 5771–5789. https://doi.org/10.5194/amt-14-5771-2021
- Plaza-Medina E.F., Stremme W., Bezanilla A., Grutter M., Schneider M., Hase F., Blumenstock T. Ground-based remote sensing of O3 by high- and medium-resolution FTIR spectrometers over the Mexico City basin // Atmos. Meas. Tech. 2017. V. 10. P. 2703–2725. https://doi.org/10.5194/amt-10-2703-2017
- Rinsland C.P, Connor B.J, Jones N.B, Boyd I., Matthews W.A., Goldman A., Murcray F.J., Murcray D.G., David S.J., Pougatchev N.S. Comparison of infrared and Dobson total ozone columns measured from Lauder, New Zealand // Geophys. Res. Lett. 1996. V. 23. P. 1025–1028.
- Rodgers C.D. Characterization and error analysis of profiles retrieved from remote sounding measurements // J. Geophys. Res. 1990. V. 95. V. 5587–5595.
- Rodgers C.D. Inverse methods for atmospheric sounding: theory and practice. Series on atmospheric, oceanic and planetary physics. Vol. 2. // New Jersey: World Scientific Publishing Ltd. 2000. 238 p.
- Senten C., De Mazière M., Vanhaelewyn G., Vigouroux C. Information operator approach applied to the retrieval of the vertical distribution of atmospheric constituents from ground-based high-resolution FTIR measurements // Atmos. Meas. Tech. 2012. V. 5. P. 161–180. https://doi.org/10.5194/amt-5-161-2012
- SFIT. The University Corporation for Atmospheric Research, https://wiki.ucar.edu/display/sfit4.
- Takele Kenea S., Mengistu Tsidu G., Blumenstock T., Hase F., von Clarmann T., Stiller G.P. Retrieval and satellite intercomparison of O3 measurements from ground-based FTIR Spectrometer at Equatorial Station: Addis Ababa, Ethiopia // Atmos.Meas. Tech. 2013. V. 6. P. 495–509. https://doi.org/10.5194/amt-6-495-2013
- Timofeyev Y., Virolainen Y., Makarova M., Poberovsky A., Polyakov A., Ionov D., Osipov S., Imhasin H. Ground-based spectroscopic measurements of atmospheric gas composition near Saint Petersburg (Russia) // J. Molecular Spectroscopy. 2016. V. 323. P. 2–14. doi: 10.1016/j.jms.2015.12.007.
- Viatte C., Gaubert B., Eremenko M., Hase F., Schneider M., Blumenstock T., Ray M., Chelin P., Flaud J.-M., Orphal J. Tropospheric and total ozone columns over Paris (France) measured using medium-resolution ground-based solar-absorption Fourier-transform infrared spectroscopy // Atmos. Meas. Tech. 2011. V. 4. P. 2323–2331. doi: 10.5194/amt-4-2323-2011.
- Virolainen Y.A., Poberovsky A.V. Intercomparison of satellite and ground-based ozone total column measurements // Izvestiya, Atmospheric and Oceanic Physics. 2013. V. 49(9). P. 993–1001. doi: 10.1134/S0001433813090235.
- Visheratin K.N. Analytical method for suppressing Gibbs lobes in spectral analysis // XXVII International Symposium "Atmospheric and Ocean Optics. Atmospheric Physics" July 05–09, 2021, Moscow. doi: 10.13140/RG.2.2.15826.48327.
- WACCAM. Whole Atmosphere Community Climate Model, https://www2.acom.ucar.edu/gcm/waccm; ftp://acd.ucar.edu/user/jamesw/IRWG/2013/
- WMO, 2022. World Meteorological Organization Executive Summary. Scientific Assessment of Ozone Depletion: 2022, GAW Report No. 278, 56 p. https://ozone.unep.org/science/assessment/sap/
- Wunch D., Taylor J.R., Fu D., Bernath P., Drummond J.R., Midwinter C., Strong K., Walker K.A. Simultaneous ground-based observations of O3, HCl, N2O, and CH4 over Toronto, Canada by three Fourier transform spectrometers with different resolutions // Atmos. Chem. Phys. 2007. V. 7. P. 1275–1292. doi: 10.5194/acp-7-1275-2007.
- Yamanouchi S., Strong K., Colebatch O., Conway C., Jones D.B.A., Lutsch E. Roche S. Atmospheric trace gas trends obtained from FTIR column measurements in Toronto, Canada from 2002–2019 // Environ. Res. Commun.2021. V. 3. N. 5. doi: 10.1088/2515-7620/abfa65.
- Zhou M., Wang P., Langerock B., Vigouroux C., Hermans C., Kumps N., Wang T., Yang Y., Ji D., Ran L., Zhang J., Xuan Y., Chen H., Posny F., Duflot V., Metzger J.-M., De Mazière M.Ground-based Fourier transform infrared (FTIR) O3 retrievals from the 3040 cm–1 spectral range at Xianghe, China // Atmos. Meas. Tech. 2020. V. 13. P. 5379–5394. https://doi.org/10.5194/amt-13-5379-2020, 2020
Supplementary files








