Сравнительный анализ индикаторов формирования древесной растительности на залежных землях среднерусской лесостепи на основе данных дистанционного зондирования Земли
- Авторы: Терехин Э.А.1
-
Учреждения:
- Белгородский государственный национальный исследовательский университет
- Выпуск: № 1 (2024)
- Страницы: 29-39
- Раздел: ИСПОЛЬЗОВАНИЕ КОСМИЧЕСКОЙ ИНФОРМАЦИИ О ЗЕМЛЕ
- URL: https://ogarev-online.ru/0205-9614/article/view/260450
- DOI: https://doi.org/10.31857/S0205961424010037
- EDN: https://elibrary.ru/GMXQAX
- ID: 260450
Цитировать
Полный текст
Аннотация
Формирование древесной растительности на залежных землях вследствие постагрогенных сукцессий приводит к изменениям в растительном покрове ландшафтов Среднерусской лесостепи. В статье проведен сравнительный анализ индикаторов лесистости и ее динамики для залежей региона, рассчитанных на основе спутниковых данных Landsat OLI, Sentinel-2 MSI, MODIS. Установлено, что показатели, вычисляемые по данным Sentinel-2, характеризуются наиболее сильной связью с лесистостью залежных земель. Для показателей, рассчитанных на их основе, также наиболее высока статистическая значимость различий между отдельными градациями величины проективного покрытия залежей древесной растительностью. Показатели многолетней динамики вегетационного индекса, вычисляемые на основе данных MODIS, наиболее информативны для сравнения внутризональных различий в интенсивности прироста лесистости залежных земель. При этом распределение залежей в подзонах по величине лесистости более сильно проявляется в гистограммах спектрально-отражательных характеристик коротковолнового инфракрасного диапазона, рассчитанных по данным Sentinel-2. Различия в породном составе насаждений, формирующихся на залежах, наиболее сильно оказывают влияние на значения вегетационного индекса, извлеченные из данных Landsat OLI. Для них установлена более высокая чувствительность к различиям в породном составе насаждений на залежных землях в сравнении с коэффициентами спектральной яркости.
Полный текст
ВВЕДЕНИЕ
Оценка восстановительных сукцессий на залежных землях выступает одной из ключевых задач в исследованиях ландшафтов лесной (Бурлуцкий, 2021; Данилов, 2023), лесостепной (Черкасов, 2009) и степной (Ходячих, 2021) природных зон. Восстановительные сукцессии на постагрогенных землях в условиях зоны лесов и лесостепи приводят к формированию древесной растительности (Карелин и др., 2017; Терехин, 2022; Широких и др., 2023). Процессы формирования лесных экосистем вместе с тем оказывают существенное влияние на надземную биомассу и потоки углерода (Lappalainen et al., 2014; Velázquez et al., 2022), что определяет анализ изменений в лесистости важнейшей задачей географических исследований.
Распространение залежных земель в Центральном Черноземье и Орловской области обусловлено выводом части земель из сельскохозяйственного использования, который наиболее значительно происходил в период последнего десятилетия XX в. – начала первого десятилетия XXI в. (Люри и др., 2010). Древесно-кустарниковая стадия в условиях Среднерусской лесостепи во многих случаях является завершающей стадией восстановительных сукцессий (Парахневич, Кирик, 2017). Интенсивность формирования древесной растительности на залежных землях в регионе характеризуется достаточно значительными внутризональными различиями. Ее следствием выступают высокие вариации в величине покрытия древесной растительности или лесистости залежей. Среднерусская лесостепь характеризуется умеренно-континентальным климатом и вариаций природных условий от лесной зоны на севере до степи на юге. В ее пределах выделяют подзоны северной, типичной и южной лесостепи (Физико-географическое районирование, 1961).
Учитывая, что сукцессионные процессы при условии отсутствия антропогенного вмешательства характеризуются непрерывностью, значительные перспективы их изучения связаны с использованием данных дистанционного зондирования Земли (Данилова и др., 2017; Liu et al., 2019; Gerlein-Safdi et al., 2020; He et al., 2022). Благодаря одновременному охвату обширных территорий они позволяют получить представление о пространственных различиях в лесистости залежных земель (Ershov et al., 2022; Velázquez et al., 2022). Вместе с тем актуальность приобретает определение спектральных характеристик, чувствительных к изменениям в ней (Wei et al., 2021; Shang et al., 2022), и оценка возможностей конкретных типов спутниковых данных для количественной оценки процесса формирования древесной растительности на залежных землях.
Согласно ранее выполненным исследованиям (Терехин, 2021, 2022) особенности лесистости залежей связаны с рядом спектрально-отражательных характеристик, измеряемых на основе данных Landsat 8 OLI, Sentinel-2, MODIS. Каждый из них обладает своими преимуществами. Снимки Sentinel-2 MSI характеризуется наиболее высоким пространственным разрешением, MODIS – наибольшей частотой получения, Landsat 8 OLI – сочетанием оптимального пространственного разрешения и достаточно большим временным охватом. В то же время остаются открытыми вопросы, связанные с эффективностью применения тех или иных спутниковых данных для анализа определенных характеристик лесообразовательного процесса. К ним относятся фактические значения лесистости залежей, среднегодовая величина ее прироста, внутризональные различия в скорости формирования древесной растительности, чувствительность к типу формирующихся лесных насаждений. Ответы на эти вопросы могут быть получены методом сравнительного анализа характеристик лесистости и спектральных показателей, оцененных по данным с разных сенсоров, но на одной и той же экспериментальной выборке. Она должна интегрировать сведения о наборе фактических параметров залежей и значениях спектрально-отражательных характеристик, измеренных разными съемочными системами, но в максимально идентичных условиях съемки.
Цель статьи – сравнение эффективности показателей лесистости и ее динамики на залежных землях Среднерусской лесостепи, вычисляемых на основе различных типов спутниковых данных. В работе проведен сопоставительный анализ индикаторов лесистости залежей, рассчитываемых по данным MODIS, Landsat-8 OLI и Sentinel-2 MSI. Задачи исследования включали: а) сравнение индикаторов лесистости залежей и величины ее среднегодового прироста; б) сопоставление показателей внутризональных различий в лесистости залежных земель; в) сравнение спектрально-отражательных характеристик залежей с различными типами древесной растительности.
МЕТОДИКА ИССЛЕДОВАНИЯ
Исследование проведено на территории лесостепной природной зоны в пределах 6 областей: Белгородской, Курской, Орловской, Липецкой, Тамбовской и Воронежской (рис. 1). Анализ информативности спектрально-отражательных характеристик, вычисленных на основе данных Landsat OLI, MODIS и Sentinel-2, осуществлен с использованием сформированной базы данных, включающей сведения о залежах региона.
Рис. 1. Местоположение территории исследования. 1 – границы анализируемой территории.
Она содержала информацию о фактической лесистости угодий в конце второго десятилетия XXI в., особенностях их растительного покрова, типе формирующихся лесных насаждений, времени пребывания в залежном состоянии и наборе спектрально-отражательных характеристик. Он включал ранее установленные, наиболее информативные показатели лесистости, рассчитанные по снимкам с анализируемых спутниковых сенсоров. К ним относятся значения коэффициентов спектральной яркости (КСЯ) коротковолнового инфракрасного (SWIR) диапазона и индекса NDVI по данным Landsat 8 OLI, значения индекса NDVI и показатель tau Манна-Кендалла, характеризующий его многолетнюю динамику по данным MODIS (Терехин, 2021), значения коэффициентов спектральной яркости SWIR-диапазонов и индекса NDVI, вычисленные по данным Sentinel-2 (Терехин, 2022). База данных, включающая сведения о залежах, создана методом их выявления и оценки на основе разновременных снимков сверхвысокого пространственного разрешения, полученных в течение первых двух десятилетий XXI в., а также с применением разновременных снимков Landsat 5 TM – Landsat 8 OLI и полевой информации. Анализируемая выборка угодий включала 342 залежи, суммарной площадью 17182.7 га при средней площади 50.2 га.
Значения коэффициентов спектральной яркости SWIR-диапазона (1.56–1.66 мкм) и значения вегетационного индекса NDVI по данным Landsat OLI вычислены на основе снимков августа 2018 г., охватывающих исследуемую территорию (10 спутниковых сцен). Значения вегетационного индекса NDVI по данным MODIS вычислены на основе информационных продуктов MOD13Q1 (16-дневных композитных изображений), включающих значения вегетационного индекса августа 2018 года. Значения параметра tau Манна-Кендалла рассчитано на основе многолетних рядов NDVI по изображениям MOD13Q1, полученным в период вегетации каждого года (начало апреля – конец октября) с 2000 по 2019 гг. Значения коэффициентов спектральной яркости по данным Sentinel-2 рассчитаны на основе снимков августа 2019 г. на территорию исследования (21 изображение). На основе этих же снимков вычислены значения вегетационного индекса.
Снимки Landsat-8 и Sentinel-2 прошли атмосферную и радиометрическую коррекцию и были пересчитаны в безразмерные коэффициенты спектральной яркости (КСЯ). Информационные продукты MOD13Q1 создаются на основе атмосферно и радиометрически откорректированных снимков MODIS. Величины всех анализируемых показателей для конкретных угодий рассчитаны методом зональной статистики в пределах контуров угодий. Фактические характеристики залежей (лесистость, тип древесной растительности) оценены на основе совместного использования снимков сверхвысокого пространственного разрешения (1 м) 2000–2020 гг., полученных из интернет-архивов открытого доступа, и снимков Landsat-8 OLI конца второго десятилетия XXI в. Все анализируемые залежные земли подобраны таким образом, чтобы находиться в сходных геоморфологических условиях, вне участков повышенного увлажнения. Выборка включала репрезентативное число угодий с разной величиной лесистости, разными типами формирующихся лесных насаждений (лиственные, хвойные, смешанные). Дополнительным условием выступал учет минимальной площади угодий вследствие ограничений пространственного разрешения снимков MODIS. С его учетом для анализа стремились подбирать залежные земли с площадью от 20 га.
Сравнение эффективности спектральных показателей для оценки лесистости залежей проведено на основе группы критериев:
− сила связи с лесистостью одновозрастных залежей;
− статистическая значимость различий для разных градаций величины их покрытия древесной растительностью;
− наличие связи с внутризональными различиями лесистости залежных земель;
− чувствительность к различиям в породном составе древесной растительности, формирующейся на оставленных аграрных землях.
Для анализа каждого критерия формировалась отдельная выборка залежей. Оценка силы связи с лесистостью проведена на основе выборки одновозрастных залежей, отдельно для угодий с древесной растительностью из лиственных, хвойных пород и со смешанными лесными насаждениями. Значимость различий спектральных показателей для отдельных градаций лесистости осуществлена с использованием дисперсионного анализа. Связь с внутризональными различиями лесистости изучена методом сравнения статистических характеристик залежных земель с древесной растительностью из лиственных пород, расположенных в подзонах северной, типичной и южной лесостепи. Чувствительность к различиям в породном составе угодий (лиственный, хвойный, смешанный) изучена на основе залежей с соответствующими типами лесных насаждений, но аналогичной величиной лесистости – выше 0.65. Обозначенный порог выбран в связи с тем, чтобы на спектрально-отражательные свойства угодий ключевое влияние оказывала именно древесная растительность, присутствующая на них, а не травянистые участки.
РЕЗУЛЬТАТЫ И ИХ ОБСУЖДЕНИЕ
Формирование сомкнутых лесных насаждений достаточно выражено проявляется на многозональных космических снимках при анализе одиночных и разновременных изображений (рис. 2). В северной лесостепи этот процесс протекает достаточно интенсивно и за период порядка двух десятилетий, следующих после прекращения аграрного использования, на многих участках залежей успевают сформироваться сомкнутые лесные насаждения.
Рис. 2. Отображение динамики лесистости залежных земель в Среднерусской лесостепи на снимках Landsat TM/ OLI. Синтез каналов SWIR2 – SWIR1 – RED (2-й, 1-й коротковолновые инфракрасные – красный).
Вместе с тем возможность формирования многолетних рядов наблюдений предоставляют только некоторые сенсоры. При ее отсутствии, сила связи со среднегодовой величиной прироста лесистости может быть оценена на основе анализа лесистости одновозрастных оставленных аграрных земель.
Различия спектрально-отражательных характеристик залежей, зависящих от нее, в этом случае могут выступать показателями отличий в интенсивности лесообразовательного процесса.
Оценка силы связи с величиной прироста лесистости. Сравнение показателей прироста лесистости, оцененных по данным Landsat-8, Sentinel-2 и MODIS на аналогичные сроки (конец второго десятилетия XXI в.), показало, что среди изученных спектрально-отражательных характеристик наиболее сильной связью с лесистостью одновозрастных залежей характеризуются коэффициенты спектральной яркости коротковолнового инфракрасного (SWIR) диапазона, измеренные по данным Sentinel-2 (табл. 1). Вместе с тем показатели их силы связи с лесистостью ненамного превышают аналогичные величины, измеренные по данным Landsat-8 OLI. Установленная особенность характерна для залежей с разными типами древесной растительности. Непараметрический коэффициент корреляции Спирмена использован для анализа силы связи с лесистостью в связи с тем, что зависимости между ней и спектрально-отражательными характеристиками не линейны (Терехин, 2022) и коэффициент корреляции Пирсона будет вследствие этого менее объективным критерием. Из таблицы видно, что значения вегетационного индекса во всех случаях характеризуются меньшей корреляцией с лесистостью залежей, чем отражательные характеристики инфракрасного диапазона. Среди них она наиболее высокая для величин, рассчитанных по данным Sentinel-2. Все коэффициенты корреляции статистически значимы на уровне 0.05.
Таблица 1. Коэффициенты корреляции Спирмена между фактической лесистостью залежей и их спектрально-отражательными характеристиками по данным Landsat OLI, MODIS и Sentinel-2
Тип древесной растительности на залежах | КСЯ SWIR1L | NDVIL | NDVI M | Tau M-KM | КСЯ SWIR1 S | КСЯ SWIR2 S | NDVI S |
Лиственная | −0.87 | 0.67 | 0.70 | 0.76 | −0.88 | −0.90 | 0.80 |
Хвойная | −0.93 | 0.71 | 0.58 | 0.84 | −0.95 | −0.94 | 0.88 |
Смешанная | −0.81 | 0.69 | 0.52 | 0.31 | −0.84 | −0.83 | 0.74 |
КСЯ – коэффициенты спектральной яркости. Tau M-K – tau Манна-Кендалла на основе многолетних рядов вегетационного индекса NDVI. L – значения, рассчитанные по данным Landsat OLI, M – по данным MODIS, S – по Sentinel-2.
Причиной несколько более высокой эффективности показателей, вычисленных по данным Sentinel-2 MSI в сравнении с данными Landsat 8 OLI, может выступать их более высокое пространственное разрешение. Для SWIR-каналов Sentinel-2 оно (20 м) в 1,5 раза выше, чем аналогичных каналов Landsat OLI (30 м) при аналогичном радиометрическом разрешении. Более высокое пространственное разрешение снимков Sentinel-2 обуславливает меньшее влияние пограничных пикселей на спектрально-отражательные свойства залежей. В таких пикселях, т. е. расположенных на границе залежей с другими типами угодий, могут присутствовать спектральные смеси обоих типов объектов. Уменьшение размера пикселя до определенного предела может обуславливать их меньшее влияние и, соответственно, более высокую точность оценки спектральной отражательной способности.
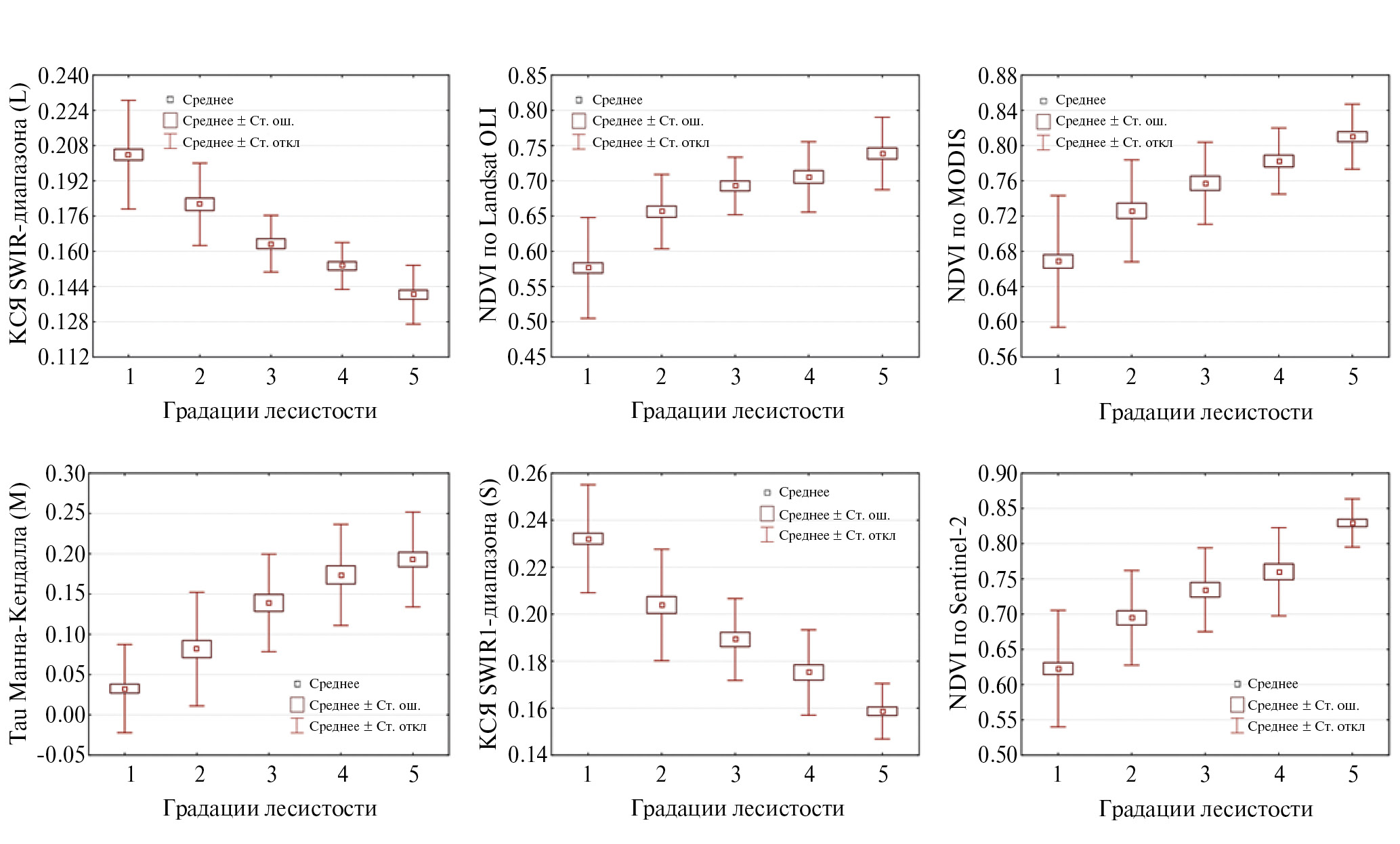
Оценка значимости различий для отдельных градаций лесистости залежей. Статистическая значимость различий спектрально-отражательных характеристик для градаций лесистости залежей, выступает другим ключевым критерием их информативности при ее оценке. Несмотря на то, что показатели, рассчитанные на основе всех анализируемых спутниковых данных, выявили достаточно высокую чувствительность к различиям в градациях лесистости залежей (рис. 3), наибольшая информативность характерна для спектрально-отражательных характеристик SWIR1-диапазона, вычисляемых по Sentinel-2, и чуть меньшая – по Landsat OLI. Проведенный анализ показал, что для спектрально-отражательных характеристик залежей, рассчитанных по ним, характерны статистически значимые различия, присутствующие одновременно между всеми градациями лесистости (0–20 %, 20–40 %, 40–60 %, 60–80 %, 80–100 %). Они установлены методом взаимного сравнения спектрально-отражательных характеристик для разных градаций лесистости.
Рис. 3. Сравнение спектрально-отражательных характеристик для градаций лесистости залежей, рассчитанных по разным типам спутниковых данных. Градации лесистости: 1 – 0–0.2; 2 – 0.2–0.4; 3 – 0.4–0.6; 4 – 0.6–0.8; 5 – 0.8–1.0. L – Landsat OLI. M – MODIS. S – Sentinel-2.
Вместе с тем все оцениваемые анализируемые спектрально-отражательные характеристики достаточно выражено показали общую тенденцию к изменению вследствие роста или снижения лесистости залежных земель. Отличие инфракрасных коэффициентов спектральной яркости от значений вегетационного индекса при этом состоит в том, что они находятся в обратной зависимости от величины лесистости угодий.
Оценка связи с внутризональными различиями лесистости залежей. Внутризональные различия залежных земель Среднерусской лесостепи по величине их лесистости определяются интенсивностью естественного прироста лесистости. Для объективности сравнения анализировали только залежи с древесной растительностью из лиственных пород, чтобы исключить влияние фактора отличий в породном составе насаждений (лиственный или хвойный). Сравнение фактической лесистости одновозрастных залежей в подзонах лесистости и значений спектральных характеристик, соответствующих им, показало, что по абсолютным значениям в наибольшей степени фактическим внутризональным различиям соответствуют показатели tau Манна-Кендалла, вычисленные на основе многолетних рядов NDVI (по MOD13Q1) периода вегетации (табл. 2). Например, лесистость одновозрастных залежей в подзоне северной лесостепи превышала аналогичный показатель в типичной лесостепи в конце второго десятилетия XXI в. (2019 г.) более чем в 2 раза. Соотношение значений tau Манна-Кендалла, рассчитанных для подзон, оказалось наиболее близко к этой величине в сравнении с другими спектральными характеристиками. Вместе с тем наиболее высокая статистическая значимость внутризональных различий залежей характерна для коэффициентов спектральной яркости коротковолнового инфракрасного (SWIR) диапазона по данным Landsat OLI, либо Sentinel-2 MSI.
Таблица 2. Сравнение фактических различий лесистости залежей в подзонах лесостепи и средних значений их спектрально- отражательных характеристик по данным Landsat OLI, MODIS и Sentinel-2
Подзона лесостепи | Лесистость | КСЯ SWIR1L | NDVIL | NDVI M | Tau M-KM | КСЯ SWIR1 S | КСЯ SWIR2 S | NDVI S |
Северной | 0.69 | 0.15 | 0.71 | 0.78 | 0.17 | 0.17 | 0.08 | 0.78 |
Типичной | 0.30 | 0.18 | 0.64 | 0.72 | 0.08 | 0.21 | 0.12 | 0.68 |
Южной | 0.08 | 0.23 | 0.52 | 0.63 | 0.01 | 0.25 | 0.14 | 0.61 |
КСЯ – коэффициенты спектральной яркости. Tau M-K – tau Манна-Кендалла на основе многолетних рядов вегетационного индекса NDVI. L – значения, рассчитанные по данным Landsat OLI, M – по данным MODIS, S – по данным Sentinel-2.
При этом все изученные показатели статистически значимо различаются для залежей разных подзон лесостепи. Эффективность показателей многолетней динамики вегетационного индекса, вычисляемых по данным MODIS, в данном случае может быть обусловлена тем, что они рассчитываются на основе многолетних рядов из композитных изображений периода вегетации (13 единиц в год с апреля по октябрь), а не по одиночным снимкам. Определенные различия в абсолютных значениях вегетационного индекса или инфракрасных коэффициентов спектральной яркости, рассчитанных для залежей одних и тех же подзон, но по разным сенсорам, обуславливаются отличиями интервалов длин волн в съемочных системах Landsat OLI, MODIS и Sentinel-2.
Наилучшим показателем фактического распределения залежей в подзонах лесостепи по величине лесистости выступают спектрально-отражательные характеристики 11-го канала (коротковолнового инфракрасного, SWIR), рассчитанные по Sentinel-2. На гистограммах для подзоны северной лесостепи (рис. 4) наглядно просматривается доминирование залежей с высокими значениями лесистости и одновременно низкими значениями спектральной отражательной способности. Как видно из рис. 4, в подзоне северной лесостепи в конце второго десятилетия XXI в. доминировали залежи с высокими значениями лесистости. Значения коротковолнового инфракрасного диапазона, находящиеся в обратной зависимости от нее, для северной лесостепи показали преобладание залежей с низкими значениями отражательной способности, т. е. залежей с высокой лесистостью.
Рис. 4. Распределение одновозрастных залежей по величине лесистости в спектрально-отражательных характеристиках SWIR-диапазона (по Sentinel‑2) в подзонах лесостепи в конце второго десятилетия XXI в.
В подзоне типичной лесостепи распределение залежей смещается в сторону более низких значений лесистости и одновременно, в обратном направлении происходит их смещение в гистограмме в сторону более высоких значений коэффициентов спектральной яркости. В подзоне южной лесостепи в силу доминирования залежей с очень низкими значениями лесистости выраженных закономерностей в распределении спектрально-отражательных характеристик не наблюдается. При этом присутствие в гистограмме залежей с достаточно высокими значениями отражательной способности (выше 0.22) в коротковолновом инфракрасном диапазоне выступает показателем доминирования угодий с очень низкой величиной покрытия древесной растительности (ниже 0.2).
Оценка чувствительности к породному составу лесных насаждений на залежах. Наличие на залежах древесной растительности из лиственных, хвойных пород или смешанных насаждений достаточно существенно проявляется при визуальном анализе угодий в вариантах синтеза инфракрасных и красных каналов спектра (рис. 5), одновременно выступая надежным дешифровочным признаком таких угодий при их выявлении на космических снимках. Соответствующие особенности являются предварительным критерием высокой степени влияния породного состава насаждений на отражательную способность залежных земель.
Рис. 5. Примеры залежных земель Среднерусской лесостепи с лиственными (а), хвойными (б) и (в) смешанными насаждениями на снимках Sentinel‑2 от 25.08.2018. Синтез каналов 12–11–34 (SWIR2 – SWIR1 – RED).
Анализ угодий с лесистостью выше 65 % показал, что наилучшими индикаторами различий залежей по породному составу насаждений являются значения вегетационного индекса, оцененные на основе данных Landsat OLI (табл. 3).
Таблица 3. Сравнение средних значений спектрально-отражательных характеристик по данным Landsat OLI, MODIS и Sentinel-2 для залежей с лиственными, хвойными и смешанными насаждениями
Тип насаждений | КСЯ SWIR1L | NDVIL | NDVI M | Tau M-KM | КСЯ SWIR1 S | КСЯ SWIR2 S | NDVI S |
Лиственный | 0.144 ± 0.002 | 0.728 ± 0.007 | 0.801 ± 0.005 | 0.193 ± 0.008 | 0.162 ± 0.002 | 0.075 ± 0.002 | 0.810 ± 0.007 |
Смешанный | 0.139 ± 0.005 | 0.695 ± 0.010 | 0.782 ± 0.011 | 0.202 ± 0.016 | 0.162 ± 0.006 | 0.080 ± 0.004 | 0.790 ± 0.012 |
Хвойный | 0.133 ± 0.006 | 0.606 ± 0.012 | 0.713 ± 0.013 | 0.376 ± 0.039 | 0.129 ± 0.005 | 0.072 ± 0.004 | 0.740 ± 0.011 |
КСЯ – коэффициенты спектральной яркости. Tau M-K – tau Манна-Кендалла на основе многолетних рядов вегетационного индекса NDVI. L – значения, рассчитанные по данным Landsat OLI, M – по данным MODIS, S – по данным Sentinel-2.
Для них характерны взаимные статистически значимые различия (по величине наименьшей существенности разности) между всеми анализируемыми типами залежей: с лиственными, хвойными и смешанными лесными насаждениями. Вместе с тем стоит отметить более высокую эффективность значений вегетационного индекса и показателей его многолетней динамики (tau Манна-Кендалла) в сравнении с коэффициентами спектральной яркости.
Значения вегетационного индекса NDVI, независимо от того, на основе каких спутниковых данных они были рассчитаны (Landsat, MODIS, Sentinel-2), статистически значимо различны для залежей с лиственными и хвойными породами. Они последовательно уменьшаются в ряду залежей: с лиственными породами – со смешанными насаждениями – с хвойными породами. Для показателя многолетней динамики вегетационного индекса (tau Манна-Кендалла) в этом же ряду характерна обратная закономерность. Для коэффициентов спектральной яркости коротковолнового инфракрасного диапазона, ранее показавших высокую чувствительность к лесистости залежей, такой высокой чувствительности к различиям в породном составе залежей не выявлено.
В свою очередь, более высокая чувствительность вегетационного индекса к присутствию на залежах лиственных, хвойных или смешанных насаждений в сравнении с коэффициентами спектральной яркости может быть обусловлена тем, что NDVI находится в зависимости от надземной фитомассы. Она достаточно существенно различается для широколиственных и хвойных лесов (Базилевич, 1993). Показатель tau Манна-Кендалла, вычисляемый на основе многолетних рядов вегетационного индекса, таким образом, характеризует интенсивность лесообразовательного процесса на них и одновременно его отличия на залежах с древесной растительностью различного породного состава. В ряду залежей “с лиственными породами – со смешанными насаждениями – с хвойными породами” величина годового прироста лесистости растет и значения tau Манна-Кендалла, вычисляемые по данным MODIS (MOD13Q1), эти различия наглядно продемонстрировали. Несмотря на относительно невысокое пространственное разрешение MODIS, за счет применения многолетних рядов наблюдений, вычисляемых на их основе, показана достаточно высокая контрастность различий в скорости прироста лесистости постагрогенных угодий.
ЗАКЛЮЧЕНИЕ
Процессы формирования древесной растительности, протекающие на залежных землях, влияют на ряд их спектрально-отражательных характеристик. Сравнительный анализ спутниковых данных Landsat-8 OLI, Sentinel-2 MSI и информационных продуктов, создаваемых на основе снимков MODIS, показал, что наиболее сильной связью с лесистостью залежей характеризуются значения спектральной отражательной способности коротковолнового инфракрасного диапазона, измеренные по данным Sentinel-2. При этом их сила связи с лесистостью ненамного выше, чем у аналогичных характеристик, вычисленных по данным Landsat OLI. Наиболее эффективным индикатором внутризональных различий залежей по величине прироста лесистости являются абсолютные значения параметра tau Манна-Кендалла, рассчитываемые на основе многолетних рядов вегетационного индекса по данным MODIS. При этом наилучшими показателями распределения залежей по величине лесистости в подзонах лесостепи выступают коэффициенты спектральной яркости коротковолнового инфракрасного диапазона по данным Sentinel-2. Значения вегетационного индекса NDVI по данным Landsat OLI наиболее чувствительны к породному составу насаждений, формирующихся на постагрогенных угодьях. Они статистически значимо различаются для залежей с лиственными, хвойными и смешанными насаждениями. Вместе с тем значения вегетационного индекса и параметры его многолетней динамики показали более высокую чувствительность к породному составу древесной растительности залежей в сравнении с инфракрасными коэффициентами спектральной яркости.
ИСТОЧНИК ФИНАНСИРОВАНИЯ
Исследование выполнено за счет гранта Российского научного фонда № 22-27-00291.
Об авторах
Э. А. Терехин
Белгородский государственный национальный исследовательский университет
Автор, ответственный за переписку.
Email: terekhin@bsu.edu.ru
Россия, Белгород
Список литературы
- Базилевич Н. И. Биологическая продуктивность экосистем Северной Евразии. М.: Наука. 1993. 293 с.
- Бурлуцкий В. А., Мазуров В. Н., Семешкина П. С., Косолапов В. П. Продукционный потенциал и освоение растительных сообществ залежных земель Мещовского ополья в Калужской области // Вестник российской сельскохозяйственной науки. 2021. № 1. С. 45–52.
- Данилов Д. А., Яковлев А. А., Крылов И. А. Формирование естественных растительных ассоциаций на постагрогенных землях // Известия Санкт-Петербургской лесотехнической академии. 2023. № 242. С. 60–82.
- Данилова И. В., Корец М. А., Рыжкова В. А.Картографирование возрастных стадий лесной растительности на основе анализа разносезонных спутниковых изображений Landsat // Исследование Земли из космоса. 2017. № 4. С. 12–24.
- Карелин Д. В., Горячкин С. В., Кудиков А. В., Лопес де Гереню В. О., Лунин В. Н., Долгих А. В., Люри Д. И. Изменение запасов углерода и эмиссии СО2 в ходе постагрогенной сукцессии растительности на серых почвах в европейской части России // Почвоведение. 2017. № 5. С. 580–594. doi: 10.7868/80032180X17050070.
- Люри Д. И., Горячкин С. В., Караваева Н. А., Денисенко Е. А., Нефедова Т. Г. Динамика сельскохозяйственных земель России в ХХ веке и постагрогенное восстановление растительности и почв. Москва: ГЕОС, 2010. 416 с.
- Парахневич Т. М., Кирик А. И. Структура и динамика растительного покрова на разновозрастных залежах // Вестник аграрной науки. 2017. № 4(67). С. 43–50.
- Терехин Э. А. Индикация многолетних изменений в растительном покрове залежных земель лесостепи на основе рядов вегетационного индекса NDVI // Компьютерная оптика. 2021. Т. 45. № 2. С. 245–252. doi: 10.18287/2412-6179-CO-797.
- Терехин Э. А. Влияние лесистости залежных земель лесостепи на спектрально-отражательные характеристики по данным Sentinel-2 // Современные проблемы дистанционного зондирования Земли из космоса. 2022. Т. 19. № 4. С. 223–235. doi: 10.21046/2070-7401-2022-19-4-223-235.
- Трофимов И. А., Трофимова Л. С., Яковлева Е. П. Сохранение и оптимизация агроландшафтов Центрального Черноземья // Известия Российской академии наук. Серия географическая. 2017. № 1. С. 103–109. doi: 10.15356/0373-2444-2017-1-103-109.
- Физико-географическое районирование центральных черноземных областей. Воронеж: Изд-во Воронежского университета, 1961. 263 с.
- Ходячих И. Н. Смена аспектов фитоценозов на разновозрастных залежах степной зоны Южного Урала // Естественные и технические науки. 2021. № 5(156). С. 77–80.
- Черкасов Г. Н., Масютенко Н. П., Кузнецов А. В. Эволюция залежных земель и перспективы их использования в Центральном Черноземье // Земледелие. 2009. № 7. С. 9–11.
- Широких П. С., Федоров Н. И., Туктамышев И. Р., Бикбаев И. Г., Мартыненко В. Г. Закономерности лесовосстановительных сукцессий на заброшенных сельскохозяйственных землях Башкирского Предуралья // Экология. 2023. № 3. С. 179–187. doi: 10.31857/S036705972303006X.
- Ershov D. V., Gavrilyuk E. A., Koroleva N. V., Belova E. I., Tikhonova E. V., Shopina O. V., Titovets A. V., Tikhonov G. N. Natural Afforestation on Abandoned Agricultural Lands during Post-Soviet Period: A Comparative Landsat Data Analysis of Bordering Regions in Russia and Belarus // Remote Sensing. 2022. V. 14. № 2. doi: 10.3390/rs14020322.
- Gerlein-Safdi C., Keppel-Aleks G., Wang F., Frolking S., Mauzerall D. L. Satellite Monitoring of Natural Reforestation Efforts in China’s Drylands // One Earth. 2020. V. 2. № 1. P. 98–108. doi: 10.1016/j.oneear.2019.12.015.
- He S., Shao H., Xian W., Yin Z., You M., Zhong J., Qi J. Monitoring Cropland Abandonment in Hilly Areas with Sentinel-1 and Sentinel-2 Timeseries // Remote Sensing. 2022. V. 14. № 15. doi: 10.3390/rs14153806.
- Lappalainen H., Petäjä T., Kujansuu J., Kerminen V., Skorokhod A., Kasimov N., Bondur V. et al. Pan Eurasian Experiment (PEEX) – a research initiative meeting the grand challenges of the changing environment of the northern pan-eurasian arctic-boreal areas // Geography. Environment. Sustainability. 2014. № 2(7). P. 13–48.
- Liu C.-C., Chen Y.-H., Wu M.-H.M., Wei C., Ko M.-H. Assessment of forest restoration with multitemporal remote sensing imagery // Scientific Reports. 2019. V. 9. № 1. P. 7279. doi: 10.1038/s41598-019-43544-5.
- Shang R., Zhu Z., Zhang J., Qiu S., Yang Z., Li T., Yang X. Near-real-time monitoring of land disturbance with harmonized Landsats 7–8 and Sentinel-2 data // Remote Sensing of Environment. 2022. V. 278. P. 113073. doi: 10.1016/j.rse.2022.113073.
- Velázquez E., Martínez-Jaraíz C., Wheeler C., Mitchard E. T.A., Bravo F. Forest expansion in abandoned agricultural lands has limited effect to offset carbon emissions from Central-North Spain // Regional Environmental Change. 2022. V. 22. № 4. P. 132. doi: 10.1007/s10113-022-01978-0.
- Wei Z., Gu X., Sun Q., Hu X., Gao Y. Analysis of the Spatial and Temporal Pattern of Changes in Abandoned Farmland Based on Long Time Series of Remote Sensing Data // Remote Sensing. 2021. V. 13. № 13. doi: 10.3390/rs13132549.
Дополнительные файлы







