Registration Peculiarities of Wind Waves Breaking From Unmanned Aerial Vehicles
- Authors: Korinenko A.E.1,2, Malinovsky V.V.1,2, Kubryakov A.A.1
-
Affiliations:
- Marine Hydrophysical Institute of Russian Academy of Sciences
- Russian State Hydrometeorological University
- Issue: No 3 (2023)
- Pages: 13-26
- Section: ИСПОЛЬЗОВАНИЕ КОСМИЧЕСКОЙ ИНФОРМАЦИИ О ЗЕМЛЕ
- URL: https://ogarev-online.ru/0205-9614/article/view/136968
- DOI: https://doi.org/10.31857/S0205961423030041
- EDN: https://elibrary.ru/TYLTRY
- ID: 136968
Cite item
Full Text
Abstract
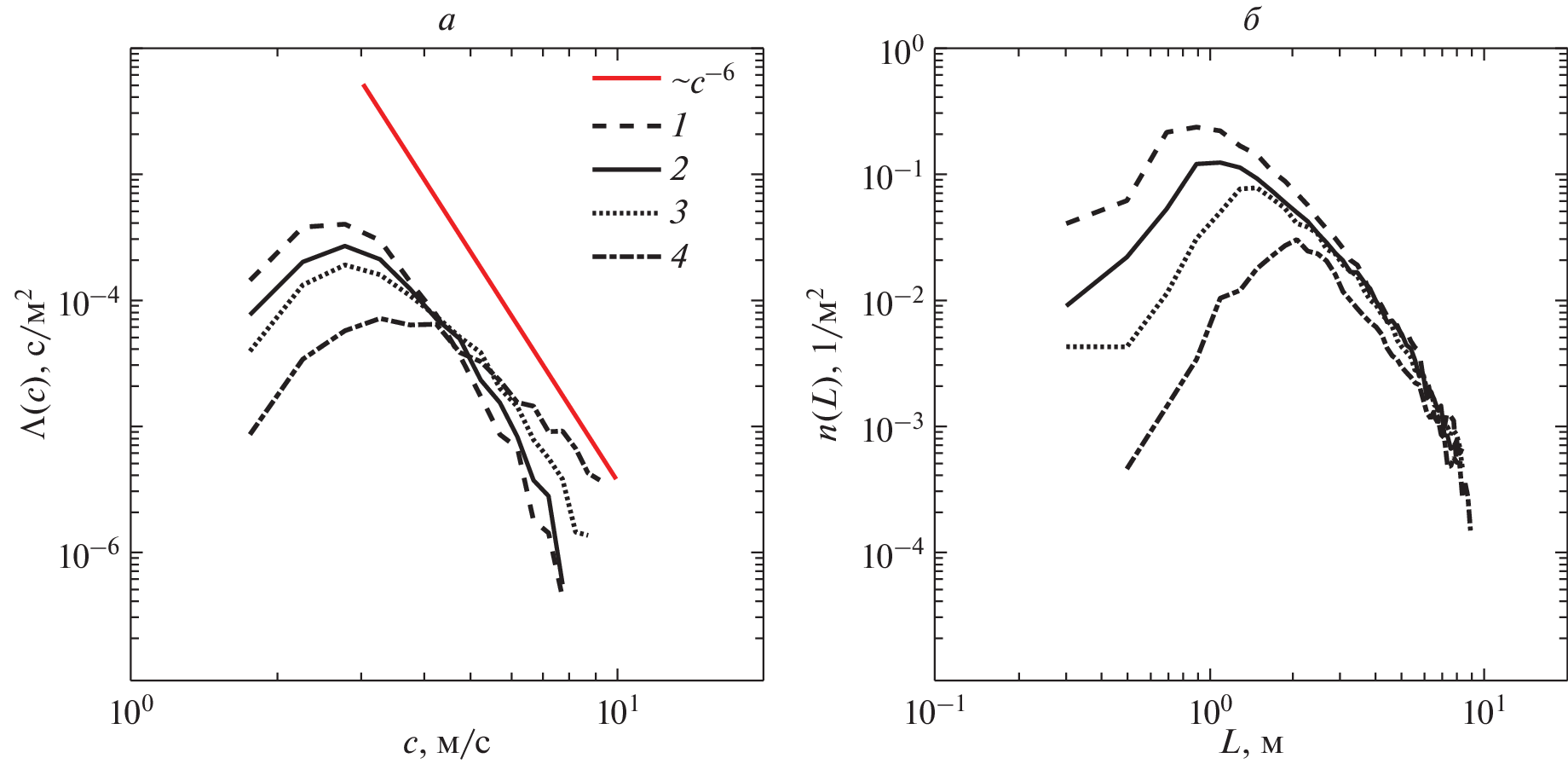
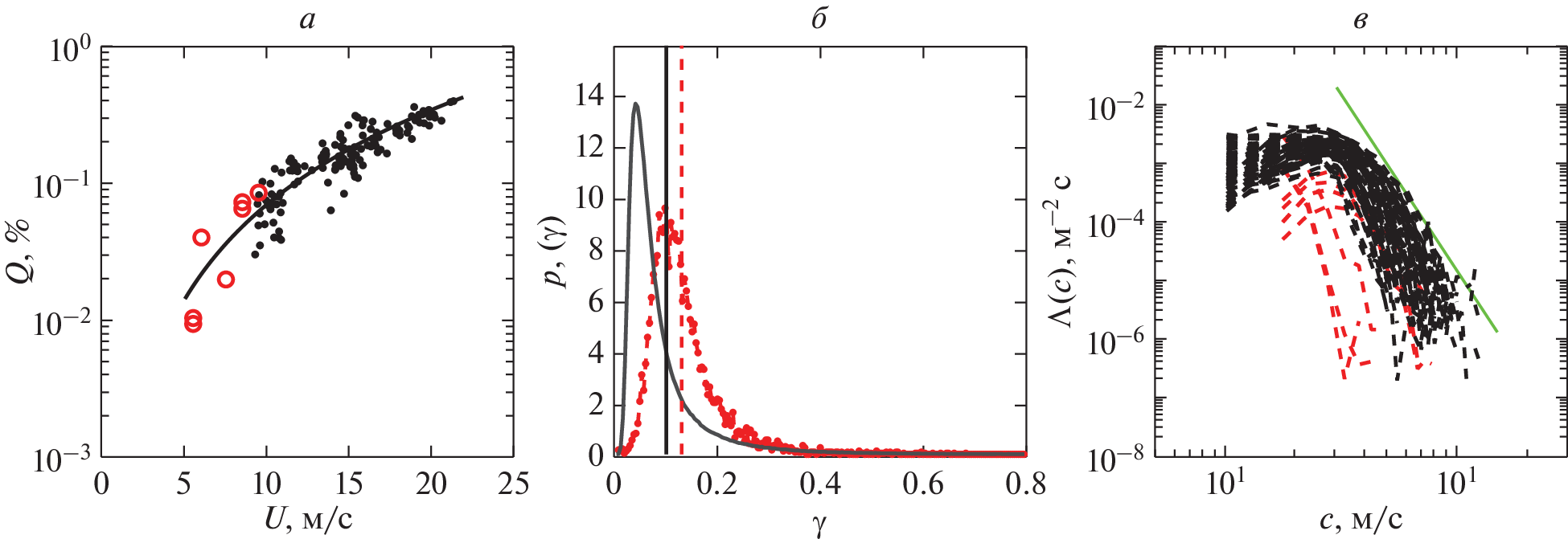
The results of using an unmanned aerial vehicle (UAV) to study the processes of gravitational wave breaking are presented. The experiments were carried out in the coastal zone of the western Crimea (the area of Sevastopol) in the range of wind speeds from 5.5 to 9.5 m/s. The determination of the geometric dimensions of breaking and their speeds was carried out according to video recordings of sea surface obtained from the UAV. It is shown that the spatial resolution of the transformed image plays a key role in separating the active phase of breaking and residual foam. Errors occur in determining the kinematic properties of the breaking with a rough spatial resolution. The proportion of the sea surface covered with foam of breaking waves, the ratio of the maximum length of the spume to the length of the breaking wave, the distribution of the total breaking length in the intervals of movement speeds per surface unit (obtained from UAVs with a spatial resolution better than 0.5 m) are in agreement with results of other authors. Data analysis shows that the use of unmanned aerial vehicles makes it possible to study the statistical characteristics and kinematics of wind wave breaking. At the same time, it is necessary to take into account the effect of spatial resolution in the video frame, which can lead to distortion or omission of measurement data at values comparable to or exceeding the breaking scale.
About the authors
A. E. Korinenko
Marine Hydrophysical Institute of Russian Academy of Sciences; Russian State Hydrometeorological University
Author for correspondence.
Email: korinenko.alex@mhi-ras.ru
Russia, Sevastopol,; Russia, Saint Petersburg,
V. V. Malinovsky
Marine Hydrophysical Institute of Russian Academy of Sciences; Russian State Hydrometeorological University
Email: korinenko.alex@mhi-ras.ru
Russia, Sevastopol,; Russia, Saint Petersburg,
A. A. Kubryakov
Marine Hydrophysical Institute of Russian Academy of Sciences
Email: korinenko.alex@mhi-ras.ru
Russia, Sevastopol,
References
- Бондур В.Г., Шарков Е.А. Статистические характеристики пенных образований на взволнованной морской поверхности // Океанология. 1982. Т. 22. № 3. С. 372–379.
- Бондур В.Г., Шарков Е.А. Статистические характеристики элементов линейной геометрии пенных структур на поверхности моря по данным оптического зондирования // Исслед. Земли из космоса. 1986. № 4. С. 21–31.
- Бортковский Р.С. К оценке среднего обмена кислородом и СO2 между океаном и атмосферой в ключевых районах океана // Изв. РАН. ФАО. 2006. Т. 42. № 2. С. 250–257.
- Шарков Е.А. Обрушающиеся морские волны: структура, геометрия, электродинамика. M.: Научный мир, 2009. 304 с.
- Anguelova M.D., Bettenhausen M.H. Whitecap fraction from satellite measurements: Algorithm description // J. Geophysical Research: Oceans. 2019 V. 124. Iss. 3. P. 1827–1857. https://doi.org/10.1029/2018JC014630
- Anguelova M.D., Webster F. Whitecap coverage from satellite measurements: A first step toward modeling the variability of oceanic whitecaps // J. Geophysical Research: Oceans. 2006. V. 111 Iss. C03017. P. 1–23. https://doi.org/10.1029/2005JC003158
- Babanin A.V. Breaking of ocean surface waves // Acta Phys. Slovaca. 2009. V. 59. № 4. P. 305–535. https://doi.org/10.2478/v10155-010-0097-5
- Bouguet J.Y. Camera Camera calibration toolbox for MATLAB, Computational Vision Group, California Institute of Technology, Pasadena, CA, USA, 2001.
- Brouwer R.L., de Schipper M.A., Rynne P.F., Graham F.J., Reniers A.J. H.M., MacMahan J.H. Surfzone Monitoring Using Rotary Wing Unmanned Aerial Vehicles // J. Atmospheric and Oceanic Technology. 2015. V. 32. Iss. 4. P. 855–863. https://doi.org/10.1175/jtech-d-14-00122.1
- Brumer S.E., Zappa C.J., Brooks I.M., Tamura H., Brown S.M., Blomquist B.W. Cifuentes-Lorenzen, A. Whitecap coverage dependence on wind and wave statistics as observed during SO GasEx and HiWinGS // J. Physical Oceanography. 2017. V. 47. Iss. 9. P. 2211–2235. https://doi.org/10.1175/JPO-D-17-0005.1
- Callaghan A.H., Deane G.B., Stokes M.D., Ward B. Observed variation in the decay time of oceanic whitecap foam // J. Geophysical Research: Oceans. 2012. V. 117. Iss. C9. https://doi.org/10.1029/2012JC008147
- Dulov V.A., Korinenko A.E., Kudryavtsev V.N., Malinovsky V.V. Modulation of Wind-Wave Breaking by Long Surface Waves // Remote Sens. 2021. V. 13. № 14. 2825. P. 1–15. https://doi.org/10.3390/rs13142825
- Dulov V.A., Kudryavtsev V.N., Bol’shakov A.N. A field study of white caps coverage and its modulations by energy containing waves // In Gas Transfer at Water Surface. Geophys. Monogr. / Ed. Donelan M.A., Drennan W.M., Saltzman E.S., Wanninkhof R. AGU: Washington DC. USA, 2002. P. 187–192.
- Dulov V.A., Kudryavtsev V.N., Sherbak O.G., Grodsky S.A. Observations of Wind Wave Breaking in the Gulf Stream Frontal Zone // Glob. Atmos. Ocean. Syst. 1998. V. 6. № 3. P. 209–242.
- Gemmrich J.R., Banner M.L., Garrett C. Spectrally resolved energy dissipation rate and momentum flux of breaking waves // J. Physical Oceanography. 2008. V. 8. Iss. 6. P. 1296–1312. https://doi.org/10.1175/2007JPO3762.1
- Holman R.A., Brodie K.L., Spore N.J. Surf Zone Characterization Using a Small Quadcopter: Technical Issues and Procedures // IEEE Transactions on Geoscience and Remote Sensing. 2017. V. 55. Iss. 4. P. 2017–2027. https://doi.org/10.1109/tgrs.2016.2635120
- Kleiss J.M., Melville W.K. Observations of wave breaking kinematics in fetch-limited seas // J. Physical Oceanography. 2010. V. 40. Iss. 12. P. 2575–2604. https://doi.org/10.1175/2010JPO4383.1
- Kleiss J.M., Melville W.K. The analysis of sea surface imagery for whitecap kinematics // J. Atmospheric and Oceanic Technology. 2011. V. 28. Iss. 2. P. 219–243. https://doi.org/10.1175/2010JTECHO744.1
- Klemas V.V. Coastal and environmental remote sensing from unmanned aerial vehicles: An overview. // J. Coastal Research. 2015. V. 31. № 5. P. 1260–1267. https://doi.org/10.2112/JCOASTRES-D-15-00005.1
- Korinenko A.E., Malinovsky V.V., Kudryavtsev V.N. Experimental Research of Statistical Characteristics of Wind Wave Breaking // Physical Oceanography. 2018. V. 25. Iss. 6. P. 489–500. https://doi.org/10.22449/1573-160X-2018-6-489-50
- Korinenko A.E., Malinovsky V.V., Kudryavtsev V.N., Dulov V.A. Statistical Characteristics of Wave Breakings and their Relation with the Wind Waves’ Energy Dissipation Based on the Field Measurements. // Physical Oceanography. 2020. V. 27. Iss. 5. P. 472–488. https://doi.org/10.22449/1573-160X-2020-5-472-488
- Korinenko A.E., Malinovsky V.V., Dulov V.A., Kudryavtsev V.N. Estimation of the “Whitecap” Lifetime of Breaking Wave // Fundamental and Applied Hydrophysics. 2022. V. 15. № 1. P. 61–72. https://doi.org/10.48612/fpg/5g5t-4mzd-94ab
- Kubryakov A.A., Kudryavtsev V.N., Stanichny S.V. Application of Landsat imagery for the investigation of wave breaking // Remote Sens. Environ. 2021. V. 253. P. 112144. https://doi.org/10.1016/j.rse.2020.112144
- Kubryakov A.A., Lishaev P.N., Chepyzhenko A.I., Aleskerova A.A., Kubryakova E.A., Medvedeva A.V., Stanichny S.V. Impact of Submesoscale Eddies on the Transport of Suspended Matter in the Coastal Zone of Crimea Based on Drone, Satellite, and In Situ Measurement Data // Oceanology. 2021. V. 61. № 2. P. 159–172. https://doi.org/10.1134/S0001437021020107
- Kudryavtsev V.N, Dulov V.A, Shrira V., Malinovsky V.V. On vertical structure of wind-driven sea surface currents. // J. Phys. Oceanogr. 2008. V. 38. Iss. 10. P. 2121–2144. https://doi.org/10.1175/2008JPO3883.1
- Melville W.K., Matusov P. Distribution of breaking waves at the ocean surface // Nature. 2002. V. 417. Iss. 6884. P. 58–63. https://doi.org/10.1038/417058a
- Mironov A.S., Dulov V.A. Detection of wave breaking using sea surface video records // Measurement Science and Technology. 2008. V. 19. № 1. 015405. https://doi.org/10.1088/0957-0233/19/1/015405
- Monahan E.C., O’Muircheartaigh I.G. Whitecaps and the passive remote sensing of the ocean surface. // Int. J. Remote Sens. 1986. V. 7. Iss. 5. P. 627–642. https://doi.org/10.1080/01431168608954716
- Osadchiev A., Barymova A., Sedakov R., Zhiba R., Dbar, R. Spatial structure, short-temporal variability, and dynamical features of small river plumes as observed by aerial drones: Case study of the Kodor and Bzyp river plumes // Remote Sensing. 2020. V. 12. № 18. 3079. P. 1–30 https://doi.org/10.3390/rs12183079
- Phillips O.M. Spectral and statistical properties of the equilibrium range in wind-generated gravity waves // J. Fluid Mech. 1985. V. 156. P. 505–531. https://doi.org/10.1017/S0022112085002221
- Phillips O.M., Posner F.L., Hansen J.P. High range resolution radar measurements of the speed distribution of breaking events in wind-generated ocean waves: Surface impulse and wave energy dissipation rates // J. Physical Oceanography. 2001. V. 31. Iss. 2. P. 450–460. https://doi.org/10.1175/1520-0485(2001)031<0450:HRRRMO>2.0.CO;2
- Pivaev P.D., Kudryavtsev V.N., Korinenko A.E., Malinovsky V.V. Field Observations of Breaking of Dominant Surface Waves // Remote Sens. 2021. V. 13. № 16. 3321. https://doi.org/10.3390/rs13163321
- Schwendeman M., Thomson J., Gemmrich J.R. Wave breaking dissipation in a young wind sea // J. Physical Oceanography. 2014. V. 44. Iss. 1. P. 104–127. https://doi.org/10.1175/JPO-D-12-0237.1
- Sutherland P., Melville W.K. Field measurements and scaling of ocean surface wave-breaking statistics // Geophysical Research Letters. 2013. V. 40. Iss. 12. P. 3074–3079. https://doi.org/10.1002/grl.50584
- Sutherland P., Melville W.K. Field Measurements of Surface and Near-Surface Turbulence in the Presence of Breaking Waves // J. Physical Oceanography. 2015. V. 45. Iss. 4. P. 943–965. https://doi.org/10.1175/jpo-d-14-0133.1
- Thorpe S.A., Belloul M.B., Hall A.J. Internal waves and whitecaps // Nature. 1987. V. 330. P. 740–742. https://doi.org/10.1038/330740a0
- Thorpe S.A., Hall A.J. The characteristics of breaking waves, bubble clouds, and near-surface currents observed using side-scan sonar // Continental Shelf Research. 1983. V. 1. № 4. P. 353–384. https://doi.org/10.1016/0278-4343(83)90003-1
- Wu L., Rutgersson A., Sahl’ee E. Upper-ocean mixing due to surface gravity waves // J. Geophysical Research: Oceans. 2015. V. 120. Iss. 12. P. 8210–8228. https://doi.org/10.1002/2015JC011329
- Yurovskaya M., Rascle N., Kudryavtsev V., Chapron B., Marié L., Molemaker J. Wave spectrum retrieval from airborne sunglitter images // Remote sensing of Environment. 2018. V. 217 P. 61–71. https://doi.org/10.1016/j.rse.2018.07.026
- Yurovsky Y.Y., Kubryakov A.A., Plotnikov E.V., Lishaev P.N. Submesoscale Currents from UAV: An Experiment over Small-Scale Eddies in the Coastal Black Sea // Remote Sensing. 2022. V. 14. № 14. 3364. P. 1–18. https://doi.org/10.3390/rs14143364
Supplementary files








