Минералого-геохимические особенности цеолит-кремнистых отложений Паужетского геотермального месторождения (Южная Камчатка)
- Авторы: Сергеева А.В.1, Рычагов С.Н.1, Кравченко О.В.1, Сандимирова Е.И.1, Назарова М.А.1, Карташева Е.В.1, Кузьмина А.А.1
-
Учреждения:
- Институт вулканологии и сейсмологии ДВО РАН
- Выпуск: № 1 (2024)
- Страницы: 36-53
- Раздел: Статьи
- URL: https://ogarev-online.ru/0203-0306/article/view/258178
- DOI: https://doi.org/10.31857/S0203030624010045
- EDN: https://elibrary.ru/PYSWNV
- ID: 258178
Цитировать
Полный текст
Аннотация
На Паужетском геотермальном месторождении исследованы минеральные отложения, образующиеся при сбросе термальной воды из сепараторов скважин. Изучены составы, структура и геохимические свойства этих осадков последовательно по потоку и в вертикальных разрезах искусственно образовавшихся “плащей”. Установлено, что в начале сброса термальных вод они сложены рентгеноаморфными морденит-опаловыми смесями, а далее осадки становятся полностью кремнистыми. Цеолитовая составляющая минеральных отложений определяет их высокие сорбционные свойства в отношении Au, Ag, Hg, As, Rb, Sr, Ba, Cs и др. элементов; в морденитовой матрице образуются сульфиды железа, серебра, меди. Показано, что минеральные отложения, формирующиеся на дневной поверхности Паужетского геотермального месторождения, являются индикатором щелочной минерало- и рудообразующей среды нижних горизонтов Паужетской гидротермальной системы.
Полный текст
ВВЕДЕНИЕ
В областях современного и четвертичного вулканизма глубинные растворы редко достигают поверхности Земли, не меняя свои составы и свойства [Басков, Суриков, 1975; Иванов, 1977; Калачева и др., 2016; Кононов, 1983; Манухин, Павлова, 2011; Набоко, 1980; Пампура, 1985; Сугробов, 1979; Челноков, Харитонова, 2008; Чудаев, 2003; Ellis, 1966; Giggenbach et al., 1990; Fournier, 1983; Hedenquist, 1990; Henley, Ellis, 1983; White et al., 1971]. Вскипание на различных горизонтах и в проницаемых геологических структурах, смешение с конденсатными и метеорными водами, насыщение жидкой фазы химическими породными компонентами или, наоборот, высаживание солей во вмещающих породах – все это делает глубинный флюид “практически неузнаваемым” при подъеме к дневной поверхности. Соответственно, минерализация, образующаяся в зоне разгрузки гидротерм, отвечает физико-химическим параметрам не первичного флюида или глубинных термальных вод, а смешанным и метаморфизованным растворам [Sillitoe, 2015].
Уникальные возможности для исследования минералообразующих процессов, происходящих при разгрузке глубинных термальных вод, возникли при эксплуатации Паужетского геотермального месторождения. Здесь в 1966 г. был произведен первый пуск геотермальной станции, а с 1967 г. до настоящего времени устойчиво работает первая в СССР и России опытно-промышленная Паужетская ГеоТЭС [Сугробов и др., 2016]. По технологии использования теплоносителя конденсат ряда скважин сбрасывается на рельеф. В результате образуются минеральные осадки в виде протяженных “плащей”, состоящих в основном из аморфного кремнезема [Структура ..., 1993; Frolova et al., 2006; Rychagov et al., 2006]. В последние годы установлено, что эти осадки имеют более сложный и неоднородный состав: вначале сброса термальной воды образуется смесь аморфных гидратированных силикатов и алюмосиликатов с преобладанием цеолитовой компоненты, далее по простиранию они становятся полностью опаловыми [Сергеева и др., 2022].
Обнаружение алюмосиликатов, а также широкого спектра химических элементов, включая редкие, в новообразованных минеральных отложениях Паужетского геотермального месторождения представляет фундаментальный научный интерес в связи с высокой сорбционной емкостью цеолитов, а также имеет большое практическое значение, поскольку существенно дополняет наши знания о параметрах глубинного теплоносителя, составе горных пород на нижних горизонтах гидротермальной системы, источниках рудных элементов. Немаловажной является и экологическая сторона проблемы, поскольку в минеральных осадках происходит накопление, перераспределение и дальнейшая миграция в окружающую среду соединений ртути, мышьяка, сурьмы и др. вредных для здоровья человека химических элементов [Структура ..., 1993; Рычагов и др., 2014].
Настоящая работа посвящена изучению состава и строения минеральных отложений, формирующихся в зоне растека сбрасываемых с сепараторов термальных вод Паужетского геотермального месторождения, как новому аспекту в исследовании современной минерало- и рудообразующей гидротермальной системы.
КРАТКИЕ СВЕДЕНИЯ О ПАУЖЕТСКОМ ГЕОТЕРМАЛЬНОМ МЕСТОРОЖДЕНИИ
Паужетское геотермальное месторождение и вмещающая его одноименная гидротермальная система приурочены к центральной части долгоживущего вулканического (вулканогенно-рудного) центра [Долгоживущий ..., 1980; Прогнозная оценка ..., 1977; Структура ..., 1993]. Вулканогенно-рудный центр сформирован в зоне сопряжения крупнейших тектонических структур Южной Камчатки: Ункановичского горста и Южно-Камчатского прогиба [Рычагов и др., 2023]. Зона представляет собой сквозькоровый разлом мантийного заложения, пересекающий в меридиональном направлении Паужетскую вулкано-тектоническую депрессию [Апрелков и др., 1979; Геолого-геофизический ..., 1987]. В четвертичное время вдоль сквозькорового разлома образовано резургентное многоступенчатое тектоно-магматическое поднятие Камбального вулканического хребта, на западном склоне которого расположена Паужетская гидротермальная система. Структурно-геофизическими исследованиями показано также, что Паужетская гидротермальная система локализована над выступом мелового фундамента [Феофилактов и др., 2021]. Такая сложная структурная позиция гидротермальной системы предопределила высокую проницаемость данного участка земной коры для восходящего теплового потока.
Согласно гидродинамическим представлениям, современная Паужетская гидротермальная система относится к вододоминирующему типу [Паужетские ..., 1965; Структура ..., 1993] и находится на регрессивном этапе развития [Рычагов, 2003]. В геологическом разрезе, изученном с помощью бурения скважин до глубины 1000‒1200 м, выделяется два водоносных горизонта. Верхний представлен псефитовыми и крупнообломочными туфами средне- и нижнепаужетской подсвит, нижний – агломератовыми туфами и туфобрекчиями алнейской серии. Водоносные горизонты разделены водоупорными толщами пород: верхняя (приповерхностная) сложена туффитами верхнепаужетской подсвиты, нижняя – голыгинскими игнимбритами. Предполагается, что водоупорными свойствами также обладают анавгайские песчаники, залегающие в основании изученного разреза [Структура ..., 1993]. Водоносные горизонты сообщаются между собой отдельными субвертикальными разрывными нарушениями [Белоусов, 1978; Пампура, Сандимирова, 1990]. Но основными структурами, контролирующими смешение термальных и метеорных вод и, в целом разгрузку восходящих гидротерм, служат приподнятые тектоно-магматические блоки размером в поперечнике до 500 м [Структура ..., 1993; Феофилактов и др., 2017, 2020]. В структуре блоков выделены зоны кварц-адуляровой минерализации, к которым приурочены комплексные (Au-Ag-As-B-Li-Rb-Cs) геохимические барьеры [Жатнуев и др., 1996].
Термальные воды Паужетского месторождения имеют следующие физико-химические характеристики. В верхнем водоносном горизонте циркулируют нейтральные до щелочных сульфатно-хлоридные калий-натриевые гидротермы с высоким содержанием ортокремниевой (230‒400 мг/л) и борной (130‒180 мг/л) кислот [Паужетские ..., 1965]. Температура достигает 160‒190оС, общая минерализация 2.5‒3.5 г/л. На формирование состава и свойств растворов этого горизонта оказывает влияние их смешение с метеорными и конденсатными водами [Паужетские ..., 1965; Пампура, Сандимирова, 1990]. Воды нижнего горизонта существенно более щелочные хлоридно-натриевые с резко подчиненным содержанием сульфат-иона (Cl-/SO42- = 6.5‒10.5), низкими концентрациями K+ и Ca2+ (до 60 и 40 мг/л соответственно), но относительно высокими содержаниями H4SiO4 (280‒350 мг/л) и H3BO3 (160‒175 мг/л). Температура вод достигает 220‒230оС, общая минерализация – 4.5 г/л. Для них характерен меньший разброс значений основных анионов и катионов, в сравнении с верхним водоносным горизонтом. В целом можно констатировать, что термальные воды обоих горизонтов имеют близкие характеристики и, по-видимому, поступают из одного глубинного источника. На это указывает также микроэлементный состав: воды месторождения обогащены Au, Ag, As, Sb, цветными и редкими металлами [Королева и др., 1993; Пампура, Сандимирова, 1990; Рычагов и др., 2017].
МЕТОДИКА ИССЛЕДОВАНИЙ
Исследования проведены в 2011–2022 гг. Полевые работы заключались в картировании новообразованных минеральных отложений на площади Паужетского геотермального месторождения, определении их размеров (протяженности, ширины, мощности) и отборе образцов с целью изучения состава и строения. Выделено 10 таких образований, заполняющих распадки и долины ручьев (рис. 1). Их протяженность составляет до 300 м и более, ширина от 1‒3 до 15 м, мощность достигает 0.5‒0.8 м. Основная часть таких “плащей” находится на современном эксплуатационном участке “Южный” месторождения. Продолжительность формирования отложений составляет 30–40 лет, в настоящее время этот процесс продолжается на всех скважинах, кроме выведенных из эксплуатации (К-20 и R-121).
Рис. 1. Схематическая геологическая карта Паужетского геотермального месторождения, (по [Структура ..., 1993] с изменениями). 1 – туффиты и туфы паужетской свиты; 2 – лаво-экструзивный комплекс дацитов и риолитов Камбального вулканического хребта; 3 – то же, андезитов и андезибазальтов; 4 – аллювиальные отложения; 5 – кольцевые тектонические нарушения; 6 – то же, линейные; 7 – Паужетский грабен; 8 – термальные поля (1 – Южно-, 2 – Верхне-, 3 – Нижне-, 4 – Восточно-Паужетское); 9 – скважины; 10 – цеолит-кремнистые “плащи”.
Проведено опробование всех “плащей”, наиболее детально на скважинах ГК-3, R-120, R-122 и R-108, отличающихся отсутствием в составе осадков техногенного мусора (металлических, деревянных и т.п. конструкций). Образцы отобраны последовательно от начала сброса термальной воды (под зумпфом) и далее в точках перепада рельефа и, соответственно, изменения физико-химических параметров воды (рис. 2). При наличии достаточной мощности и видимых изменений структуры отложений делалась вертикальная расчистка с поинтервальным отбором образцов. В каждой точке отбора минерального вещества взяты пробы воды на определение общего и микроэлементного составов, измерены температура и рН.
Рис. 2. Схема опробования минеральных отложений на скважине ГК-3. На левом фрагменте – ортофотоплан участка местности (составлен М.С. Черновым) и точки отбора проб по простиранию “плаща”; на правом фрагменте – фотографии точек отбора проб (а – под зумпфом скважины, б – под водопадом, в – под следующим уступом, г – под последним крупным уступом перед впадением потока термальных вод в холодный ручей Быстрый).
Аналитические исследования
Образцы минерального вещества исследованы методами рентгеновской флуориметрии, инфракрасной спектроскопии, рентгеновской дифрактометрии, локального рентгеноспектрального микроанализа. Аналитические измерения проведены в Институте вулканологии и сейсмологии ДВО РАН (г. Петропавловск-Камчатский), рентгенофлуоресцентный анализ проб 2022 г. – в Центре коллективного пользования “Изотопно-геохимических исследований” Института геохимии СО РАН (г. Иркутск).
Рентгенофлуоресцентный (общий химический) анализ выполнен по стандартным методикам на спектрометре “S4 PIONEER”.
Инфракрасная спектроскопия. Спектры поглощения записаны с помощью инфракрасного спектрометра с преобразованием Фурье IRAffinity-1 (Shimadzu), в диапазоне волновых чисел 4000–400 см–1, с разрешением 4 см–1, число сканов 100. Образцы растирали с бромидом калия и прессовали в таблетки.
Рентгеновская порошковая дифрактометрия. Рентгенограммы записаны на рентгеновском дифрактометре Max XRD 7000, в диапазоне 6–60 o2θ, с шагом 0.1 o2θ, скорость сканирования 2 град/мин, что эквивалентно выдержке в точке в течение 3 с.
Микрозондовые исследования. Морфология, строение и локальный химический состав минеральных отложений изучены с помощью сканирующего электронного микроскопа VEGA3, оснащенного аналитической приставкой OXFORD instruments X–MAX80 с фирменным программным обеспечением AZtec (Институт вулканологии и сейсмологии ДВО РАН, г. Петропавловск-Камчатский, аналитик Т.М. Философова, оператор Е.И. Сандимирова). Химические элементы определены путем сравнения с серией эталонов, состав которых был проверен на однородность и содержание элементов: санидин (Si, Na, K), Al2O3 (Al); диопсид (Ca), MgO (Mg), Fe (Fe), SrSO4 (Sr), BaSO4 (Ba). Анализы проводились при выполнении всех стандартных условий с ускоряющим напряжением 20 kV и токе на контрольном эталоне Ni 700 pA, рабочее расстояние 15 мм, размер пучка зонда 2‒4 мм. Исследовались аншлифы и рельефные поверхности образцов. Применялось углеродное напыление.
РЕЗУЛЬТАТЫ ИССЛЕДОВАНИЙ И ИХ ОБСУЖДЕНИЕ
Минеральные отложения имеют белый, бежевый или светло-розовый цвет. Верхние горизонты плотные и жесткие, характеризуются слоистой текстурой (рис. 3). Мощность слоев от 1‒2 до 50 мм. Строение осадков, в основном, зависит от динамики водного потока – в частности, под резкими уступами (водопадами) образуется конгломерат из округлых фрагментов плотного вещества с обилием пустот за счет механического вымывания рыхлого цемента (см. рис. 3б). Строение отложений неоднородно в каждой точке опробования: разнообразием структур отличаются сухие участки “плаща”, по-видимому, прошедшие более длительный этап гидротермального изменения (см. рис. 3в, 3г). На участках с максимальной мощностью отложений (обычно на фронте потоков) под коркой жесткого материала наблюдаются спутанно-волокнистые агрегаты, происходит захоронение органики, частиц почвы и обломков пород (см. рис. 3д, 3е, 3ж, 3з). В целом, эти минеральные новообразования не плотные (0.8 г/см3), гигроскопичные (2.7%), с повышенной общей пористостью (60%), анизотропные (К = 1.47), малопрочные (3.6 МРа) [Frolova et al., 2006]. Большую роль в формировании минеральных отложений играют сине-зеленые водоросли и различные бактерии, но этот аспект проблемы требует специальных исследований и частично рассмотрен ранее [Структура ..., 1993].
Рис. 3. Фото образцов минеральных отложений скважины ГК-3, согласно расположению точек на рис. 2. а – № 1, б – № 2, в – № 3-1, г – № 3-2, д – № 4 (верхний слой осадков в данной точке), е – № 4 (второй сверху слой осадков с органическими включениями), ж – № 4 (то же, с чередованием рыхлых и плотных микрослоев), з – № 4 (нижний слой – из подошвы отложений, с включениями песка, ила и т.п.).
Общий химический состав отложений в начале сброса термальной воды отвечает алюмосиликатному (табл. 1): содержание кремнезема 63‒70%, глинозема 9‒13%; по уровню концентраций щелочных, щелочноземельных и др. петрогенных компонентов, осадки также соответствуют алюмосиликатам. Для начальных участков “плащей” расчетная формула близка к минералу мордениту Ca0.44Na0.30K0.18Si4.9Al1.1O12· xH2O. Далее по простиранию “плащей” наблюдается резкое повышение концентрации кремнезема до ≥80‒90% и постепенное снижение количества других компонентов (рис. 4). Отложения становятся практически полностью опаловыми. Невысокие значения SiO2 и “не характерные” содержания других компонентов в основании вертикального разреза кремнистой толщи на фронте потока (точка отбора ГК-3/21-4-1) объясняются наличием примеси песка горных пород. На примере скважины ГК-3, а также R-120 [Структура ..., 1993; Rychagov et al., 2006] видно, что состав минеральных отложений в “плащах” новообразований Паужетского геотермального месторождения не изменился за длительный период опробования. Это может свидетельствовать о постоянстве характеристик глубинных термальных вод.
Рис. 4. Диаграмма распределения значений основных химических компонентов по простиранию “плащей” скважин ГК-3, R-120 и R-108, согласно данным табл. 1 (для построения графиков по скважине ГК-3 использованы значения № 1‒4).
Таблица 1. Химический состав новообразованных минеральных отложений Паужетского геотермального месторождения, мас. %
№ п.п. | Образец | Расстояние от зумпфа, м | SiO2 | TiO2 | Al2O3 | Fe2O3 | FeO | MnO | CaO | MgO | Na2O | K2O | P2O5 | ппп | Sum |
1 | 2 | 3 | 4 | 5 | 6 | 7 | 8 | 9 | 10 | 11 | 12 | 13 | |||
Состав отложений скважины ГК-3 по результатам опробования в 2011 г. | |||||||||||||||
1 | ГК-3/11-1 | 3 | 62.7 | 0.176 | 12.8 | 0.926 | 1.27 | 0.044 | 5.25 | 0.394 | 2.01 | 1.78 | 0.026 | 12.3 | 99.68 |
2 | ГК-3/11-2 | 80 | 79.6 | 0.083 | 4.79 | < 0.01 | 1.08 | 0.03 | 1.61 | 0.203 | 1.17 | 1.78 | 0.021 | 9.58 | 99.95 |
3 | ГК-3/11-3 | 110 | 86.0 | 0.06 | 2.93 | < 0.01 | 1 | 0.025 | 1.3 | 0.208 | 0.802 | 0.568 | 0.019 | 7.04 | 99.95 |
4 | ГК-3/11-4 | 130 | 88.4 | 0.025 | 1.5 | < 0.01 | 0.76 | 0.025 | 0.821 | 0.154 | 0.601 | 0.288 | 0.016 | 7.42 | 100.01 |
Состав отложений скважины ГК-3 по результатам опробования в 2021 г. | |||||||||||||||
5 | ГК-3/21-1 | 3 | 67.22 | 0.026 | 13.32 | 0.315 | 0.41 | 0.0229 | 4.444 | 0.219 | 2.093 | 1.822 | 0.0319 | 10.8 | 100.72 |
6 | ГК-3/21-2 | 80 | 79.25 | 0.05 | 5.11 | 0.021 | 1.12 | 0.0224 | 1.456 | < 0.01 | 1.375 | 0.894 | 0.0291 | 10.67 | 100.00 |
7 | ГК-3/21-3-1 | 110 | 90.1 | < 0.01 | < 0.01 | < 0.01 | 0.89 | 0.0122 | 0.279 | < 0.01 | 0.288 | 0.073 | 0.0206 | 9.23 | 100.89 |
8 | ГК-3/21-3-2 | 110 | 96.24 | < 0.01 | 1.17 | < 0.01 | 0.89 | 0.0146 | 0.525 | < 0.01 | 0.633 | 0.406 | 0.0239 | 0.1 | 100.00 |
9 | ГК-3/21-4-1 | 130 | 77.61 | 0.299 | 6.00 | 1.755 | 2.22 | 0.221 | 1.773 | 0.615 | 1.407 | 0.943 | 0.0809 | 7.10 | 100.02 |
10 | ГК-3/21-4-2 | 130 | 89.46 | < 0.01 | < 0.01 | < 0.01 | 0.72 | 0.0124 | 0.237 | < 0.01 | 0.304 | 0.083 | 0.022 | 9.14 | 99.98 |
11 | ГК-3/21-4-3 | 130 | 90.61 | < 0.01 | < 0.01 | < 0.01 | 0.48 | 0.009 | 0.223 | < 0.01 | 0.298 | 0.079 | 0.0219 | 8.23 | 99.95 |
12 | ГК-3/21-4-4 | 130 | 89.17 | < 0.01 | < 0.01 | < 0.01 | 0.75 | 0.0115 | 0.289 | < 0.01 | 0.325 | 0.166 | 0.0280 | 9.23 | 99.97 |
Состав отложений скважины ГК-3 по результатам опробования в 2022 г. | |||||||||||||||
13 | ГК-3/22-1 | 3 | 62.18 | 0.15 | 12.66 | 1.83 | - | 0.03 | 4.17 | 0.3 | 1.77 | 1.59 | 0.02 | 14.8 | 99.50 |
14 | ГК-3/22-2 | 80 | 79.46 | 0.06 | 5.02 | 1.09 | - | 0.02 | 1.48 | < 0.1 | 1.1 | 0.9 | < 0.01 | 9.95 | 99.08 |
15 | ГК-3/22-3 | 110 | 87.07 | 0.02 | 2.09 | 0.53 | - | 0.01 | 0.57 | < 0.1 | 0.48 | 0.5 | < 0.01 | 8.39 | 99.66 |
16 | ГК-3/22-4 | 130 | 86.36 | < 0.01 | 2.44 | 0.44 | - | 0.01 | 0.71 | < 0.1 | 0.54 | 0.51 | < 0.01 | 8.67 | 99.68 |
Состав отложений скважины R-120 по результатам опробования в 2011 г. | |||||||||||||||
17 | R-120/11-1 | 5 | 69.7 | 0.166 | 10.2 | 0.518 | 0.91 | 0.043 | 3.15 | 0.264 | 1.93 | 1.79 | 0.031 | 11.4 | 100.1 |
18 | R-120/11-2 | 35 | 80.5 | 0.068 | 4.77 | 0.226 | 0.71 | 0.029 | 2.03 | 0.185 | 1.07 | 0.937 | 0.011 | 9.49 | 100.03 |
19 | R-120/11-3 | 70 | 84.0 | 0.092 | 3.1 | 0.05 | 1.24 | 0.03 | 1.873 | 0.256 | 0.904 | 0.503 | 0.022 | 7.95 | 100.02 |
20 | R-120/11-4 | 120 | 88.1 | 0.039 | 1.24 | 0.01 | 0.99 | 0.024 | 0.617 | 0.181 | 0.642 | 0.22 | 0.019 | 7.99 | 100.07 |
Состав отложений скважины R-108 по результатам опробования в 2022 г. | |||||||||||||||
21 | R-108/22-1 | 3 | 70.2 | 0.03 | 8.84 | 0.83 | - | 0.02 | 2.73 | < 0.1 | 1.66 | 1.42 | < 0.01 | 14.7 | 100.43 |
22 | R-108/22-2 | 20 | 88.99 | 0.01 | 2.16 | 0.17 | - | < 0.01 | 0.77 | < 0.1 | 0.55 | 0.41 | < 0.01 | 6.68 | 99.74 |
23 | R-108/22-3 | 28 | 83.15 | 0.02 | 3.8 | 0.72 | - | < 0.01 | 1.09 | < 0.1 | 0.93 | 0.75 | < 0.01 | 9.21 | 99.67 |
24 | R-108/22-4 | 34 | 83.28 | < 0.01 | 3.71 | 0.43 | - | < 0.01 | 1.09 | < 0.1 | 0.94 | 0.78 | < 0.01 | 9.62 | 99.85 |
25 | R-108/22-5 | 40 | 85.32 | 0.01 | 2.8 | 0.56 | - | < 0.01 | 0.85 | < 0.1 | 0.76 | 0.59 | < 0.01 | 8.74 | 99.63 |
26 | R-108/22-6 | 90 | 89.81 | < 0.01 | 0.72 | 0.59 | - | < 0.01 | 0.46 | < 0.1 | 0.45 | 0.17 | < 0.01 | 7.81 | 100.01 |
Примечание. Анализы выполнены на рентгенофлуоресцентном спектрометре “S4 PIONEER”: № 1‒12 и 17‒20 – в Аналитическом Центре ИВиС ДВО РАН (аналитики Е.В. Карташева, А.А. Кузьмина, Н.И. Чеброва, В.М. Рагулина), № 13‒16 и 21‒26 – в Лаборатории рентгеновских методов анализа Центра коллективного пользования “Изотопно-геохимических исследований” ИГХ СО РАН (отв. исполнитель В.М. Чубаров).
Для осадков, сформированных в начале “плаща”, мольное отношение Si/Al составляет 4‒5, что отвечает соотношению в морденитовом или клиноптилолитовом алюмосиликатном каркасе. Чем дальше точка отбора от скважины, тем выше соотношение Si/Al, и на удалении порядка 70‒100 м соотношение Si/Al достигает 90‒100. Доли CaO, Na2O, K2O в осадках в начале “плащей” достигают нескольких мас. %, по мере удаления их содержания падают практически на порядок, что коррелирует с постепенным переходом от цеолитового (морденитового) состава отложений к опаловому, при движении вниз по течению ручьев из скважин.
Определение физико-химических параметров термальных вод показало, что по простиранию шлейфов не заметно изменение их общего химического состава, рН и Eh, но падают температуры и происходит последовательное снижение концентраций микроэлементов в составе растворов.
Микроэлементный состав растворов и осадков рассмотрен на примере потока воды и “плаща” новообразований от скважины ГК-3. Обнаруживается корреляция между концентрациями щелочных и щелочноземельных металлов в растворе, в отложениях, и с минеральным составом “плащей”. Поступая на поверхность, элементы-катионообразователи сорбируются отложениями, поэтому развивающаяся минерализация и геохимическая зональность может в упрощенном виде отражать процессы формирования рудной минерализации. В табл. 2 показаны содержания микроэлементов в растворе и в кремнистых “плащах”. В воде содержания цезия, рубидия, стронция и бария по мере удаления от излива заметно уменьшаются в 1.5–2 раза, видимо, из-за сорбции аморфными морденитовыми отложениями, а морденит, как и любой цеолит, является катионообменником. Поэтому наблюдаются высокие концентрации Rb, Cs, Sr, Ba в самом начале “плащей”, где состав осадков морденитовый. Видимо, формирующийся цеолит, даже аморфный, является эффективным геохимическим барьером для подвижных катионов, в то время как сорбционная емкость опала меньше, поэтому по мере снижения цеолитовой составляющей в “плащах” и ее замещения на опал, содержание щелочных и щелочноземельных металлов в отложениях падает. Для мышьяка четкой зональности в распределении по простиранию не наблюдается, вероятно, этот элемент находится в анионной форме, и не сорбируется катионообменниками, в том числе цеолитами. Вероятная форма нахождения мышьяка в растворе – это арсенит- и/или арсенат-ионы, устойчивые в щелочных средах.
Таблица 2. Микрокомпонентный состав термальных вод на изливе из скважин Паужетского геотермального месторождения в сравнении с микрокомпонентным составом цеолит-кремнистых отложений
Вода, содержание элементов, ppb | |||||
Образец | As | Rb | Sr | Cs | Ba |
ГК-3-1 | 3700 | 360 | 430 | 260 | 14 |
ГК-3-2 | 3800 | 370 | 450 | 280 | 34 |
ГК-3-3-1 | 4000 | 380 | 460 | 280 | 11 |
ГК-3-3-2 | 4100 | 390 | 470 | 270 | 14 |
ГК-3-4-1 | 4100 | 390 | 470 | 290 | 12 |
ГК-3-4-2 | 1600 | 170 | 230 | 130 | 13 |
ГК-3-4-3 | 2100 | 210 | 280 | 160 | 12 |
Цеолит-кремнистые отложения, ppm | |||||
ГК-3-1 | 96 | 384 | 1286 | 960 | 200 |
ГК-3-2 | 55 | 258 | 433 | 920 | 140 |
ГК-3-3-1 | 46 | 0 | 51 | 0 | 0 |
ГК-3-3-2 | 42 | 75.3 | 99.4 | 0 | 0 |
ГК-3-4-1 | 70 | 7.3 | 51 | 0 | 0 |
ГК-3-4-2 | 130 | 13 | 47 | 0 | 0 |
ГК-3-4-3 | 190 | 37 | 72.3 | 0 | 0 |
Состав минеральных отложений по данным инфракрасной спектроскопии. Инфракрасная спектроскопия становится важным и показательным методом определения минерального состава отложений. В инфракрасных спектрах силикатов есть интенсивная полоса, расположенная в диапазоне 1000–1120 см–1, отвечающая колебанию ν3[SiO4]. Для цеолитов эта полоса расположена около 1050–1060 см–1, а у опала и кварца находится около 1110 см–1. В инфракрасных спектрах силикатов это не только самая интенсивная, но и часто довольно широкая полоса, поэтому при наличии нескольких силикатов возможна регистрация не отдельных полос ν3[SiO4] от каждого минерала, а общего пика, полученного при слиянии нескольких компонент. Для смесей, в том числе для таких тонких, которые формируются в виде цеолит-кремнистых отложений, положение этой полосы будет промежуточным и зависящим от состава (рис. 5), где положение основной полосы смещается от 1055 см–1 до 1110 см–1, параллельно с повышением доли кремнезема в осадках, с ~63 до 90 мас. %. Соответственно, повышение доли кремнезема отражает снижение содержания цеолитов и возрастание содержания опала. На рис. 5 представлена корреляция между расчетной долей атомов кремния в алюмосиликатном каркасе и положением основной полосы на инфракрасном спектре. Значение доли кремния около 1 отвечает практически чистому аморфному гидратированному кремнезему, а для цеолита морденита это значение находится в пределах 0.8–0.85. Поэтому возможна некоторая ориентировочная оценка состава отложений по данным ИК спектроскопии.
Рис. 5. Корреляция между положением полосы асимметричного валентного колебания ν3[SiO4] и мольной долей атомов кремния в усредненном алюмосиликатном каркасе.
Помимо положения основной полосы, спектры морденита и кремнезема различаются числом полос поглощения и их профилями, что совместно позволяет проводить идентификацию и приблизительную полуколичественную оценку состава отложений (табл. 3).
Таблица 3. Полосы поглощения инфракрасных спектров для опаловых и цеолитовых (морденитовых) образцов
Полоса, см–1 | Отнесение, рентгеноаморфный морденит | Полоса, см–1 | Отнесение, гидратированный кремнезем |
450 | δ(Si–O–Si) | 475 | δ(Si–O–Si) |
570 | ν4(SiO4), δ(–OH···O) | ||
720 | ν4(SiO4) | ||
785 | ν1(SiO4), ν1(AlO4) | 795 | ν1(SiO4) |
886 | ν1(SiO4) | 950 | ν1(SiO4) |
1055 | ν3(SiO4) | 1100 | ν3(SiO4) |
1196 | ν3(SiO4) | ν3(SiO4) | |
1644 | δ(H2O) | 1645 | δ(H2O) |
3260 | ν1(H2O), ν3(H2O) (I1h) | 3254 | ν1(H2O), ν3(H2O) (I1h) |
3445 | ν1(H2O) (L) | 3450 | ν1(H2O) (L) |
3612 | ν3(H2O) (L) | 3650 | ν3(H2O) (L) |
Новообразованные минеральные отложения от скважины ГК-3 были опробованы наиболее детально с целью определения их состава (рис. 6). Полный инфракрасный спектр осадков в начале сброса термальной воды отвечает морденитовому составу (см. рис. 6а). Здесь положение основной полосы около 1055 см–1, наблюдаются отчетливые полосы около 785 см–1, 720 см–1, явное плечо около 570 см–1 и интенсивный пик около 450 см–1. В высокочастотной области поглощение состоит из двух сравнимых по интенсивности размытых пиков с максимумами около 3445 и 3612 см–1. В следующих точках опробования отложений по потоку происходит резкое уменьшение цеолитовой компоненты, а в последней точке на фронте “плаща” (см. рис. 6г) спектр становится типично опаловым, что видно по положению основной полосы 1110 см–1, наличию плеча около 950 см–1, присутствию заметной полосы около 795 см–1 и интенсивного пика около 475 см–1. В высокочастотной области поглощение гидратированного кремнезема имеет вид широкой полосы с одним явно выраженным максимумом при 3450 см–1, а полосы остальных колебаний молекул воды менее интенсивны и диффузны.
Рис. 6. Инфракрасные спектры минеральных отложений скважины ГК-3 в 2021 г. а – начало “плаща”, около зумпфа; б – 80 м от зумпфа; в – 110 м от зумпфа; г – 130 м от начала “плаща”; I – полный спектр в диапазоне 400–400 см–1; II – положение основной полосы в диапазоне 950–1200 см–1.
На рис. 6а, 6б, 6в, 6г–II показано смещение положения основной полосы от значения, характерного для морденита, 1055 см–1, к значению, характерному для опала 1100 см–1. Меняется и сам вид спектра: характерно наличие серии мелких полос в диапазоне 520–840 см–1 на спектре цеолитовых фаз. Эти полосы обусловлены в том числе тетраэдрически координированным алюминием в решетке цеолита, у опала этой серии полос нет; по мере уменьшения содержания цеолитовой компоненты происходит редукция этой серии мелких полос с постепенным исчезновением. Видна смена морденита опалом, который начинает преобладать примерно с середины и до конца “плаща”.
Изучение минеральных отложений в шлейфе потока термальной воды от ГК-3 и других скважин в разные периоды времени полностью подтверждает установленные выше закономерности: образование цеолитовых или опал-цеолитовых агрегатов в начале сброса гидротерм на дневную поверхность, с переходом в чисто опаловые в последующих точках (рис. 7). Таким образом, можно констатировать латеральную зональность отложений – от алюмосиликатной (цеолитовой) минерализации к собственно силикатной (кремнистой).
Рис. 7. Инфракрасные спектры минеральных отложений скважин ГК-3 (а), R-103 (б), R-120 (в), R-123 (г) R-106 (д, е). Образцы 2018 г.
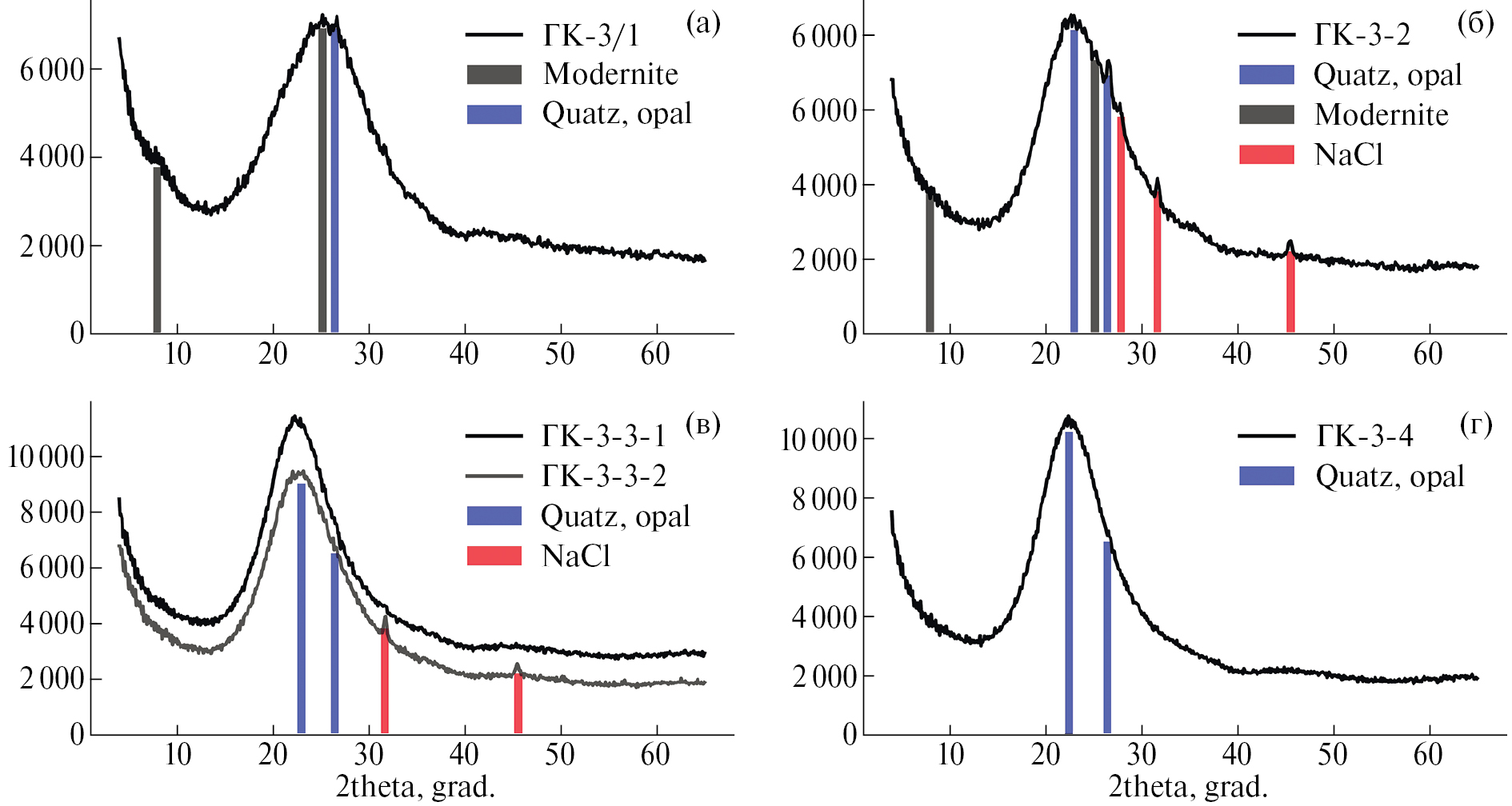
Структура новообразованных минеральных отложений по данным рентгеновской дифрактометрии. Дифрактометрия показала, что все эти новообразованные минеральные отложения Паужетского геотермального месторождения рентгеноаморфные, что проявляется в наличии характерного гало на рентгенограммах независимо от того, цеолитовый или опаловый состав имеет исследуемое вещество (рис. 8). Тем не менее, положения максимумов на дифрактограммах чисто цеолитового и собственно опалового состава отличаются. Для цеолитов максимум на рентгенограмме расположен около 25.2 o2θ, у опаловых отложений максимумы расположены около 23 и 26.5 o2θ. Пересчет на межатомные расстояния дает 3.53 Å для морденитового состава и 3.95 Å для опалового состава. Согласно структурным данным, значения в обоих случаях отвечают расстояниям d(O–O) и d(Si–O) во второй координационной сфере кристаллической решетки. Для хорошо окристаллизованного кварца это расстояние несколько больше, чем для морденита, и составляет около 3.95 Å, для морденита это расстояние 3.53 Å.
Рис. 8. Дифрактограммы отложений скважины ГК-3 по результатам опробования в 2021 г. На изливе, около зумпфа (а); в 80 м от зумпфа (б); в 110 м от зумпфа (в); в 130 м от зумпфа – перед впадением в руч. Быстрый (г).
Различие в положении максимума на рентгенограммах цеолитовых и опаловых отложений было использовано для уточнения минерального состава осадков, при этом полученные результаты хорошо соотносились с данными инфракрасной спектроскопии. Дифрактограммы осадков скважины ГК-3 свидетельствуют об аморфном веществе; в самом начале “плаща” прослеживается материал на основе морденита, в дальнейшем, после преодоления потоком примерно половины пути, начинает преобладать опал (см. рис. 8). Обращает на себя внимание наличие хлорида натрия в ряде образцов. Отметим, что хлорид-ион способствует переносу термальными водами целого ряда металлов за счет их связывания в прочные комплексы. Подобная картина, смена зоны рентгеноаморфного цеолита (морденита) зоной рентгеноаморфного кремнезема (опал), наблюдается на всех других “плащах” минеральных отложений Паужетского геотермального месторождения.
Состав и строение новообразованных минеральных отложений по данным энергодисперсионной спектроскопии. Электронно-микроскопические исследования для подобных образцов характеризуются сложностью, которая обусловлена хрупкостью и высокой степенью гидратации материала. Тем не менее, были подготовлены препараты для качественного и количественного рентгеноспектрального анализов. Качественный рентгеноспектральный анализ рельефной поверхности вертикального скола образца показал, что отложения формируются в динамичной водной среде из геля алюмосиликатного состава. Гель кристаллизуется послойно в виде плотных масс, пористых хлопьевидных, глобулярных и микрокристаллических агрегатов (рис. 9). Плотные по структуре слои сложены аморфной или скрытокристаллической массой, в которой присутствует небольшое количество воды: дефицит суммы в анализах не превышает 7 мас. %. Количество алюминия и кремнезема в таких слоях выше, чем в слоях с рыхлой структурой. При этом мольное соотношение Si/Al во всех слоях, независимо от структуры слоя и содержания в нем воды, примерно одинаковое и колеблется в пределах 4‒6 единиц. Анализ алюмосиликатной массы в полированном образце показывает сходный состав слоев – морденитовый, с примерной формулой Ca0.34Na0.27K0.19Al1.08Si4.92O12·xH2O.
Рис. 9. Структура цеолит-кремнистых отложений на изливе термальных вод из скважины ГК-3. а – слоистость, б – глобулярный морденит в кремнистой массе, в – цилиндрический морденит, г – комковатый морденит, д – игольчатый морденит, е – акантит (Ag2S) –морденитовые агрегаты на поверхности глобулярного морденита. Рельефная поверхность. Снимки BSE.
Слои с рыхлой структурой представлены микрокристаллическими пористыми агрегатами, сложенными глобулеподобными (по-видимому, образованными из алюмосиликатного геля), цилиндрическими с полусферическими вершинами или игольчатыми кристаллами морденита размером менее 10 мкм (см. рис. 9г, 9д). Химический состав цеолита, полученный при анализе поверхности кристаллов, близок составу морденита, образованного в аргиллизированных андезитах Восточно-Паужетского термального поля Паужетской гидротермальной системы [Сандимирова и др., 2022]. Но морденит из отложений на изливе скважины содержит существенно больше K2O (около 2 мас. %) против среднего содержания 0.22 мас. % у морденита из аргиллизированных андезитов. Морденит (птилолит) образуется также и на более глубоких горизонтах гидротермальной системы, но в сходных температурных и геохимических условиях – при разгрузке нейтральных и слабощелочных растворов в туфах паужетской свиты в интервале температур 100‒160оС [Набоко и др., 1965].
В начальных точках образования цеолит-кремнистых отложений наблюдается широкий спектр рудной минерализации. Установлены микрозернистые дендритоподобные агрегаты акантита Ag2S (низкотемпературная разновидность аргентита) в тесном срастании с войлокоподобным морденитом (см. рис. 9е). В таких образованиях присутствует хлор (до 0.6 мас. %). В виде механических включений в порах отмечены зерна основного плагиоклаза, магнетита или гематита, кварца, самородного железа, самородного никеля и др. Непосредственно в цеолитовой массе встречается мелкая, менее 3 мкм, вкрапленность зерен пирита, сфалерита, апатита, барита, сфена, соединения или смеси следующего состава: (Cu, Zn, Cl); (Ag, Cu, Zn, Fe, S, Sb, As); (Ag, Cu); (Ag, Cu, Zn, S); (Ag, Au, Cu, Se, S). Общий спектр рудных и др. элементов включает: Ag, Au, Fe, Cu, Zn, S, Se, Sb, As. Нередко с этими соединениями ассоциирует Cl.
ЗАКЛЮЧЕНИЕ
На Паужетском геотермальном месторождении происходит образование минеральных отложений в результате сброса термальной воды из сепараторов ряда скважин на дневную поверхность. Отложения заполняют распадки и долины ручьев в виде “плащей” протяженностью от десятков до нескольких сотен метров и мощностью до 0.5‒0.8 м. В начале сброса термальной воды отложения имеют морденитовый или смешанный алюмосиликатный состав, далее по простиранию “плащей” доля морденита резко снижается, осадки становятся опаловыми. Уменьшение доли морденитовой компоненты коррелирует со снижением концентрации бария, стронция, рубидия и цезия, которые преимущественно входят в состав цеолитовых структур. На рис. 10 схематично показано изменение фазового состава цеолит-кремнистых отложений и его корреляция с составом термальных вод по простиранию “плащей”: по мере осаждения из растворов основных элементов, необходимых для формирования цеолитов, отложения становятся полностью опаловыми.
Рис. 10. Схема зональности по простиранию минеральных отложений скважин Паужетского геотермального месторождения: от цеолитового начала до опалового конца.
Важным фактором, способствующим формированию цеолитов, является щелочная среда растворов, которая обусловлена равновесием HCO3– = H+ + CO32–. Как было отмечено выше, на дневную поверхность Паужетского месторождения сбрасываются глубинные минерализованные щелочные термальные воды. Щелочная среда определяет преимущественную форму нахождения алюминия и кремния в растворе и влияет на их ближайшее окружение. Известно, что в щелочных средах для алюминия характерна тетраэдрическая координация, а в кислых средах координация алюминия преимущественно октаэдрическая. Поэтому в щелочных растворах уже содержатся готовые фрагменты цеолитовых структур, когда алюмокислородные тетраэдры конденсируются совместно с кремнекислородными и образуются гетерополицепи, которые и формируют каркас морденита (рис. 11).
Рис. 11. Схема поликонденсации алюминатных и силикатных ионов с образованием гетероцепочек. а – схематичное уравнение, б – формирование структурных мотивов цеолитов.
Выпадение гелей морденитового состава сопровождается понижением в термальных растворах концентраций Ca, Mg, Na, K, Sr, Ba, Rb, Cs. С учетом того, что щелочными, щелочноземельными и др. металлами обогащены начальные участки цеолит-кремнистых отложений, где состав преимущественно морденитовый, можно констатировать, что цеолитовые гели являются эффективным геохимическим барьером указанных катионов. Результат согласуется с тем, что цеолиты широко применяются в качестве катионообменников и молекулярных сит [Буров и др., 1992; Жданов, Егорова, 1968; Campbell et al., 2015]. Проводя параллели с формированием цеолитовой минерализации в гидротермальных системах отметим, что цеолиты, образовавшиеся на глубине, также будут обогащены Ca, Mg, Na, K, Sr, Ba, Rb, Cs, что и наблюдается на Паужетском геотермальном месторождении [Коробов, 2019; Набоко, 1980].
Мышьяк, содержащийся в минеральных отложениях и термальных водах Паужетского месторождения, наиболее вероятно переносится в виде арсенит- и/или арсенат-ионов. Причиной тому служит не столько высокая активность кислорода, сколько сама щелочная среда, в которой становится возможной реакция: 2As + 6OH– → 2AsO33– + 3H2. Обнаруженный акантит в морденитовой матрице коррелирует с повышенным содержанием хлора, что свидетельствует о переносе серебра в растворе в виде галогенидных комплексов. И действительно, константа устойчивости комплекса [AgCl4]3– составляет порядка 2·105, т.е. в концентрированных хлоридно-натриевых растворах серебро может находиться в виде хлоридных комплексных ионов. Еще более прочны хлоридные комплексы золота, что также приводит к его переносу термальными водами [Королева и др., 1993].
Таким образом, новообразованные цеолит-кремнистые отложения Паужетского геотермального месторождения служат индикатором процессов минерало- и рудообразования не только в зоне разгрузки парогидротерм (вблизи дневной поверхности), но и в недрах гидротермальной системы. Глубинные хлоридно-натриевые гидротермы переносят Au, Ag, As, Hg в форме галогенидных комплексов, а также Se, Te, Sb и др. неметаллы, которые в щелочных растворах становятся подвижными, легко переходя в растворимую форму. Щелочные среды, которые характерны для крупных зрелых, обычно относящихся к регрессивному этапу развития, гидротермальных систем Камчатки (Паужетской, Паратунской, Узон-Гейзерной и др.), создают условия для формирования цеолитовой и сопутствующей рудной минерализации.
БЛАГОДАРНОСТИ
Авторы признательны сотрудникам Аналитического Центра ИВиС ДВО РАН и Центра коллективного пользования “Изотопно-геохимических исследований” ИГХ СО РАН за большой объем аналитических исследований, а также коллегам по экспедиционным работам за практическую помощь в отборе и обработке проб.
ИСТОЧНИК ФИНАНСИРОВАНИЯ
Работа выполнена в рамках государственного задания по теме НИР Института вулканологии и сейсмологии ДВО РАН.
Об авторах
А. В. Сергеева
Институт вулканологии и сейсмологии ДВО РАН
Автор, ответственный за переписку.
Email: anastavalers@gmail.com
Россия, бульвар Пийпа, 9, Петропавловск-Камчатский, 683006
С. Н. Рычагов
Институт вулканологии и сейсмологии ДВО РАН
Email: rychsn@kscnet.ru
Россия, бульвар Пийпа, 9, Петропавловск-Камчатский, 683006
О. В. Кравченко
Институт вулканологии и сейсмологии ДВО РАН
Email: anastavalers@gmail.com
Россия, бульвар Пийпа, 9, Петропавловск-Камчатский, 683006
Е. И. Сандимирова
Институт вулканологии и сейсмологии ДВО РАН
Email: anastavalers@gmail.com
Россия, бульвар Пийпа, 9, Петропавловск-Камчатский, 683006
М. А. Назарова
Институт вулканологии и сейсмологии ДВО РАН
Email: anastavalers@gmail.com
Россия, бульвар Пийпа, 9, Петропавловск-Камчатский, 683006
Е. В. Карташева
Институт вулканологии и сейсмологии ДВО РАН
Email: anastavalers@gmail.com
Россия, бульвар Пийпа, 9, Петропавловск-Камчатский, 683006
А. А. Кузьмина
Институт вулканологии и сейсмологии ДВО РАН
Email: anastavalers@gmail.com
Россия, бульвар Пийпа, 9, Петропавловск-Камчатский, 683006
Список литературы
- Апрелков С.Е., Ежов Б.В., Оточкин В.В., Соколков В.А. Вулкано-тектоника Южной Камчатки // Бюлл. вулканол. станций. 1979. № 57. С. 72–78.
- Басков Е.А., Суриков С.Н. Гидротермы Тихоокеанского сегмента Земли. М.: Недра, 1975. 172 с.
- Белоусов В.И. Геология геотермальных полей. М.: Наука, 1978. 176 с.
- Буров А.И., Козовая Т.В., Сибгатуллин А.Х. и др. Цеолитсодержащие породы Камчатки // Природные цеолиты России: геология, физико-химические свойства и применение в промышленности и охране окружающей среды. Т. 1. Новосибирск: Институт минералогии и петрографии СО РАН, 1992. С. 45–48.
- Геолого-геофизический атлас Курило-Камчатской островной системы / Под ред. К.Ф. Сергеева, М.Л. Красного. Л.: ВСЕГЕИ, 1987. 36 л.
- Долгоживущий центр эндогенной активности Южной Камчатки. М.: Наука, 1980. 172 с.
- Жатнуев Н.С., Миронов А.Г., Рычагов С.Н., Гунин В.И. Гидротермальные системы с паровыми резервуарами (концептуальные, экспериментальные и численные модели). Новосибирск: Наука, 1996. 184 с.
- Жданов С.П., Егорова Е.Н. Химия цеолитов. Л.: Институт химии силикатов им. И.В. Гребенщикова АН СССР, 1968. 158 с.
- Иванов В.В. Генетическая классификация минерализованных вод земной коры // Труды ЦНИИК: Вопросы гидрогеологии минеральных вод. 1977. Т. 34. С. 3–58.
- Калачева Е.Г., Рычагов С.Н., Королева Г.П., Нуждаев А.А. Геохимия парогидротерм Кошелевского вулканического массива (Южная Камчатка) // Вулканология и сейсмология. 2016. № 3. С. 41–56.
- Кононов В.И. Геохимия термальных вод областей современного вулканизма (рифтовых зон и островных дуг). М.: Наука, 1983. 216 с. (Труды ГИН АН СССР. Вып. 379).
- Коробов А.Д. Гидротермальный литогенез в областях наземного вулканизма. Саратов: Изд-во Саратов. ун-та, 2019. 120 с.
- Королева Г.П., Ломоносов И.С., Стефанов Ю.М. Золото и другие рудные элементы в гидротермальной системе // Структура гидротермальной системы. М.: Наука, 1993. С. 238–280.
- Манухин Ю.Ф., Павлова Л.Е. Типизация гидрогеологических структур вулканических районов Камчатки и характеристика вулканогенных бассейнов // Вулканология и сейсмология. 2011. № 3. С. 13–33.
- Набоко С.И. Металлоносность современных гидротерм в областях тектоно-магматической активности. М.: Наука, 1980. 198 с.
- Набоко С.И., Карпов Г.А., Розникова А.П. Гидротермальный метаморфизм пород и минералообразование // Паужетские горячие воды на Камчатке. М.: Наука, 1965. С. 76–118.
- Пампура В.Д. Геохимия гидротермальных систем областей современного вулканизма. Новосибирск: Наука, 1985. 151 с.
- Пампура В.Д., Сандимирова Г.П. Геохимия и изотопный состав стронция гидротермальных систем. Новосибирск: Наука, 1990. 152 с.
- Паужетские горячие воды на Камчатке. М.: Наука, 1965. 208 с.
- Прогнозная оценка рудоносности вулканогенных формаций. М.: Недра, 1977. 296 с.
- Рычагов С.Н. Эволюция гидротермально-магматических систем островных дуг / Автореф. дисс. … доктора геол.-мин. наук. М.: ИГЕМ РАН, 2003. 50 с.
- Рычагов С.Н., Нуждаев А.А., Степанов И.И. Ртуть как индикатор современной рудообразующей газо-гидротермальной системы (Камчатка) // Геохимия. 2014. № 2. С. 145–157.
- Рычагов С.Н., Сандимирова Е.И., Чернов М.С. и др. Минералообразование на Восточно-Паужетском термальном поле (Южная Камчатка) как отражение влияния глубинного щелочного флюида и эпитермальной рудообразующей системы // Геология и геофизика. 2023. Т. 64. № 2. С. 255–279. doi: 10.15372/GiG2022211
- Рычагов С.Н., Сергеева А.В., Чернов М.С. Минеральные ассоциации основания толщи глин как индикаторы флюидного режима Паужетской гидротермальной системы (Камчатка) // Тихоокеанская геология. 2017. Т. 36. № 6. С. 90–106.
- Сандимирова Е.И., Рычагов С.Н., Сергеева А.В., Чубаров В.М. Цеолитовая минерализация в аргиллизитах Восточно-Паужетского термального поля – как индикатор разгрузки щелочного флюида в современной гидротермальной системе (Южная Камчатка) // Вулканология и сейсмология. 2022. № 6. С. 42–62. DOI: 10.31857.S0203030622060086
- Сергеева А.В., Рычагов С.Н., Сандимирова Е.И. и др. Минеральный состав искусственных кремнистых отложений (“гейзеритов”) Паужетского геотермального месторождения (Южная Камчатка) // Материалы XXV ежегодной научной конференции, посвященной Дню вулканолога: Вулканизм и связанные с ним процессы. Петропавловск-Камчатский: ИВиС ДВО РАН, 2022. С. 154–157.
- Структура гидротермальной системы. М.: Наука, 1993. 298 с.
- Сугробов В.М. Геотермальные ресурсы Камчатки, классификация и прогнозная оценка // Изучение и использование геотермальных ресурсов в вулканических областях. М.: Наука, 1979. С. 26–35.
- Сугробов В.М., Карпов Г.А., Рычагов С.Н. 50 лет со дня пуска Паужетской геотермальной электрической станции // Материалы научной конференции, посвященной Дню вулканолога: Вулканизм и связанные с ним процессы. Петропавловск-Камчатский: ИВиС ДВО РАН, 2016. С. 443–448.
- Феофилактов С.О., Рычагов С.Н., Букатов Ю.Ю. и др. Новые данные о строении зоны разгрузки гидротерм в районе Восточно-Паужетского термального поля (Южная Камчатка) // Вулканология и сейсмология. 2017. № 5. С. 36–50.
- Феофилактов С.О., Рычагов С.Н., Букатов Ю.Ю. и др. Строение зоны разгрузки парогидротерм Верхне-Паужетского термального поля // Геология и геофизика. 2020. Т. 61. № 9. С. 1194–1214.
- Феофилактов С.О., Рычагов С.Н., Логинов В.А. и др. Глубинное строение района Паужетской гидротермальной системы (Южная Камчатка) // Вулканология и сейсмология. 2021. № 1. С. 40–56.
- Челноков Г.А., Харитонова Н.А. Углекислые минеральные воды юга Дальнего Востока России. Владивосток: Дальнаука, 2008. 165 с.
- Чудаев О.В. Состав и условия образования современных гидротермальных систем Дальнего Востока России. Владивосток: Дальнаука, 2003. 203 с.
- Campbell K.A., Guido D., Gautret P. et al. Geyserite in hot-spring siliceous sinter: window on Earths hottest terrestrial (paleo) environment and its extreme life // Earth Sci. Rev. 2015. V. 148. P. 44–64.
- Ellis A.J. Volcanic hydrothermal areas and the interpretation of thermal waters compositions // Bull. Volcanol. 1966. V. 29. P. 575–584.
- Giggenbach W.F., Garcia N.P., Londono A. et al. The chemistry of fumarolic vapor and thermal-spring disharge from the Nevado del Ruiz volcanic-magmatic-hydrothermal system, Colombia // J. Volcanol. Geotherm. Res. 1990. № 42. P. 13–39.
- Fournier R.O. Active hydrothermal systems as analogues of fossil systems. The role of heat in the development of energy and mineral resources in the nothern Basin and Range province // Geotherm. Resour. Council Spec. Rep. 1983. V. 13. P. 263–284.
- Frolova J.V., Ladygin V.M., Bashina J.S. et al. Artificial Silica Deposits from Pauzhetskoe Geothermal Field: Petrophysical Properties and Possibility of Utilization (South Kamchatka, Far East, Russia) // Conference on Mineral Extraction, USA, Tucson, Arizona. 2006. 4 p.
- Hedenquist J.W. The thermal and geochemical structure of the Broadlands-Ohaaki geothermal system, New Zealand // Geothermics. 1990. V. 19. P. 151–185.
- Henley R.W., Ellis A.J. Geothermal systems, ancient and modern // Earth Sci. Rev. 1983. № 19. P. 1–50.
- Rychagov S.N., Boikova I.A., Kalacheva E.G. et al. Artificial Sinter Deposits of the Pauzhetsky Geothermal System // Conference on Mineral Extraction, USA, Tucson, Arizona. 2006. 4 p.
- Sillitoe R.H. Epithermal paleosurfaces // Mineral Deposita. 2015. V. 50. P. 767–793. doi: 10.1007/s00126- 015-0614-z
- White D.E., Muffler L.I.P., Truesdell A.H. Vapour – dominating hydrothermal systems compared with hot-water systems // Econ. Geology. 1971. V. 66. № 1. P. 75–97.
Дополнительные файлы













