Practical Application of Step Reduction of Current Density in Processes of Electroextraction of Copper during Processing of Copper-Containing Waste
- Authors: Bobrov M.N.1, Pechenkina E.S.1
-
Affiliations:
- Petersburg State Institute of Technology (Technical University)
- Issue: Vol 30, No 1 (2024)
- Pages: 139-147
- Section: Chemical Engineering and Related Industries. Chemistr
- URL: https://ogarev-online.ru/0136-5835/article/view/278729
- DOI: https://doi.org/10.17277/vestnik.2024.01.pp.139-147
- ID: 278729
Cite item
Full Text
Abstract
Literary data on waste recycling are summarized to obtain a compact copper deposit by electrolysis. A mathematical model for the electrical extraction of copper from nitrate and sulfate electrolytes with a decrease in the operating current density as the electrolyte is depleted has been proposed and experimentally confirmed. The developed electrolysis models were tested in the processes of technological processing of concentrated copper-containing waste to obtain a precipitate of compact high-purity copper.
Full Text
Введение
Выделение и повторное использование определенных материалов и целевых продуктов из промышленных отходов приобретает все большее значение. В силу развития промышленного производства проблема переработки отходов, содержащих цветные металлы (цинк, никель, медь и др.), является достаточно актуальной. Ужесточение норм законодательства в сфере охраны окружающей среды
и рационального природопользования вынуждает многие предприятия брать на себя тенденции на сокращение объема образующихся отходов промышленных производств и их переработку в целях вторичного использования, а также непосредственный возврат ценных компонентов в конкретный технологический цикл путем организации локальных схем переработки. В то же время данные Министерства природных ресурсов и экологии РФ за 2022 год указывают на восстановление тренда на увеличение объема захороненных отходов [1].
Использование электрохимических экстракционных методов с получением целевых продуктов достаточно широко применимо к комплексной переработке многокомпонентного вторичного сырья и утилизации отходов предприятий добывающей и перерабатывающей промышленности [2–4].
Тем не менее в вопросе применимости электроэкстракции зачастую ключевым аспектом является полнота извлечения ценного компонента в виде определенного товарного продукта. В частности, большинство применяемых схем по извлечению меди с получением металлического осадка в компактном виде ограничено диапазоном применяемых плотностей тока в зависимости от концентрации ионов меди в начале и конце процесса электролиза.
Цель работы – изучение возможности глубокой электроэстракции меди из различных типов электролитов при ступенчатом понижении плотности тока согласно предложенной математической модели и применимости ее к переработке медьсодержащих концентрированных отходов.
Экспериментальная часть и обсуждение результатов
Получение компактного осадка меди с использованием метода электроэкстракции применимо к переработке шламов, образующихся при травлении печатных плат в медноаммиачных травильных растворах, обоснование и описание технологии которой приведено в [5]. Сущность разработанной технологии извлечения меди из шлама заключается в термическом разложении шлама в щелочной среде (75…80 °С, рН 12,5…13,0) по реакциям:
Cu(NH3)2Cl2 + 2NaOH → CuO↓ + 2NH3↑ + 2NaCl+ H2O;
CuOHCl + NaOH → CuO↓ + NaCl + H2O.
Отмытый и высушенный осадок оксида меди (II), растворенный в серной кислоте с концентрацией 100 г/л, служит электролитом при электроэкстракции меди. Образующаяся на нерастворимом аноде (свинец или его сплав) кислота используется для растворения новых порций оксида меди (II). Поскольку при электроэкстракции из непроточного электролита концентрация ионов меди уменьшается, возникает опасность образования вместо компактного осадка меди губчатых или порошкообразных осадков.
Для более глубокого извлечения меди за один электролиз необходимо понижать величину рабочей плотности тока по определенному закону. Для расчета кривой изменения плотности тока во времени приняты следующие исходные положения.
В каждый момент времени t рабочая плотность тока i(t), А/дм2, пропорциональна концентрации СCu меди, г/дм3, в электролите. Таким образом,
i(t) = k СCu, (1)
где k – коэффициент пропорциональности, А∙дм/г.
Коэффициент пропорциональности k определяется как некоторое среднее значение на основе литературных данных по промышленному электролизу меди из сульфатных электролитов и в математических расчетах принято равным 0,05 [2].
Концентрация меди СCu в каждый момент времени t равна
СCu = С0 – Δm/V, (2)
где С0 – начальная концентрация, г/дм3; V – объем электролита, дм3; Δm – масса меди, выделившейся на катоде за время t, г.
Величина Δm определяется из соотношения
, (3)
где q – электрохимический эквивалент меди, q = 1,186 г/(А∙ч); S – рабочая поверхность катода, дм2; iср – средняя плотность тока за время t, А/дм2; ВТ – выход по току, ВТ = 0,95.
Из вышеприведенных зависимостей (1) – (3) получаем
, (4)
где , .
Для решения интегрального уравнения (4) применим преобразование Лапласа, где i(t) ≡ I(p). При этом учитываем, что операции интегрирования оригинала соответствует алгебраическое действие над изображением, а именно его деление на p:
.
Применив преобразование Лапласа к обеим частям выражения (4), получим:
откуда
. (5)
Этот же результат может быть получен приведением выражения (4) к дифференциальному уравнению. Дифференцируем левую и правую части выражения (4)
,
где i(0) = a;
; ; ;
, (6)
поскольку i(0) = a, то С = а.
Степень извлечения меди из электролита за время t равна
. (7)
Время достижения определенной степени извлечения меди
. (8)
С учетом выведенных зависимостей в редакторе Excel выполнены расчеты для выбора режима электролиза. При выполнении расчетов для рабочей плотности тока задавался шаг по времени, равный одной минуте; при выполнении расчетов t задавался шаг по степени извлечения меди, равный 0,01.
Расчетные зависимости изменения плотности тока во времени (для различной плотности загрузки катодов S/V, дм–1) представлены на рис. 1, а. Расчеты завершались при достижении степени извлечения меди, равной 75 % (0,75). При этом конечное значение плотности тока составляло 25 % от начального. Расчет выполнен для электролита с начальной концентрацией меди С0 = 60 г/дм3. Значение b в уравнениях при принятых исходных данных, согласно (4), равно 0,05635S/V.
Расчетные зависимости времени электроэкстракции от предполагаемой степени извлечения меди (для различной плотности загрузки катодов) представлены на рис. 1, б, и выполнены для электролита с начальной концентрацией меди С0 = 60 г/дм3. Расчеты завершались при достижении степени извлечения меди, равной 95 % (0,95).
Из полученных данных следует, что при η > 0,75…0,8 время электроэкстракции существенно возрастает. В условиях малотоннажного производства целесообразно электроэкстракцию проводить за время не более 5…7 ч. Данному условию соответствуют значения S/V > 4 дм–1 (см. рис. 1).
Казалось бы, чем больше соотношение S/V, тем лучше и быстрее проходит электроэкстракция. Однако сильно увеличивать данное соотношение нельзя. При плотной сборке электродов (вплотную ко дну и стенкам электролизера) обратная величина V/S будет равна межэлектродному расстоянию. Так, для S/V = 5 дм–1 межэлектродное расстояние (обозначим его L) будет равно 1/5 дм (2 см). При дальнейшем увеличении S/V величина L будет еще меньше, и возникнет опасность коротких замыканий между электродами. Поэтому следует рекомендовать значения S/V в пределах от 4 до 5 дм–1.
Рис. 1. Расчетные зависимости изменения плотности тока во времени (а) и времени электроэкстракции от предполагаемой степени извлечения меди (б): номер кривой соответствует величине S/V, дм–1
При реальном осуществлении электролиза должно быть определенное расстояние от края электрода до дна и стенок, что соответствует ситуации, когда при одном и том же межэлектродном расстоянии L соотношение S/V будет снижаться. Уменьшение соотношения S/V равносильно (при L = const) введению избытка электролита по сравнению с плотной сборкой электродов. По этой причине проведены расчеты времени электролиза для следующих условий: С0 = 60 г/л, η = 0,75; избыток электролита – 5 – 20 % по сравнению с плотной сборкой.
При выполнении этих расчетов определялись S/V, новые значения b. Из полученных расчетных данных следует, что даже при 20%-м избытке электролита время электролиза не превышает 7,5 ч, что укладывается во время одной рабочей смены.
С учетом вышеизложенного проведены две серии опытов по электролизу модельных растворов и растворов, полученных при переработке шлама одного из промышленных предприятий по производству печатных плат. В обеих сериях расчетное извлечение меди при каждом электролизе составляло 75 %, а количество циклов «электролиз – растворение CuO» – 6. Расчетная зависимость I – t аппроксимирована ступенчатым понижением силы тока, представленным на рис. 2.
В обеих сериях опытов получены компактные качественные осадки меди с ВТ, равным 94 – 95,2 %. Процентное содержание меди по результатам спектрального анализа, выполненного на спектрометре SPECTROLAB, составило 99,99 % в обоих образцах, что соответствует марке катодной меди М0к по ГОСТ 859–2014 и дает возможность использования полученного осадка в качестве анодов при гальваническом меднении.
Стоит отметить, что практика применения электролиза меди с получением компактных осадков из азотнокислых (нитратных) растворов встречается в литературных источниках крайне редко. В частности, в [6] определены оптимальные параметры и показатели процесса электроэкстракции меди из сульфатно-нитратных растворов, полученных при азотнокислотном выщелачивании полиметаллического сульфидного сырья и показано, что увеличение концентрации азотной кислоты в электролите не оказывает значительного влияния на показатели процесса. Авторами [7] предложена технология очистки нитратного медьсодержащего раствора травления с использованием импульсного электролиза и изучено влияние времени импульса на эффективность очистки и ВТ меди.
Рис. 2. Изменение тока при электролизе: 1 – расчетная кривая; 2 – ступенчатое изменение тока: С0 = 60 г/дм3, S/V = 4,8 дм–1
В работе [8] предложена технологическая схема переработки медьсодержащего ядохимиката купрозана через промежуточную стадию цементации меди в виде порошка из раствора купрозана в серной кислоте. Полученную на стадии цементации медь использовали для приготовления медьсодержащего азотнокислого электролита для электроэкстракции меди. При электролизе, в соответствии с литературными данными [9], по получению меди из нитратных электролитов концентрация азотной кислоты не должна превышать 63 г/дм3.
В случае электроэкстракции из нитратного электролита регенерированной при электролизе азотной кислоты недостаточно для растворения новых количеств меди. Это объясняется тем, что при растворении меди часть азотной кислоты расходуется на образование оксида азота (II). В итоге цикл «растворение – электролиз» описывается уравнениями:
3Сu + 8HNO3 → 3Сu(NO3)2 + 2NO + 4H2O (растворение);
3Сu(NO3)2 + 3H2O → 3Сu + 6HNO3 + 1,5O2. (электролиз)
2HNO3 → 2NO + Н2O + 1,5О2.
В соответствии с реакцией при электролизе наработка азотной кислоты идет в два раза быстрее истощения электролита по меди. Изменение концентраций меди и азотной кислоты происходит согласно уравнениям (для упрощения анодный и катодный ВТ приняты 100 %):
; (9)
, (10)
где q – электрохимический эквивалент, г/(А∙ч); Q – количество пропущенного электричества, А∙ч; V – объем электролита, г/дм3; СCu, 0 и СHNO3, 0 – концентрации соответственно меди и азотной кислоты в начале электролиза.
Степень извлечения η меди за одну электроэкстракцию составляет
. (11)
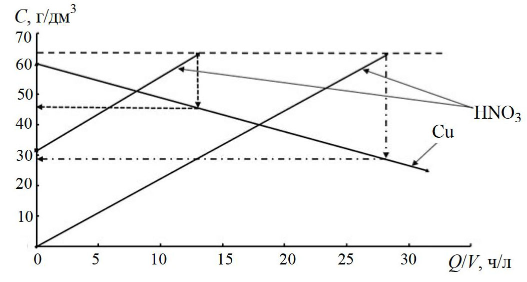
На рисунке 3 представлено расчетное изменение концентраций меди и азотной кислоты (для СCu, 0 = 60 г/дм3 и для двух значений СHNO3, 0 – 0 и 31,5 г/дм3).
Рис. 3. Расчетное изменение концентрации меди и азотной кислоты при электроэкстракции из азотнокислого(нитратного) электролита
Из расчетов, согласно (9) – (11) и рисунка 3, видно, что при достижении концентрации азотной кислоты 63 г/дм3 концентрация меди снижается до 28,2 г/дм3 (степень извлечения 53 %), если электролиз начинается при отсутствии свободной кислоты. Однако на стадии растворения медного порошка конечная концентрация азотной кислоты не может доводиться до нулевого значения; в противном случае растворение медного порошка будет неполным.
В экспериментальной части наработан медный порошок цементацией на алюминиевой стружке, который использовали для приготовления нитратного электролита. С полученным электролитом проведены две серии опытов по электроэкстракции с анодом ОРТА.
В первой серии проводили неглубокое (около 20 %) извлечение меди, а отработанный электролит использовали для растворения новых количеств медного порошка (с подпиткой по азотной кислоте). В результате проведенных экспериментов по электроэкстракции получены качественные компактные осадки меди
с ВТ, равным 94 – 98 % (при i = 2…5 А/дм2).
Во второй серии опытов остаточную кислотность предварительно нейтрализовали раствором гидроксида натрия концентрацией 100 г/дм3 до рН 4…5. Электролиз проводили с более глубоким истощением по меди (около 50 %). Отработанный электролит также использовали для растворения новых количеств медного порошка (с подпиткой по азотной кислоте); перед электролизом вновь проводили нейтрализацию остаточного количества азотной кислоты раствором гидроксида натрия. В результате этой серии экспериментов (при i = 2 А/дм2) также получен качественный компактный осадок с ВТср около 98 %. Чистота полученных катодных осадков меди по результатам спектрального анализа с использованием спектрометра SPECTROLAB составила 99,97 %, что позволяет использовать полученный осадок в качестве анодов при гальваническом меднении.
Заключение
Изучена возможность переработки некоторых медьсодержащих концентрированных отходов с использованием метода электроэкстракции для получения
в качестве товарного продукта компактного осадка меди высокой чистоты. Предложены способы стабилизации качества получаемого продукта путем применения ступенчатого понижения плотности тока в процессе электроэкстракции на основе разработанной математической модели.
Реализованные схемы электролиза позволяют получать катодные осадки меди с высоким выходом по току и осуществлять переработку отходов с более глубоким извлечением меди из электролитов различного анионного состава.
About the authors
M. N. Bobrov
Petersburg State Institute of Technology (Technical University)
Author for correspondence.
Email: mikh-bobrov@ya.ru
кандидат технических наук, доцент кафедры «Технологии электрохимических производств»
Russian Federation, St. PetersburgE. S. Pechenkina
Petersburg State Institute of Technology (Technical University)
Email: mikh-bobrov@ya.ru
кандидат химических наук, доцент кафедры «Технологии электрохимических производств»
Russian Federation, St. PetersburgReferences
- O sostoyanii i ob ohrane okruzhayushchej sredy Rossijskoj Federacii v 2022 godu. Gosudarstvennyj doklad [On the state and environmental protection of the Russian Federation in 2022. State report.]. Moscow: Ministry of Natural Resources of Russia; Lomonosov Moscow State University, 2023, 686 p. (In Russ.)
- Sitting M.; Emanuel N.M. (Ed.). Izvlechenie metallov I neorganicheskih soedinenij iz othodov: spravochnik [Extraction of metals and inorganic compounds from waste: handbook], Moscow: Metallurgy, 1985, 408 p. (In Russ.)
- Ilyin V.I., Grechina M.S., Gubin A.F. [Utilization of industrial production waste by electrochemical and extraction methods to obtain marketable products], Himicheskaya promyshlennost' segodnya [Chemical industry today], 2013, no. 10, pp. 42-45. (In Russ., abstract in Eng.)
- Brodsky V.A., Sakharov D.A., Kolesnikov A.V., Ashikhmina T.Ya., Ivanov K.N. [Problems of neutralization and utilization of highly toxic technogenic industrial waste, their processing to obtain valuable components], Teoreticheskaya i prikladnaya ekologiya [Theoretical and Applied Ecology], 2022, no. 4, pp. 88-95. doi: 10.25750/1995-4301-2022-4-088-095 (In Russ., abstract in Eng.)
- Khranilov Yu.P., Lobanova L.L., Eremeeva T.V., Bobrov M. N. Utilizaciya othodov proizvodstva i potrebleniya: innovacionnye podhody i tekhnologii: materialy Vserossijskoj nauchno-prakticheskoj konferencii s mezhdunarodnym uchastiem [Utilization of production and consumption waste: innovative approaches and technologies: Materials of the All-Russian scientific and practical conference with international participation], Kirov, 2019, pp. 35-39. (In Russ.)
- Rogozhnikov D.A., Mamyachenkov S.V., Anisimova O.S. [Optimal parameters of copper electroextraction from nitrate-containing solutions], Metallurg [Metallurg], 2015, no. 8, pp. 75-78. (In Russ., abstract in Eng.)
- Savelyeva E.A., Dikun M.P. [Efficiency of purification of copper-containing solutions by pulsed electrolysis], Transactions of the Tambov State Technical University, 2017, vol. 23, no. 4, pp. 672-679. doi: 10.17277/vestnik.2017.04.pp.672-679. (In Russ., abstract in Eng.)
- Bobrov M.N., Khranilov Yu.P. Sovershenstvovanie tekhnologii gal'vanicheskih pokrytij: Tezisy dokladov XIV Vserossijskogo soveshchaniya, 5-8 oktyabrya 2009, Kirov [Improvement of electroplating technology: Abstracts of the XIV All-Russian Meeting, October 5-8, 2009, Kirov], Kirov, 2009, pp. 23-25. (In Russ.)
- Astakhova R.K., Belyustin A.A., Berkinblit V.V.; Sukhotin A.M. (Ed.). Spravochnik po elektrohimii [Handbook of Electrochemistry], Leningrad: Khimiya, 1981, 488 p. (In Russ.)
Supplementary files





