Kinetic Characteristics of Electromicrofiltration Purification of Technological Solutions from Synthetic Surfactants
- Authors: Kotenev S.I.1
-
Affiliations:
- TSTU
- Issue: Vol 30, No 2 (2024)
- Pages: 317-327
- Section: Chemical Engineering and Related Industries. Chemistr
- URL: https://ogarev-online.ru/0136-5835/article/view/278056
- DOI: https://doi.org/10.17277/vestnik.2024.02.pp.317-327
- ID: 278056
Cite item
Full Text
Abstract
The possibility of using electromembrane separation in the purification of process solutions from synthetic surfactants is considered. In order to study the influence of the parameters of the separation process on the main kinetic characteristics, experimental studies were carried out on the specific productivity and retention coefficient of MPFC-2G, MMK 0.45 and MPFC-0 membranes when purifying process waters from trisodium phosphate and sodium tripolyphosphate. Criterion dependencies for calculating mass transfer during electromembrane purification of process solutions from synthetic surfactants have been proposed for use. A mathematical description of the kinetics of mass transfer during electromembrane cleaning has been developed, which is used in the methodology for calculating an electric membrane apparatus for removing synthetic surfactants from process solutions. A technological design for the process of electromembrane purification of technological solutions from synthetic surfactants is proposed.
Full Text
Введение
Отечественные предприятия ежесуточно используют воду в объеме 8…10 млн м3, и в результате образуются сточные воды, содержащие токсичные загрязняющие вещества, одними из которых являются синтетические поверхностно-активные вещества (СПАВ). Современные требования к сбросу промышленных сточных вод обуславливают поиск и разработку более эффективных решений в области их очистки [1, 2]. Наиболее рациональный путь для достижения таких целей – создание локальной системы очистки с возможностью извлечения ценных компонентов и использования очищенных вод в оборотном цикле [3 – 5].
Наибольший успех в отношении эффективности и технологичности очистки сточных вод достигнут при использовании методов мембранного разделения, в частности, обратного осмоса, ультрафильтрации и электромембранных процессов [6 – 11]. Для расчета процесса электромембранного разделения необходимо иметь экспериментальные данные по кинетическим параметрам и характеристикам процесса. Одними из основных параметров, характеризующих эффективность процесса при электромембранном разделении, являются выходная удельная производительность и коэффициент задержания мембраны [6].
Цель работы – исследование кинетических характеристик электромикрофильтрационной очистки растворов от синтетических поверхностно-активных веществ.
Результаты экспериментальных исследований
В целях исследования основных параметров электромембранного разделения проведен эксперимент по очистке модельных растворов, имитирующих реальные сточные воды с промышленных объектов г. Тамбова, содержащих тринатрийфосфат и триполифосфат натрия. Основные характеристики модельных растворов приведены в табл. 1.
Таблица 1
Основные характеристики модельных растворов
Вещество | Химическая формула | Концентрация, кг/м3 | Температура, °C |
Тринатрийфосфат | Na3PO4 | 0,5…2,2 | 5…20 |
Триполифосфат натрия | Na5P3O10 | 0,3…2,0 |
В эксперименте использовали лабораторную электромембранную установку, рабочей частью которой служит плоско-камерная ячейка. При изучении кинетических характеристик процесса электромембранного разделения применялись отечественные мембраны МФФК-2Г, ММК 0,45 и МФФК-0, промышленно выпускаемые ЗАО НТЦ «Владипор» (г. Владимир). При выборе мембран учитывалось наиболее оптимальное соотношение удельной производительности и задерживающей способности, обеспечивающее требования к качеству пермеата.
Методика проведения подробно представлены в работе [12].
Коэффициент задержания мембраны K и выходной удельный поток растворителя J находятся в определенной зависимости от материала мембран, природы растворенных веществ и их концентраций в исходном растворе, а также от давления, при котором происходит процесс разделения, и плотности тока [13 – 18].
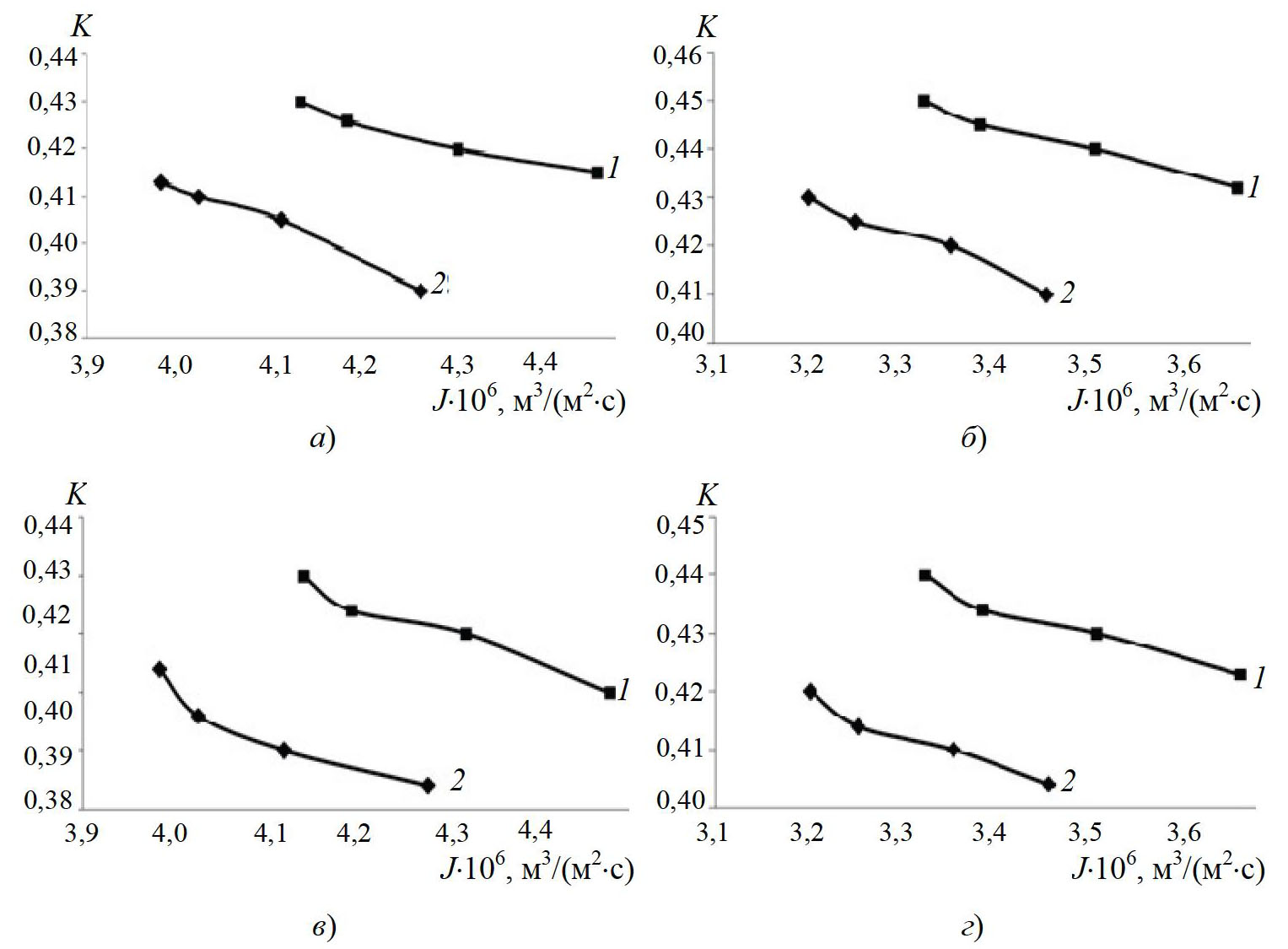
Полученные в ходе экспериментальных исследований данные по влиянию этих параметров на величину K при электромембранном разделении водных растворов тринатрийфосфата и триполифосфата натрия представлены на рис. 1 – 3. Из приведенных данных следует, что при увеличении выходного удельного потока растворителя через мембрану коэффициент задержания снижается для всех представленных зависимостей. Это явление объясняется тем, что перенос растворенного вещества через мембрану обусловлен в основном конвективным потоком растворителя.
Анализ зависимости удельного потока от концентрации показал, что удельный поток через исследуемые мембраны незначительно уменьшается с ростом концентрации для всех веществ. По значениям концентраций исследуемых растворов их можно отнести к разбавленным. Для таких растворов характерно незначительное влияние роста концентрации на проницаемость мембран. В зависимости от типа мембран отмечается бо́льшая удельная производительность мембраны МФФК-2Г, чем ММК 0,45 и МФФК-0.
Коэффициент задержания также находится в линейной зависимости от плотности тока, однако отмечается различное поведение кривых коэффициента задержания для приканодных и прианодных мембран. Данное явление вызвано «блокировкой» пор прикатодных мембран за счет отвода основной группы ионов [18].
Рис. 1. Зависимости коэффициента задержания от выходного удельного потока растворителя прикатодной (а, в) и прианодной (б, г) мембраны МФФК-0 для растворов тринатрийфосфата (а, б) и триполифосфата натрия (в, г):
а, б – сисх = 0,5 кг/м3 (1) и 2,0 кг/м3 (2); в, г – сисх = 0,3 кг/м3 (1) и 1,5 кг/м3 (2)
Рис. 2. Зависимости коэффициента задержания от выходного удельного потока растворителя прикатодной (а, в) и прианодной (б, г) мембраны ММК 0,45 для растворов тринатрийфосфата (а, б) и триполифосфата натрия (в, г):
а, б – сисх = 0,5 кг/м3 (1) и 2,0 кг/м3 (2); в, г – сисх = 0,3 кг/м3 (1) и 1,5 кг/м3 (2)
Рис. 3. Зависимости коэффициента задержания от выходного удельного потока растворителя прикатодной (а, в) и прианодной (б, г) мембраны МФФК-2Г для растворов тринатрийфосфата (а, б) и триполифосфата натрия (в, г):
а, б – сисх = 0,5 кг/м3 (1) и 2,0 кг/м3 (2); в, г – сисх = 0,3 кг/м3 (1) и 1,5 кг/м3 (2)
Для теоретического расчета коэффициента задержания K с наложением электрического тока применялось выражение [18, 19]
(1)
где k1, k2, k3 – эмпирические коэффициенты (табл. 2); i – плотность тока, А/м2; η – выход по току, %; kр – коэффициент распределения мембран; D – коэффициент диффузии, м2/с; J – удельная производительность, м3/(м2×с).
Сравнение экспериментальных и расчетных значений коэффициента задержания показало их удовлетворительное совпадение.
Для математического описания и физического объяснения явления переноса при электромембранном разделении, а также методик расчета применяются различные подходы, основанные, преимущественно, на уравнениях переноса растворенного вещества и растворителя через мембрану [19, 20].
При расчете и проектировании электромембранных процессов целесообразно знать основные параметры разделения. Параметры для процесса разделения: коэффициент задержания K; V – объем в емкости исходного раствора, м3; С – концентрация растворенного вещества в емкости исходного раствора, кг/м3, Jƒ, Jk, Jp – расходы исследуемого раствора, ретентата и пермеата соответственно, кг/с; Сƒ, Сk, Сp – концентрации растворенных веществ в исследуемом растворе, ретентате и пермеате соответственно, кг/м3, t – продолжительность проведения электромембранного процесса, с.
Таблица 2
Значения эмпирических коэффициентов для выражения (1)
Раствор | Мембрана* | k1 | k2 | k3 |
Тринатрийфосфат | МФФК-0 (п/а) | 0,06 | 1,0 | 259 423 |
МФФК-0 (п/к) | 0,05 | 252 150 | ||
ММК 0,45 (п/а) | 0,06 | 259 423 | ||
ММК 0,45 (п/к) | 0,10 | 90 709 | ||
МФФК-2Г (п/а) | 0,05 | 93 537 | ||
МФФК-2Г (п/к) | 0,10 | 90 709 | ||
Триполифосфат натрия | МФФК-0 (п/а) | 0,07 | 0,9 | 256 621 |
МФФК-0 (п/к) | 0,06 | 1,0 | 259 423 | |
ММК 0,45 (п/а) | 0,05 | 252 150 | ||
ММК 0,45 (п/к) | 0,06 | 259 423 | ||
МФФК-2Г (п/а) | 0,08 | 93 537 | ||
МФФК-2Г (п/к) | 0,10 | 90 709 | ||
* Мембрана прианодная (п/а) и прикатодная (п/к). | ||||
Рассмотрим задачу массопереноса при электромембранном разделении раствора в мембранном канале.
Исходные условия:
; (2)
. (3)
Материальный баланс:
- – по растворителю в промежуточной емкости:
; (4)
; (5)
- – растворенному веществу в промежуточной емкости
; (6)
- – расход мембранного модуля по растворителю
; (7)
- – мембранного модуля по растворенному веществу
. (8)
После несложных математических преобразований получим следующее выражение для определения концентрации веществ в исследуемом растворе
, (9)
где k – числовой коэффициент; ∆P – разность давлений; t – изоклонический коэффициент; R – универсальная газовая постоянная; T – температура 293,15 K; С0 – концентрация растворенного вещества в исходном растворе, кг/м3; Fm – площадь мембраны, м2.
Адекватность математического описания оценивали путем сравнения расчетных значений концентраций растворенного вещества в ретентате Срет и исходном растворе Сисх с экспериментальными данными, полученными при электромембранном разделении растворов тринатрийфосфата и триполифосфата натрия для мембран МФФК-0 и ММК 0,45 (рис. 4, 5).
Рис. 4. Сопоставление экспериментальных и расчетных данных концентрационных зависимостей от давления для мембраны МФФК-0 при температуре T = 293 K для раствора тринатрийфосфата (а) и триполифосфата (б) Р, МПа:
1 – 0,1; 2 – 0,15; 3 – 0,20 (сплошные линии – эксперимент, штриховые – расчет)
Рис. 5. Сопоставление экспериментальных и расчетных данных концентрационных зависимостей от давления для мембраны ММК-0,45 при температуре T = 293 K для раствора тринатрийфосфата (а) и триполифосфата (б) Р, МПа:
1 – 0,1; 2 – 0,15; 3 – 0,20 (сплошные линии – эксперимент, штриховые – расчет)
Сопоставление показало, что расхождение расчетных и экспериментальных данных не превышает 15 %. На основе проведенных исследований по электромембранному разделению водных растворов предложено модернизировать схему очистки технологических и сточных вод от СПАВ и фосфатосодержащих веществ.
Рис. 6. Схема очистки технологических и сточных вод от СПАВ и фосфатосодержащих веществ
На рисунке 6 представлена комбинированная схема очистки технологических и сточных вод от СПАВ и фосфатосодержащих веществ. Схема предусматривает первоначальную нейтрализацию сточных вод с последующим удалением гидроокисей и дальнейшую электромембранную очистку осветленных вод от ПАВ и фосфатосодержащих веществ. Такая комбинация методов очистки позволяет получать до 80 – 85 % очищенной воды для повторного применения.
Схема работает следующим образом. Технологическая вода со станции промывки поступает в накопитель, откуда подается в реактор для нейтрализации в зависимости от величины значения рН очищаемого раствора. После нейтрализации раствор подается в тонкослойный осадитель. Шлам с осадителя подается на фильтр-пресс и выводится с технологической линии для утилизации. Осветленная вода после осадителя нагнетается насосом-дозатором высокого давления в электромембранную установку, где происходит разделение раствора на фильтрат (пермеат) и концентрат (ретентат). Под действием трансмембранного давления и разности электрических потенциалов протекает процесс задержания ионов растворенных веществ и проницание растворителя. Концентрат подается в накопитель и далее для нового цикла очистки. Очищенная вода (пермеат) подается в накопитель и далее возвращается обратно на станцию помывки.
Заключение
На основании проведенных исследований получены и интерпретированы экспериментальные данные по коэффициенту задержания и выходному удельному потоку растворителя технологических растворов в зависимости от концентрации разделяемого раствора, трансмембранного давления и плотности тока. Выявлены аппроксимационные зависимости и вычислены значения эмпирических коэффициентов для теоретического расчета коэффициента задержания электромикрофильтрационного процесса разделения технологических растворов в зависимости от физико-химической природы мембраны, концентрации, трансмембранного давления и плотности тока. Представленные критериальные зависимости могут быть использованы при прогнозировании и разработке лабораторных, пилотных и промышленных электрохимических мембранных аппаратов и установок. Разработанное математическое описание позволяет получать концентрации растворенных веществ на выходе из электромембранного аппарата при заданных параметрах процесса разделения. Модернизировано технологическое оформление процесса электромикрофильтрационной очистки технологических растворов от СПАВ и фосфатосодержащих веществ.
Работа выполнена в рамках проведения исследования по государственному заданию, проект № FEMU-2024-0011.
About the authors
S. I. Kotenev
TSTU
Author for correspondence.
Email: mig@tstu.ru
ассистент кафедры «Механика и инженерная графика»
Russian Federation, TambovReferences
- Gogina E., Makisha N. Information Technologies in View of Complex Solution of Waste Water Problems, Applied Mechanics and Materials, 2014, vol. 587-589, pp. 636-639. doi: 10.4028/ href='www.scientific.net/AMM.587-589.636' target='_blank'>www.scientific.net/AMM.587-589.636
- Sazhin V.B., Polovnikov A.B., Seldinas I., Belousov A.S., Seldinas O., Tarasenko T.A., Sazhin V.V, Matushkina Ye.V., Sazhina M.B., Batalov Ye.G., Tikhonov A.V. [Problems of ecology and environmental management in the context of the economic development of Russia], Uspekhi v khimii i khimicheskoy tekhnologii [Successes in Chemistry and Chemical Technology], 2009, vol. 23, no. 12 (105), pp. 94-108. (In Russ., abstract in Eng.)
- Kolesnikov V.A., Il'in V.I., Kucherov A.A. [Wastewater treatment at metallurgical enterprises], Ekologiya proizvodstva [Ecology of production], 2010, no. 3, pp. 56-59. (In Russ., abstract in Eng.)
- Kolesnikov V.A., Varaksin S.O., Pavlov D.V. [Sewage treatment of various industries with the use of the best available technologies], Chistaya voda: problemy i resheniya [Pure water: problems and solutions], 2010, no. 2-3, pp. 50-59. (In Russ., abstract in Eng.)
- Komyagin Ye.A., Mynin V.N., Lyapin I.F., Averina Yu.M., Lopatyuk Yu.Yu., Terpugov G.V., Terpugov D.G. [Ways of solving the problem of wastewater treatment from heavy and radioactive metals], Ekologiya i promyshlennost' Rossii [Ecology and Industry of Russia], 2008, no. 11, pp. 21-23. (In Russ., abstract in Eng.)
- Paidar M., Fateev V.N., Bouzek K. Membrane Electrolysis – History, Current Status and Perspective, Electrochimica Acta, 2016, vol. 209, pp. 737-756.
- Garcia-Sanchez P., Ramos A. AC Electroosmosis: Basics and Lab-on-a-Chip Applications, Encyclopedia of Nanotechnology, 2012, pp. 25-30.
- Tanaka Y. Ion Exchange Membranes: Fundamentals and Applications, Elsevier Science, 2015, 522 p.
- Borchmann A., Rosenwinkel K.H., Gubanov L.N., Katraeva I.V. Einbindung der Membrantechnik in die Abwasserreinigung mittels Anaerobtechnik, Statusseminar Membrantechnik-10: Hannoversche Industrieabwasser Tagung (HIT), Hannover, 2007, Heft 139.
- Tanninen J., Mänttäri M., Nyström M. Nanofiltration of concentrated acidic copper sulphate solutions, Desalination, 2006, vol. 189, no. 1-3, pp. 92-96. doi: 10.1016/j.desal.2005.06.017
- Su X., Hatton T.A. Electrosorption, Kirk-Othmer encyclopedia of chemical technology, 2016, pp. 1-11. doi: 10.1002/0471238961.1401141522010904.a01.pub2
- Abonosimov O.A., Kuznetsov M.A., Kovaleva O.A., Polikarpov V.M., Dmitriyev V.M. [Kinetic dependencies and technological efficiency of electrochemical membrane separation of wastewater in enterprises], Transactions of the Tambov State Technical University, 2017, vol. 23, no. 4, pp. 641-655, doi: 10.17277/vestnik.2017.04. pp.641-655 (In Russ., abstract in Eng.)
- Plate N.A. [Membrane technologies - the avant-garde direction of development of science and technology of the XXI century], Membrany. Seriya: Kriticheskie tekhnologii [Membrane. Series: Critical Technology], 1999, no. 1, pp. 4-13. (In Russ., abstract in Eng.)
- Dubyaga V.P., Besfamil'nyi I.B. [Nanotechnology and membrane (review)], Membrany. Seriya: Kriticheskie tekhnologii [Membrane. Series: Critical Technology], 2005, no. 3, pp. 11-16. (In Russ., abstract in Eng.)
- Lazarev K.S., Kovalev S.V., Arzamastsev A.A. [Investigations of the kinetic coefficients of reverse osmotic separation of solutions on MGA-95, MGA-100 and OPM-K membranes], Transactions of the Tambov State Technical University, 2011, vol. 17, no. 3, pp. 726-734. (In Russ., abstract in Eng.)
- Lazarev S.I. Teoreticheskie i prikladnye osnovy elektrobaromembrannykh metodov razdeleniya mnogokomponentnykh rastvorov: uchebnoe posobie [Theoretical and applied bases elektrobaromembrannyh methods for separating multicomponent solutions: a tutorial], Tambov: Izdatel’stvo Tamb. gos. tekhn. un-ta, 2008, 104 p. (In Russ.)
- Shaposhnik V.A. [History of membrane electrochemistry], Elektrokhimiya [Electrochemistry], 2002, vol. 38, no. 8, pp. 900-905. (In Russ., abstract in Eng.)
- Akulinchev A.M., Abonosimov O.A., Lazarev S.I. [Investigation of Electrobaromembrane Separation of Industrial Process Solutions Containing Heavy Metal Ions Pb, Cd, Fe], Transactions of the Tambov State Technical University, 2017, vol. 23, no. 1, pp. 120-128, doi: 10.17277/vestnik.2017.01. pp.120-128 (In Russ., abstract in Eng.)
- Khorokhorina I.V. PhD Dissertation (Engineering), Tambov, 2014, 130 p. (In Russ.)
- Abonosimov O.A., Kochetov V.I., Gorbachev A.S., Akulinchev A.M. [Mathematical description of mass transfer and hydrodynamics of solution flows in reverse osmosis semi-permeable membranes], Vestnik Dagestanskogo gos. un-ta [Bulletin of the Dagestan State University], 2012, no. 1, pp. 75-78. (In Russ., abstract in Eng.)
Supplementary files








