Прекурсоры оксидных систем Al2O3–ZrO2–LnxOy, полученные с использованием электрогенерированных реагентов
- Авторы: Петрова Е.В.1, Дресвянников А.Ф.1, Кашфразыева Л.И.1
-
Учреждения:
- Казанский национальный исследовательский технологический университет
- Выпуск: Том 50, № 6 (2024)
- Страницы: 543-554
- Раздел: Статьи
- URL: https://ogarev-online.ru/0132-6651/article/view/284556
- DOI: https://doi.org/10.31857/S0132665124060065
- EDN: https://elibrary.ru/DVULDK
- ID: 284556
Цитировать
Полный текст
Аннотация
Разработаны научные основы синтеза прекурсоров наноструктурированных оксидных систем Al2O3–ZrO2–LnxOy (Ln = Dy, Nd). Изучены особенности их формирования в условиях быстрого смешения электрогенерированных реагентов, реализуемого в бездиафрагменном коаксиальном реакторе-электролизере. Методами потенциодинамических поляризационных кривых, рентгеновской дифрактометрии, рентгенофлуоресцентного, синхронного термического анализов и лазерной дифракции исследованы анодные процессы, протекающие в электролизере, морфология сформированных в растворе и трансформируемых в процессе термообработки частиц, фазовый, гранулометрический и элементные составы прекурсоров и оксидных систем. Предлагаемый подход позволяет получать модифицированные редкоземельными элементами оксидные системы на основе бинарной системы Al2O3–ZrO2, характеризующиеся наличием в них стабилизированной фазы тетрагонального диоксида циркония. Присутствующие в исследуемых системах атомы РЗЭ – Nd и Dy – стабилизируют t-ZrO2 и, по всей видимости, занимают позиции узлов кристаллической решетки, изоморфно замещая Zr4+. На последнее указывает уширение соответствующих рефлексов рентгеновских дифрактограмм. Оно косвенно указывает и на наличие микронапряжений в микрокристаллах фаз. Последние могут быть вызваны искажениями кристаллических решеток оксидов алюминия и циркония в результате замещения атомов металлов атомами РЗЭ.
Полный текст
ВВЕДЕНИЕ
Получение оксидных систем Al2O3–ZrO2–LnxOy (Ln = Dy и Nd) является актуальной задачей, поскольку такие системы применяются в качестве основы керамики специального назначения, твердых электролитов, люминесцентных материалов [1–4]. Для их получения используют сольво- или гидротермальный синтез, золь-гель технологии, химическое осаждение [5–8]. Порошки оксидных систем зачастую получают либо высокотемпературным гидролизом различных соединений непосредственно в автоклаве, либо гидротермальной обработкой продуктов реакции при комнатной температуре [5, 6]. В исследованиях [9, 10] показано, что модифицирование ионами иттрия и других элементов алюмоциркониевых оксидных систем оказывает влияние на их фазовые превращения и механические свойства.
Однако существенным недостатком химических способов получения [5–8] подобных оксидных систем является неравномерное распределение атомов элементов в объеме формирующегося материала. Для решения этой проблемы при получении прекурсоров оксидных систем на основе алюминия и циркония предлагается использовать электрохимический метод, позволяющий за счет газлифта осуществлять интенсивное перемешивание реакционной смеси и формирующейся суспензии из первичных частиц твердой фазы и, в конечном итоге, получать дисперсные прекурсоры целевой оксидной системы. Большое значение в данном случае приобретает электрогенерирование реагентов, которые фактически заменяют необходимые для осуществления процесса и привносимые извне вещества [11]. Для этой цели применяли коаксиальный электрохимический реактор с растворимым алюминиевым анодом и узкоцилиндрическим катодом, позволяющий благодаря интенсивному газовыделению на центральном электроде осуществлять турбулентное движение жидкости в направлениях: от центра к периферии и снизу-вверх [12]. Такое движение электролита способствует возникновению локальных вихрей, способствующих хорошему смешению реагентов–ионов Al3+, OH–, компонентов раствора [13]. Однако изучение формирования электрохимическим способом прекурсоров алюмоциркониевых систем, допированных ионами неодима и диспрозия, ранее не проводилось. В этой связи цель работы заключается в изучении влияния условий электролиза с растворимым алюминиевым анодом водных растворов хлорида натрия с добавками нитратов циркония, РЗЭ (неодима и диспрозия) на состав, морфологию и фазовые превращения продуктов.
ЭКСПЕРИМЕНТАЛЬНАЯ ЧАСТЬ
Электрохимическое соосаждение прекурсоров алюмоциркониевых оксидных систем проводили в коаксиальном бездиафрагменном электролизере, обеспечивающем интенсивное смешение компонентов электролита и продуктов электродных реакций за счет конвективного массопереноса [14]. В качестве катода использовали стержень толщиной 1 мм из стали Х18Н10Т, а растворимым анодом служил цилиндр из алюминия марки А7 (Sкатода < Sанода). Плотность анодного тока во время процесса электролиза составляла ~70–75 A/м2, что позволило обеспечить достаточно равномерное растворение анода. Хлорид натрия выбран в качестве основного компонента электролита, так как хлорид-ионы являются сильнейшими активаторами процесса анодного растворения пассивирующихся металлов, способствуют трансформации поверхностного оксидного слоя и растворению алюминия [15]. В качестве модифицирующих добавок в состав электролита добавляли нитраты циркония и соответствующего лантаноида (Dy или Nd) (табл. 1). Содержание модифицирующих добавок варьировали за счет изменения концентрации соответствующих ионов в электролите.
Таблица 1. Условия электролиза с алюминиевым анодом водного раствора хлорида натрия, содержащего нитраты циркония и РЗЭ
№ | I, А/м2 | Состав электролита, моль/л | |||
NaCl | Zr(NO3)4 | Dy(NO3)3 × 5H2O | Nd(NO3)3 × 6H2O | ||
1 | 73.0 | 0.5 | 0.0300 | 0.0050 | – |
2 | 74.0 | 0.0101 | – | ||
3 | 71.4 | – | 0.0056 | ||
4 | 71.4 | – | 0.0112 | ||
Образующийся в процессе электролиза осадок выдерживали в маточном растворе в течение 48 ч с целью обеспечения более полной кристаллизации, затем отфильтровывали и высушивали при температуре 80 °С. Для получения устойчивых форм оксидов образцы прокаливали при 1100 °С в течение 2 ч.
Для оценки электрохимического поведения алюминиевого анода в исследуемых растворах использовали метод поляризационных кривых, который осуществляли в трехэлектродной электролитической ячейке с разделенным катодным и анодным пространствами при температуре 20±1 °С в условиях естественной аэрации. В качестве вспомогательного электрода использовали платиновый электрод, в качестве электрода сравнения – насыщенный хлоридсеребряный электрод марки ЭВЛ-1 (Е = 0.222 В). Поляризацию рабочего электрода и соответствующие измерения проводили с помощью потенциостата P-301M (Ellins).
Элементный анализ синтезированных образцов осуществляли с помощью рентгенофлуоресцентного спектрометра S1 TITAN (Bruker). Измерение ξ-потенциала проводили с помощью анализатора Zetasizer Nano ZS (Malvern) с использованием U-образной капиллярной кюветы. Термические исследования проводили с помощью синхронного термического анализа (ТГ-ДТГ, ДТА) на термоанализаторе STA 6000 (Perkin Elmer) в интервале 30–1000 °С со скоростью 10 град/мин в воздушной среде. Определение фазового состава синтезированных образцов проводили на рентгеновском дифрактометре ДРОН-7 в геометрии Брегга–Брентано с использованием излучения CuKα c бета-фильтром, режим работы рентгеновской трубки – 40 кВ/20 мА. Дифрактограмма сканировалась в диапазоне углов 2θ от 5 до 130° с шагом 0.05° и экспозицией в точке 5 с. Идентификацию кристаллических фаз осуществляли путем сопоставления полученных экспериментальных значений межплоскостных расстояний и относительных интенсивностей с эталонными, приведенными в международной картотеке базы PDF-2.
РЕЗУЛЬТАТЫ ЭКСПЕРИМЕНТА И ИХ ОБСУЖДЕНИЕ
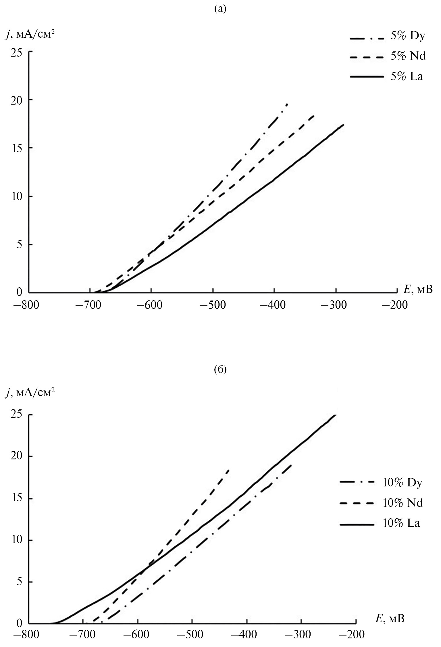
Для оценки эффективности электрогенерирования ионов алюминия(III) оценивали кинетику растворения алюминиевого анода методами поляризационных кривых и хронопотенциограмм в исследуемых растворах 5 и 10 мас. % с содержанием РЗЭ. Следует заметить, что характер кривых (рис. 1) практически идентичен, все они демонстрируют достаточно активное растворение анода. Отличие заключается в электрохимическом поведении алюминиевого электрода в зависимости от содержания ионов РЗЭ в растворах эквимолярного состава с одинаковым соотношением базовых компонентов. Они демонстрируют разный характер, что косвенно указывает, в том числе, на влияние природы катионов. Для сравнения в качестве реперного использован раствор, содержащий 5 и 10 мас. %. Al(III), при этом наблюдается отличие в наклоне и стационарном потенциале поляризационных кривых.
Рис. 1. Анодные поляризационные кривые алюминия А5 в растворах с содержанием РЗЭ5 (а) и 10 мас. % (б) для получения прекурсоров оксидных систем (скорость развертки потенциала 1 мВ/с).
Алюминиевый анод в исследуемых условиях подвергается интенсивному растворению в гальваностатическом режиме в пределах заданных плотностей тока. В силу различных ионных составов электролитов (табл. 1) значения стационарного потенциала алюминиевого электрода существенно отличаются. Это обусловлено, по-видимому, разными адсорбционными способностями ионов РЗЭ, а также особенностями их взаимодействия с двойным электрическим слоем анода. Согласно классическим представлениям на аноде образуются поверхностные комплексы металлов [15], которые являются растворимыми и с течением времени переходят в электролит.
Результаты электролиза, включающие химический состав осадка в пересчете на оксиды, а также конечные значения ξ – потенциала дисперсных систем и величины выхода по току анода при их синтезе, приведены в табл. 2.
Таблица 2. Выход по току (ВТ) и характеристики прекурсоров оксидных систем Al2O3–ZrO2–LnxOy ((Ln = Dy, Nd)
№ | ξ, мВ | ВТ, % | Состав образцов в пересчете на оксиды, ω, мас. % | |||
Al2O3 | ZrO2 | Dy2O3 | Nd2O3 | |||
1 | 5.23 | 122 | 75.29 | 23.76 | 0.95 | – |
2 | 5.55 | 121 | 71.01 | 27.97 | 1.02 | – |
3 | 9.03 | 121 | 70.25 | 28.78 | – | 0.97 |
4 | 23.00 | 121 | 61.13 | 37.75 | – | 1.12 |
Выход по току процесса анодного растворения алюминия превышает 120% (табл. 2). Это можно объяснить влиянием отрицательного дифференц-эффекта [16], при этом существенный вклад вносят химические процессы, наиболее ярко выраженным из которых является выделение водорода за счет химического взаимодействия активированного алюминия с молекулами воды.
Результаты проведенных экспериментов свидетельствуют о том, что повышение концентрации ионов РЗЭ (табл. 1) в растворе в исследуемых пределах не приводит к увеличению содержания индивидуальных кристаллических оксидных фаз этих элементов в исследуемых образцах (табл. 2). Однако общее содержание РЗЭ в осадках различается: оно достигает нескольких процентов, как в случае присутствия в образце неодима, так и в случае присутствия диспрозия. По-видимому, это связано с замещением части атомов алюминия и циркония в решетках их оксидов атомами РЗЭ, что можно объяснить близостью размеров [17] ионов Nd3+ (100 ± 5 пм) и Dy3+ (92 ± 6 пм) к размеру иона Zr4+ (92 ± 7 пм) в кристаллической структуре. Это обусловливает возможность изоморфного замещения Zr4+ в решетке диоксида циркония.
Поскольку алюминий покрыт пассивной пленкой, ее трансформация в растворе с учетом образования растворимых комплексов обусловливает локальное растворение электрода [18, 19]. Далее, согласно результатам многих исследований [20–22], протекает гидролиз продуктов растворения анода с образованием ряда гидроксоаквакомплексов алюминия, претерпевающих реакцию поликонденсации с образованием полимерных цепей и, в конечном итоге, первичных частиц твердой фазы, которые, взаимодействуя друг с другом, формируют более крупные частицы осадка. Некоторые авторы [23, 24] считают, что образование нанокристаллов прекурсоров твердой фазы в растворе происходит вследствие агрегирования малых или первичных частиц (кластеров). Дальнейший рост может происходить за счет агрегации и ориентированного срастания нанокристаллов. В ряде работ [25, 26] показано, что наряду с условиями синтеза прекурсора оксидной системы, состоянием реагентов и среды, значительное влияние на скорость формирования, структуру, морфологию и дисперсный состав образующихся частиц оказывает характер внешнего воздействия. Известно, что агрегационный механизм зародышеобразования предполагает использование кластеров в качестве основных строительных блоков [20]. Такой механизм приводит к потенциально высокой скорости зародышеобразования за счет переноса ионов к центру нуклеации. Известно также, что ионы РЗЭ в структуре ZrO2 стабилизируют t-кристаллическую модификацию диоксида циркония аналогично молекулам воды [27–29].
Для оценки устойчивости сформированных частиц и агрегатов в электролите измеряли изменение ζ-потенциала и размеров частиц во времени. Зависимости средних значений ζ-потенциала исследуемых образцов оксидных систем от времени представлены на рис. 2. Для сравнения дополнительно представлены данные о системе Al2O3–ZrO2–La2O3, полученной описанным выше способом из электролита состава NaCl 0. моль/л, Zr(NO3)4 (0.0300 моль/л) и La(NO3)3 (0.0058 моль/л) (рис. 2а, кривая 2) и аналогичного состава, отличающаяся содержанием La(NO3)3 (0.0115 моль/л) (рис. 2б, кривая 2). Очевидно, что поведение прекурсоров оксидной системы, содержащей неодим, отличается большей агрегативной устойчивостью.
Рис. 2. Зависимость ζ-потенциала раствора с частицами прекурсоров алюмоциркониевых оксидных систем с РЗЭ от времени: 1 – Al2O3–ZrO2–Nd2O3, 2 – Al2O3–ZrO2–La2O3, 3 – Al2O3–ZrO2–Dy2O3, при содержании РЗЭ в растворе, 5 (а) и 10 мас. % (б).
Размеры частиц прекурсоров оксидных систем с неодимом, полученных из растворов с 10%-ной массовой концентрацией ионов этого элемента в электролите, крупнее по сравнению с таковыми, полученными из растворов с 5%-ной массовой концентрацией. Такого различия не наблюдается в случае прекурсоров оксидных систем c диспрозием, полученных из электролитов с аналогичной концентрацией. Результаты измерений размеров частиц, полученные с помощью сканирующей электронной микроскопии и локального элементного анализа поверхности образцов, приведены на рис. 3. Локальная концентрация редкоземельных элементов на поверхности частиц может варьироваться в достаточно широких пределах. Наибольшее содержание РЗЭ на отдельных участках поверхности частиц зафиксировано у оксидных систем, содержащих неодим. Кроме того, можно отметить несколько меньший размер агрегатов у образцов, содержащих диспрозий (25–55 нм), по сравнению с таковым у частиц образцов, содержащих неодим (40–60 нм и более), и достаточно сильно различающиеся формы частиц: имеющая более четко выраженные грани у частиц алюмоциркониевооксидных систем с диспрозием (рис. 3а, б) и более сглаженная у частиц оксидных систем с неодимом (рис. 3в, г).
Рис. 3. Микрофотографии и результаты локального микроанализа дисперсных алюмоциркониевооксидных систем с РЗЭ: Al2O3–ZrO2–Dy2O3 (а, б); Al2O3–ZrO2–Nd2O3, 150 000X (в, г).
С помощью рентгенофазового анализа установлено, что исходные прекурсоры алюмоциркониевооксидных систем, высушенные при 80 °С, представлены в основном фазами байерита, со следовыми количествами (< 3 мас. %) нордстрандита в случае оксидных систем Al2O3–ZrO2–Dy2O3 и бемита в случае систем Al2O3–ZrO2–Nd2O3.
Обнаружено, что рентгеновские дифрактограммы образцов, прокаленных при 1100 °С, характеризуются уширенными пиками, описывающими оксиды разных кристаллических структур алюминия (θ-Al2O3, γ -Al2O3) и циркония (t-ZrO2) (рис. 4).
Рис. 4. Рентгеновские дифрактограммы образцов прекурсоров оксидных систем после термической обработки при 1100 °С: 1 – Al2O3–ZrO2–Nd2O3, 2 – Al2O3–ZrO2–Dy2O3.
Сопоставление этих данных с результатами локального микроанализа позволяет заключить, что в исследуемых образцах диспрозий и неодим содержатся в достаточно значимых количествах (до 3 ат. % Dy и 8 ат. % Nd). По всей видимости, атомы этих элементов включены большей частью в решетку оксидов циркония, на что, как и упоминалось выше, указывает уширение рефлексов на рентгенограммах (рис. 4).
Уширение пиков дифрактограмм косвенно связано и с наличием микронапряжений в микрокристаллах фаз. Они могут быть вызваны искажениями кристаллических решеток оксидов алюминия и циркония в результате замещения атомов металлов атомами РЗЭ. Так, в случае оксидной системы с Nd микронапряжения распределяются следующим образом: θ-Al2O3 – 0.00822 ± 0.00030, γ-Al2O3 – 0.00256 ± 0.00015, t-ZrO2 – 0.00766 ± 0.00025; в случае оксидной системы с Dy так: θ-Al2O3 – 0.00667 ± 0.00022, γ-Al2O3 – 0.00168 ± 0.00010, t-ZrO2 – 0.00326 ± 0.00012. Очевидно, что атомы Nd входят в состав фаз дисперсных алюмокиркониевооксидных систем в большем количестве, чем атомы Dy.
Данные фазовых превращений подтверждаются и данными термического анализа (табл. 3). При этом потеря массы исследуемых образцов обусловлена удалением при нагревании преимущественно конституционной и конденсационной воды.
Таблица 3. Результаты исследования образцов прекурсоров оксидных систем ТГ-ДТГ методом
№ обр. | Интервалы температур (максимум эффекта, °С), потеря массы ∆m*, мас. % | Σ∆m**, мас. % | n(H2O)*** моль/г | |||
1 | 30-210 (93) 10 | 210-330 (271) 14 | 330-480 (-) 2 | 480-850 (-) 2 | 31 | 0.029 |
2 | 30-210 (92) 10 | 210-330 (271) 14 | 330-480 (-) 5 | 480-850 (-) 2 | 32 | 0.021 |
3 | 30-210 (91) 12 | 210-330 (270) 12 | 330-480 (-) 2 | 480-850 (-) 3 | 32 | 0.024 |
4 | 30-210 (88) 22 | 210-330 (270) 8 | 330-480 (-) 5 | 480-850 (-) 3 | 38 | 0.044 |
*∆m – потеря массы в интервале температур; **Σ∆m – общая потеря массы после нагревания до температуры 1000 °С; ***n (H2O) – количество воды в образце.
Структурные превращения t-ZrO2 → m-ZrO2 в области 270–850 °С можно рассматривать как химические реакции дегидратации. Это подтверждает роль воды при стабилизации неравновесной фазы t-ZrO2 [29]. Изменение координационного окружения атомов алюминия, связанное со структурными превращениями полиморфных модификаций оксида алюминия, происходит одновременно с изменением их состава [30]. Их в какой-то степени можно рассматривать как реакции дегидроксилирования, при которых меняется состав и происходит перераспределение между тетраэдрическими и октаэдрическими позициями координационного окружения Al3+.
Компенсация заряда в катионной подрешетке при замещении ионов Zr на ионы РЗЭ может быть осуществлена замещением ионов кислорода на ионы ОН–. В этом случае может иметь место увеличение значений параметров элементарной ячейки, что также сопровождается ростом числа кислородных вакансий. Известно также, что изоморфное замещение Zr4+ на Ln3+ приводит к генерации дефектов в анионной подрешетке, стабилизирующей диоксид циркония флюоритоподобной модификации.
ЗАКЛЮЧЕНИЕ
Таким образом, использование электрохимического синтеза в коаксиальном бездиафрагменном электролизере-реакторе с растворимым алюминиевым анодом, реализующем быстрое смешение реагентов за счет турбулентного вихревого режима в результате интенсивного газовыделения на центральном узкоцилиндрическом электроде, позволяет получать прекурсоры алюмоциркониевооксидных систем с РЗЭ. Данные прекурсоры состоят, в случае системы с диспрозием, преимущественно из байерита с примесью нордстрандита и с примесью бемита в случае системы с неодимом. При нагревании до 1100 °C они превращаются в оксидные системы алюминия и циркония (в основном состоящие из фаз: θ-Al2O3, γ-Al2O3 и t-ZrO2). Присутствующие в исследуемых системах атомы РЗЭ – Nd и Dy – стабилизируют t-ZrO2 и, по всей видимости, занимают позиции узлов кристаллической решетки, изоморфно замещая Zr4+. На последнее указывает уширение соответствующих рефлексов рентгеновских дифрактограмм. Уширение пиков дифрактограмм косвенно связано и с наличием микронапряжений в микрокристаллах фаз. Они могут быть вызваны искажениями кристаллических решеток оксидов алюминия и циркония в результате замещения атомов металлов атомами РЗЭ. Из экспериментальных данных следует, что атомы Nd в большей степени включены в состав фаз синтезированных с использованием электрогенерированных реагентов дисперсных алюмокиркониевооксидных систем, чем атомы Dy, что и отражается в значениях микронапряжений.
ФИНАНСИРОВАНИЕ
Работа выполнена при финансовой поддержке Министерства науки и высшего образования Российской Федерации в рамках государственного задания на оказание государственных услуг (выполнение работ) от 29.12.2022 г. (№ 075-01508-23-00) Тема исследования «Создание научных основ получения новых мультифункциональных материалов широкого спектра применения».
КОНФЛИКТ ИНТЕРЕСОВ
Авторы данной работы заявляют, что у них нет конфликта интересов.
Об авторах
Е. В. Петрова
Казанский национальный исследовательский технологический университет
Автор, ответственный за переписку.
Email: katrin-vv@mail.ru
Россия, 420015, Казань, ул. К. Маркса, 68
А. Ф. Дресвянников
Казанский национальный исследовательский технологический университет
Email: katrin-vv@mail.ru
Россия, 420015, Казань, ул. К. Маркса, 68
Л. И. Кашфразыева
Казанский национальный исследовательский технологический университет
Email: katrin-vv@mail.ru
Россия, 420015, Казань, ул. К. Маркса, 68
Список литературы
- Bálsamo N., Mendieta S., Heredia A., Crivello M. Nanoclays as dispersing precursors of La and Ce oxide catalysts to produce high-valued derivatives of biodiesel by-product // Molecular Catalysis. 2020. V. 481. № 110290.
- Bünzli J.-C.G., Eliseeva S.V. Intriguing aspects of lanthanide luminescence // Chemical Science. 2013. V. 4. № 5. P. 1939–1949.
- Seliverstov E.S., Golovin S.N., Lebedeva O.E. Layered double hydroxides containing rare earth cations: Synthesis and applications // Frontiers in Chemical Engineering. 2022. V. 4. № 867615.
- Япрынцев А.Д., Баранчиков А.Е., Иванов В.К. Слоистые гидроксиды редкоземельных элементов: новый класс слоистых анионообменных неорганических материалов // Успехи химии. 2020. Т. 89. № 6. С. 629–666.
- Patil A.S., Patil A.V., Dighavkar Ch.G., Adole V.A., Tupe U.J. Synthesis techniques and applications of rare earth metal oxides semiconductors: A review // Chemical Physics Letters. 2022. V. 796. № 139555.
- Шуклина А.И., Альмяшева О.В. Формирование в гидротермальных условиях и строение нанокомпозитов в системе ZrO2–Y2O3–Al2O3 // Журнал неорганической химии. 2022. Т. 67. № 6. С. 843–851.
- Malka I.E., Danelska A., Kimmel G. The Influence of Al2O3 Content on ZrO2–Al2O3Nanocomposite Formation – The Comparison between Sol-Gel and Microwave Hydrothermal Methods //Mater. Today: Proc. 2016. V. 3. № 8. P. 2713–2724.
- Федоренко Н.Ю., Кудряшова Ю.С., Мякин С.В., Шилова О.А., Калинина М.В., Здравков А.В., Абиев Р.Ш. Cравнительные характеристики ксерогелей на основе диоксида циркония, полученных методом совместного осаждения гидроксидов в объеме и микрореакторе со встречными закрученными потоками // Физика и химия стекла. 2022. Т. 48. № 2. С. 189–194.
- Zhang Y., Chen J., Hu L., Liu W. Pressureless-sintering behavior of nanocrystalline ZrO2–Y2O3–Al2O3 system // Materials Letters. 2006. V. 60. № 17–18. P. 2302–2305.
- Yıldız B.K., Yılmaz H., Tür Y.K. Influence of nickel addition on the microstructure and mechanical properties of Al2O3– 5vol%ZrO2 ceramic composites prepared via precipitation method // Int. J. Miner. Metall. Mater. 2019. V. 26. P. 908–914.
- Петрова Е.В., Дресвянников А.Ф., Хайруллина А.И. Синтез сложных оксидных систем Al2O3–ZrO2–MXOY (М = Mg, La) с использованием электрогенерированных реагентов и их физико-химические свойства // Изв. АН. Сер. хим. 2020. № 5. С. 926–933.
- Петрова Е.В., Дресвянников А.Ф., Хайруллина А.И., Межевич Ж.В. Физико-химические свойства оксида алюминия, синтезированного с использованием электрогенерированных реагентов // Журнал физической химии. 2019. Т. 93. № 7. С. 1103–1110.
- Dresvyannikov A.F., Petrova E.V., Kashfrazyeva L.I. Electrochemical synthesis of precursors of Al2O3-ZrO2 ceramic stabilized with cerium oxide and magnesium aluminate // Inorganics. 2022. V. 10(5). № 57.
- Дресвянников Ф.Н., Ситников С.Ю., Дресвянников А.Ф. Моделирование процесса конвективного массопереноса в коаксиальном электролизере // Известия высших учебных заведений. Проблемы энергетики. 2003. № 11–12. С. 54–63.
- Попов Ю.А. Основные аспекты современной теории пассивного состояния металлов // Успехи химии. 2005. Т. 74. № 5. С. 435–451.
- Самарцев В.М., Караваева А.П., Зарцын И.Д., Маршаков И.К. Отрицательный дифференц-эффект на алюминии в галидсодержащих средах // Защита металлов. 1992. Т. 28. № 5. С. 774–779.
- Бугаенко Л.Т., Рябых С.М., Бугаенко А.Л. Почти полная система средних ионных кристаллографических радиусов и ее использование для определения потенциалов ионизации // Вестник Московского ун-та. Сер. 2. Химия. 2008. Т. 49. № 6. С. 363–384.
- Колотыркин Я.М., Попов Ю.А., Алексеев Ю.В. О механизме влияния анионов раствора на кинетику растворения металлов // Электрохимия. 1973. Т. 20. № 9. С. 624–629.
- Попов Ю.А. Теория взаимодействия металлов и сплавов с коррозионно-активной средой. М.: Наука, 1995. 199 с.
- Шабанова Н.А., Попов В.В., Саркисов П.Д. Химия и технология нанодисперсных оксидов. М.: Академкнига, 2006. 309 с.
- Xu Y., Wang D., Lui H. et al. Optimization of the separation and purification of Al13 // Colloid. Surf. A: Physicochem. Eng. Aspects. 2003. V. 231. № 1. Р. 1–9.
- Popov V.V., Petrunin V.F., Korovin S.A. et al. Formation of nanocrystalline structures in the Ln2O3-MO2 systems (Ln = Gd, Dy; M = Zr, Hf) // Russ. J. Inorg.Chem. 2011. V. 56. № 10. Р. 1538–1544.
- Пожидаева О.В., Корыткова Э.Н., Романов Д.П., Гусаров В.В. Формирование нанокристаллов диоксида циркония в гидротермальных средах различного химического состава // Журн. общей химии. 2002. Т. 72. № 6. С. 910–914.
- Almjasheva O.V. Heat-stimulated transformation of zirconium dioxide nanocrystals produced under hydrothermal conditions // Nanosystems: physics, chemistry, mathematics. 2015. V. 6. № 5. P. 697–703.
- Malka I.E., Danelska A., Kimmel G. The Influence of Al2O3 content on ZrO2-Al2O3 nanocomposite formation the comparison between sol-gel and microwave hydrothermal Methods // Materials Today: Proceedings. 2016. V. 3. P. 2713–2724.
- Третьяков Ю.Д. Развитие неорганической химии как фундаментальной основы создания новых поколений функциональных материалов // Успехи химии. 2004. Т. 73. С. 899–916.
- Олейников Н.Н., Пентин И.В., Муравьева Г.П., Кецко В.А. Исследование метастабильных высокодисперсных фаз, формируемых на основе ZrO2 // Журнал неорганической химии. 2001. Т. 46. № 9. С. 1413–1420.
- Калинина М.В., Федоренко Н.Ю., Арсентьев М.Ю., Тихонов П.А., Шилова О.А. Получение керамики ZrO2–3 мол. % Y2O3 с различной степенью тетрагональности и исследование низкотемпературной деградации // Физика и химия стекла. 2021. Т. 47. № 4. С. 456–467.
- Xie Sh., Iglesia E., Bell A.T. Water-Assisted Tetragonal-to-Monoclinic Phase Transformation of ZrO2 at Low Temperatures // Chemistry of Materials. 2000. V. 12. № 8. P. 2442–2447.
- Sen S., Youngman R.E. High-Resolution Multinuclear NMR Structural Study of Binary Aluminosilicate and Other Related Glasses // J. Phys. Chem. B. 2004. V. 108. № 23. P. 7557–7564.
Дополнительные файлы






