Синтез гидроксиапатита, замещенного ионами РЗЭ элементов (Lа3+, Cе3+)
- Авторы: Голованова О.А.1
-
Учреждения:
- Омский государственный университет им. Ф.М. Достоевского
- Выпуск: Том 50, № 4 (2024)
- Страницы: 414-426
- Раздел: Статьи
- URL: https://ogarev-online.ru/0132-6651/article/view/279965
- DOI: https://doi.org/10.31857/S0132665124040064
- EDN: https://elibrary.ru/QBSYOF
- ID: 279965
Цитировать
Полный текст
Аннотация
Осуществлен синтез замещенных апатитов с варьированием содержания ионов La3+ и Ce3+. Методами РФА и ИК-спектроскопией доказано образование замещенного гидроксиапатита (La-ГА, Ce-ГА). Показано изменение параметров кристаллических решеток синтезированных фаз, что свидетельствует о замещении ионов Ca2+ на ионы РЗЭ в структуре гидроксиапатита. Методом АЭС с ИСП доказано присутствие ионов РЗЭ в твердых фазах. При изучении резорбции синтезированных образцов выявлено, что катион-замещенные гидроксиапатиты менее растворимы, чем не допированный ГА.
Ключевые слова
Полный текст
Введение
В настоящее время довольно распространенными являются заболевания костной системы человека: остеопороз, остеопения, остеомаляция, остеоартроз, рак и другие [1–3]. Вследствие наличия костных заболеваний в медицине ежегодно используется десятки тысяч имплантов и эндропротезов, которые делятся на два типа: биоинертные и биоактивные. Ко вторым относятся два вида материалов на основе фосфата кальция: гидроксиапатит (ГА) и β-трикальцийфосфат, которые обладают хорошей биосовместимостью, биорезорбируемостью и остеоиндуктивностью с человеческим костным скелетом [4–7].
Чистый ГА, как правило, не используется в имплантатах, так как такой материал является достаточно хрупким, а также из него трудно получить изделие определенной формы. Поэтому используют модифицированный ГА посредством введения в его структуру различных металлов, которые изменяют свойства материала, в том числе его биоактивность и биорезорбируемость [8–12].
Некоторые соединения лантаноидов, такие как соли лантаноидов, комплексы и наночастицы успешно используется при лечении костных заболеваний. Также известно, что включение лантаноидов в структуру гидроксиапатита делает его перспективным в инженерии костного материала, в том числе, изменяет антимикробную активность. Замещение оказывает значительное влияние на структуру, растворимость и термостойкость [13–15].
Ионы РЗЭ не являются агрессивными при воздействии на человеческий организм, так как они не обладают окислительными свойствами, а также имеют гидратную оболочку, что понижает их активность [16–18].
Наночастицы ГА, легированные ионами лантаноидов, могут использоваться в качестве люминесцентных меток и стать альтернативой органическим флуорофорам, так как они более стабильны и имеют больший срок службы. Такие материалы позволяют исследовать ткани при работе в области хирургии, костной инженерии и при процессе восстановления тканей [15]. Наиболее интенсивно изучаемыми ионами являются Eu3+и Tb3. Как правило, ГА, допированный ионами лантаноидов, имеет преимущества перед другими фотолюминесцентными материалами: имеет низкую токсичность, большую химическую и термическую стабильность, высокий квантовый выход [15]. ГА, обладающий люминесцентными свойствами, могут эффективно применять для биовизуализации при контролируемой доставке лекарств [19].
Наноматериалы, допированные люминесцентными ионами, могут применять в экспресс-тестах для проведения высокочувствительных диагностических биоанализов, а также в качестве контрастных агентов для проведения магнитно-резонансной томографии [20].
Известно, что лантаноиды обладают высоким сродством к ГА. Это связано с тем, что лантаноиды, обозначаемые как Ln3+, имеют близкие ионные радиусы с ионами Ca2+, с этим связана их биологическая активность. РЗЭ ингибируют образование остеокластоподобных клеток и процесс резорбции костной ткани. При этом лантаноиды оказывают биологическое воздействие на организм, вследствие чего подавляется рост бактерий, и при это изменяется структура наружной клеточной мембраны, отвечающая за проницаемость клеток [21].
Существует исследования, где выяснили, что некоторые соли церия могут способствовать метаболизму костной ткани. Это связано с тем, что поведение церия в организме подобно с действием ионов кальция, так как они имеют схожие радиусы и близкие значения электроотрицательностью, также ионы Ce3+ обладают антибактериальными свойствами. Причем, чем выше степень замещения ионов кальция на ионы церия, тем лучшими свойствами обладает используемый материал. ГА, замещенный ионами Ce3+, показывает хорошую биосовместимость и способствуют росту остеобластических клеток [22]. ГА, допированный La3+ обладает высокой прочностью, а также поддерживает адгезию остеобластов; допированный Y3+ является биосовместимым, поддерживает пролиферацию клеток, способствуют ускоренному росту фибробластов и лучшей адгезии остеобластов по сравнению с чистым гидроксиапатитом. ГА, содержащий Ce3+ ионы, обладает разрубающим действием против бактерий Escherichia coli и Staphylococcus aureus.
Таким образом, целью работы является получение гидроксиапатита, допированного ионами РЗЭ (La3+, Ce3+), и изучение состава, структуры и свойств полученных образцов.
Экспериментальная часть
Методика синтеза гидроксиапатита. Получение гидроксиапатита осуществляли методом осаждения из водных растворов, в соответствии с уравнением:
10Ca(NO3)2 + 6(NH4)2HPO4 + 8NH4OH → Ca10(PO4)6(OH)2 + 20NH4NO3 + 6Н2О
Для приготовления всех растворов использовались реактивы квалификации «чда».
Для получения осадка необходимо сливание трех растворов: нитрата кальция Ca(NO3)2, двузамещенного фосфата аммония (NH4)2HPO4 и водного раствора аммиака NH4OH (два последних смешивают вместе). Синтез проводится при температуре 23–25 °C.
Далее к раствору Са(NO3)2 при быстром перемешивании со скоростью 4.5– 5.0 мл/мин по каплям добавляют раствор (NH4)2HPO4. После доводят рН полученного раствора до необходимог о значения (9.00 ± 0.05) и оставляют для кристаллизации на 7 суток. Полученный осадок отфильтровывают, промывают дистиллированный водой (V = 50 мл) и этанолом для улучшения дисперсионных характеристик. После осадок высушивают в сушильном шкафу при температуре ~110°C в течение суток.
Методика синтеза гидроксиапатита, замещенного ионами РЗЭ. Замещенный гидроксиапатит получают аналогично, используются неорганические соли кальция и фосфора, но при этом необходимо ввести ионы (La3+, Ce3+) соответствующих солей в раствор. Для этого используются хорошо растворимые соединения РЗЭ – La(NO3)3×6Н2О, Ce(NO3)3×6Н2О. Для получения гидроксиапатита с примесью РЗЭ (РЗЭ/ (РЗЭ+Ca2+) от 1% до 5%, шаг – 1%) в раствор, содержащий Са(NO3)2вводится 0.1 М раствор РЗЭ в количестве, отвечающему процентному содержанию.
Рентгенофазовый анализ полученных образцов проводится на дифрактрометре ДРОН-3, условия съемки дифракторамм: монохромное CuKα-излучение λ = 0.154 нм, интервал записи дифрактограмм для углов 2θ составлял 10–60º. Первоначальная обработка спектров осуществляется с помощью программы DifWin 1. Качественный и количественный анализ фазового состава образцов осуществляется в программе Match! 3 (Crystal Impact, Германия) на основе открытой кристаллографической базы данных (COD, 2020). На основе данных дифрактограмм проводится расчет параметров кристаллической решетки образцов с помощью программного пакета «Рентгеноструктурный табличный процессор» (RTP). Предел обнаружения методики составляет 5%. С использованием формулы Дебая–Шерра рассчитаны размеры кристаллитов [23].
ИК-спектры снимали на спектрофотометре ФСМ 2202 (Инфраспек, Россия). В ходе исследования образец в виде порошка смешивали с KBr, наносили на германиевую кювету и прессовали. Регистрацию спектров исследуемых образцов проводили в области от 400 до 4000 см-1 с разрешением 4 см-1, общее число сканирований 50. Обработку данных осуществляли с использованием программы OriginPro8.0. Предел обнаружения составляет 5%.
Изучение морфологии твердых фаз осуществляется с помощью микроскопа серии XSZ-107 и видеоокуляра ToupCam при 160-ти кратном увеличении. Съемка микрофотографий осуществляется с помощью программы ToupView.
Определение катионов РЗЭ металлов, содержащихся в твердых фазах синтезированных образцов, проводили методом атомно-эмиссионная спектрометрии с индуктивно-связанной плазмой (АЭС с ИСП) [24]. Определение концентрации катионов РЗЭ металлов проводилось с помощью градуировочного графика. Пределы обнаружения в АЭС ИСП составляют от 0.1 до 50 мкг/л.
Для моделирования активной и пассивной фаз резорбции проведено растворение синтезированных образцов: в HCl с концентрацией 0.01М (рН ≈ 2) и в ацетатном буфере (pH = 5.5). Процесс проводили при интенсивном перемешивании T = 298 К, при этом фиксировали, как изменяется показатель концентрации ионов Ca2+(рСа) и величина кислотности среды рН на иономере И-160МИ через определенные промежутки времени (τ = 0–40 мин). На основании полученных данных строили зависимости рСа = f(τ) и рН = f(τ), а также рассчитывали скорости растворения образцов. Полученные зависимости обрабатывали с помощью регрессионного анализа (программный пакет SigmaPlot 12.5).
Фотометрическим методом определяли остаточные концентрации в растворе фосфат-ионов в виде молибденовой сини (РД 52.24.382-2006, нормативные документы по определению «Массовой концентрации фосфатов и полифосфатов») на приборе КФК-2.
Методика определения ионов La3+, Ce3+в кислой среде с арсеназо (III). Определение концентрации ионов La3+и Ce3+ проводили на спектрофотометре ЮНИКО-1201 при длине волны λ = 650 нм и длине кюветы l = 3 см, рН = 1.8–2.0. Определение концентрации катионов РЗЭ металлов проводилось с помощью градуировочного графика D = f(C(РЗЭ)).
Результаты и обсуждение
Исследование образцов методом РФА показало присутствие гидроксиапатита в качестве основной фазы в составе всех образцов. На рис. 1(а,г) представлены для сравнения дифрактограммы ГА без добавок, а также для образцов, которые были синтезированы с добавлением ионов La3+ (рис. 1(б)). На дифрактограмме выявлено наличие рефлексов при 25.8° (002), 28.9° (210), 31.8 (211), 32.9° (300), 34.0° (202), что подтверждает наличие фазы гидроксиапатита для образца без РЗЭ. Видно, что дифрактограммы для образцов с добавлением ионов La3+ в сравнении с дифрактораммой для ГА без добавления ионов La3+ имеют схожий вид, но при этом наблюдается смещение характеристических углов в сторону больших значений. Такое явления может свидетельствовать о процессе изоморфного замещения в структуре ГА ионов Ca2+(1.06 Å) на ионы La3+(1.22 Å), и как следствие изменению кристаллической решетки и ее параметров. На рис. 1(в) продемонстрированы дифрактораммы для ГА, синтезированного без добавления ионов Ce3+, а также с добавлением ионов Ce3+. Дифрактограммы имеют схожий вид, можно сделать вывод, что они однофазны. Для дифрактограмм образцов, синтезированных с добавлением ионов Ce3+ по сравнению с дифрактограммой для ГА без РЗЭ наблюдается смещение характеристических углов, вследствие этого можно предположить, что в фазах гидроксиапатита происходит процесс замещение ионов Ca2+(1.06 Å) на ионы Ce3+(1.18 Å).
Рис. 1. Дифрактограммы синтезированных образцов гидроксилапатита: фрагмент рентгенограммы гидроксиапатита с указанием углов 2θ отражений и соответствующих индексов hkl (а), с добавлением ионов La3+ (б), с добавлением ионов Ce3+ (в), штрих-рентгенограмма гидроксилапатита (г).
На основе полученных дифрактограмм расчетным методом получены параметры кристаллической решетки синтезированных образцов (табл. 1).
Таблица 1. Параметры кристаллической решетки
Образец | CРЗЭ СРЗЭ+CCa | Параметры решетки, нм | |
а ± 0.001 | с ± 0.001 | ||
ГА | – | 0.944 | 0.689 |
La-ГА | 2% | 0.948 | 0.694 |
4% | 0.951 | 0.695 | |
5% | 0.960 | 0.699 | |
Ce-ГА | 2% | 0.947 | 0.692 |
4% | 0.950 | 0.695 | |
5% | 0.954 | 0.69 6 | |
Исходя из данных (табл. 1) сделано заключение, что для La-ГА и Ce-ГА происходит увеличение параметров решетки по сравнению с незамещенным ГА. Вероятно, это связано с тем, что радиус РЗЭ имеет большие значения, чем радиус Ca2+. Большее увеличение параметра «а» по сравнению с параметром «с» связано с тем, что ионы лантана преимущественно занимают позицию Ca (2) в структуре гидроксиапатита [1, 3, 8]. Но параметры решетки для Ce-ГА изменяются в меньшей степени, чем для La-ГА вследствие того, что разница между радиусом церия и кальция меньше, чем в случае лантана. Методом однофакторного дисперсионного анализа с использованием программы STATIC 2 выявлено, что для всех замещенных образцов в сравнении с чистым ГА действие фактора статистически значимо.
По дифрактограммам с использованием формулы Дебая–Шеррера были вычислены средние размеры кристаллитов (ОКР). Размеры кристаллитов РЗЭ-апатитов вдоль [001] равны 30—32 нм и характерны для гидроксилапатитов, синтезированных методом осаждения [1, 2, 6, 16]. Получено, что образующиеся соединения находятся в нанокристаллическом состоянии, что повышает их применимость, а добавка ионов РЗЭ, как правило, не влияет на размеры кристаллитов синтезированных образцов. С помощью программы STATIC 2 был проведен однофакторный дисперсионный анализ, который показал, что действие фактора статистически недостоверно. Расхождением между выборками по среднему значению статистически не значимо.
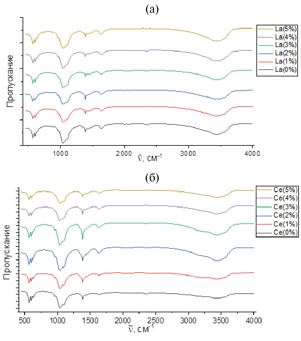
Для установления группового состава синтезированных образцов была использована ИК-Фурье спектроскопия. На рис. 2а представлены спектры синтезированных образцов гидроксиапатита без РЗЭ и ГА с различным содержанием ионов La3+. Видно, что частоты пропускания характеризуют структуру гидроксиапатита. Широкая полоса при 3340–3600 см-1 принадлежит деформационным колебаниям группы OH-, полоса в области 1590–1690 см-1 характеризует деформационные колебания H-O-H структуры H2O. Также наблюдаются валентные колебания малой интенсивности в области 1360–1410 см-1 соответствующие колебаниям связи P = O и полоса широкой интенсивности при 900–1100 см-1 характеризует валентные колебания связи P–O, при 550–620 см-1 фиксируются деформационные колебания связи P-O-P. Также структуру характеризуют такие полосы: 880, 960 (ν2), 1080 (ν3), 565 (ν4) см-1, соответствующие колебаниям группы PO43-. Следует отметить, что спектры имеют схожий вид.
Рис. 2. ИК-спектры синтезированных образцов гидроксилапатита: с добавлением ионов La3+ (а), с добавлением ионов Ce3+ (б).
На рис. 2(б) приведены спектры для ГА без РЗЭ и ГА, синтезированного с добавлением ионов Ce3+. Спектры всех синтезированных образцов имеют схожий вид, как и в случае ГА-La.
Отмечается существование на ряде ИК-спектров полосы в области 2300–2400 см-1, соответствующей колебанию иона CO32-. Наличие в структуре ГА карбонат ионов связано с тем, что в ходе синтеза гидроксиапатит поглощает из воздуха углекислый газ и вследствие этого ионы CO32- могут локализоваться в кристаллической решетке в положении фосфат-ионов (В-типа), что характерно для биологических апатитов. ИК-спектры всех синтезированных образцов имеют одинаковый вид, это свидетельствует о замещении именно катионного положения в структуре ГА, а не анионного.
Полученные в ходе синтеза твердые фазы исследовались методом оптической микроскопии для изучения их морфологии. На микрофотографиях (рис. 3а) видно, что агрегаты ГА без ионов РЗЭ имеют грани неправильной формы, наблюдаются острые сколы, но при этом частицы имеют четкий контур и разброс по размерам. Для образцов с содержанием ионов РЗЭ, как правило, контур агрегатов принимает менее четкий вид по сравнению с гидроксиапатитом, синтезированным без добавления ионов РЗЭ. Менее четкий контур проявляется у образцов с 5% добавкой (рис. 3в, д).
Рис. 3. Микрофотографии ГА: без добавления ионов РЗЭ (а); 2% La3+ (б); 5% La3+ (в), 2% Ce3+ (г); 5% Ce3+ (д).
Для образцов с добавлением ионов РЗЭ прослеживается объединение частиц, то есть добавка РЗЭ в виде ионов способствуют образованию агрегатов неопределенной формы, этот эффект наиболее выражен для образцов с 5% добавкой ионов РЗЭ. Такое поведение объясняется агломерацией частиц, имеющих некомпенсированные заряды, что характерно при изоморфном замещение ионов кальция в структуре ГА ионами РЗЭ имеющих заряд (3+).
Методом АЭС было определено и рассчитано содержание ионов РЗЭ в твердых образцах. Основываясь на результатах химического анализа и результатах АЭС можно предложить структурные формулы синтезированных образцов замещенных гидроксиапатита (табл. 2).
Таблица 2. Результаты АЭС с ИСП и состав твердой фазы
CРЗЭ СРЗЭ+CCa (теор.), % | Содержание ионов РЗЭ в растворе, мкмоль/л | CРЗЭ СРЗЭ+CCa(эксп.), % | Структурная формула |
La3+ 5% | 3.4±0.1 | 4.7 | La0,47Ca 9,53(PO4)6(ОН)2,47 |
Ce3+ 5% | 3.5±0.1 | 4.8 | Ce0, 48Ca 9, 52(PO4)6(ОН)2,48 |
Видно, что вводимые в процентном соотношении от кальция ионы РЗЭ почти полностью переходят в твердую фазу и замещают ионы кальция в структуре гидроксиапатита, тем самым образуя допированные твердые фазы La-ГА и Ce-ГА.
С помощью методов химического анализа определены концентрации ионов кальция, фосфат-ионов, а также содержание вводимых ионов РЗЭ (табл. 4). На основе полученных данных установлено, что соотношение Ca/P, которое является важной характеристикой для синтезированных образцов, уменьшается для замещенных РЗЭ гидроксиапатита. Полученные химическим анализом данные подтверждают, что вводимые ионы РЗЭ замещают ионы кальция в структуре ГА. Также наблюдается увеличение содержания вводимых ионов в осадке при росте их концентрации в исходном растворе при синтезе (табл. 3).
Таблица 3. Содержание ионов в твердой фазе в синтезированных образцах ГА
CРЗЭ СРЗЭ+CCa (теор.), % | CРЗЭ СРЗЭ+CCa (эксп.), % | Ca/P ± 0,01 | ||
La3+ | Ce3+ | La3+ | Ce3+ | |
1.0 | 0.9 | 0.9 | 1.62 | 1.61 |
2.0 | 1.8 | 1.9 | 1.59 | 1.59 |
3.0 | 2.8 | 2.9 | 1.57 | 1.57 |
4.0 | 3.6 | 3.8 | 1.56 | 1.56 |
5.0 | 4.7 | 4.8 | 1.55 | 1.54 |
Таблица 4. Скорости растворения синтезированных образцов
Добавка ионов РЗЭ, % | Растворитель | ||
Ацетатный буфер | HCl | ||
V *10-5 моль/(л*мин) | V *10-5, моль/(л*мин) | ||
0 | 2.78 | 9.90 | |
La3+ | 1 | 2.34 | 7.34 |
2 | 2.05 | 6.38 | |
3 | 1.94 | 5.94 | |
4 | 1.74 | 5.05 | |
5 | 1.59 | 4.06 | |
Ce3+ | 1 | 1.98 | 10.6 |
2 | 1.57 | 10.3 | |
3 | 1.48 | 10.5 | |
4 | 1.42 | 6.08 | |
5 | 1.41 | 3.90 | |
Таким образом, соотношение Ca/P в синтезируемых соединениях уменьшается по сравнению со стехиометрическим значением, равным 1.67 и характерным для гидроксиапатита. Это подтверждает процесс изоморфного замещения ионов Ca2+ на ионы РЗЭ в структуре гидроксиапатита. По правилу Гольдшмидта явление изоморфизма возможно при условии, если разница между взаимозамещающимися радиусами ионов не превышает 15%. Сравнив радиусы для Ca2+(1.06 Å) и замещающих ионов La3+(1.22 Å), Ce3+(1.18 Å) взятых по Гольдшмидту, можно сделать вывод, что они удовлетворяют правилу и изоморфизм возможен [24].
Процесс резорбции биоматериалов является важной характеристикой, так как при растворении материала из структуры высвобождаются неорганические ионы, которые могут способствовать формированию неорганической составляющей костного матрикса, что в свою очередь благоприятствует формированию костной ткани. Для синтезированных образцов растворение проводилось в ацетатном буфере (рН = 5.5) и 0.01М растворе соляной кислоты (рН = 2.0).
По полученным кинетическим кривым C(Са2+) = f(t) (рис. 4) установлено, что насыщение ионами кальция происходит приблизительно на 15 минуте процесса растворения.
Рис. 4. Кинетические кривые растворения образцов гидроксилапатита в ацетатном буфере: с добавлением ионов La3+ (а); с добавлением ионов Ce3+ (б).
При этом гидроксиапатит, синтезированный без добавления ионов РЗЭ, обладает большей растворимостью по сравнению с образцами, с добавками ионов РЗЭ. С введением ионов РЗЭ в кристаллическую структуру ГА происходит понижение растворимости последнего, что может быть связано с взаимным влиянием ионов Ca2+ и ионов РЗЭ, приводящим к увеличению параметров элементарной ячейки и понижению их способности к растворению и диссоциации. Причина может быть и в различии кристаллохимических характеристик ГА и фосфатов РЗЭ, которые могут образовываться на поверхности твердой фазы за счет явления адсорбции.
Исходя из этого La3+, Ce3+ могут ингибировать и подавлять действие остеокластов и тем самым препятствовать разрушению костной ткани, сохраняя ее целостность. В соответствии с этим материал на основе ГА, дозированного ионами РЗЭ, может оказывать положительное действие при его использовании в костной инженерии.
При исследовании растворимости синтезированных образцов в соляной кислоте (рН = 2.0), которая моделирует активную резорбцию, наблюдаются различные зависимости. Насыщение ионами кальция раствора происходит на 10 минуте. Так, образцы гидроксиапатита, допированные ионами La3+, растворяются с меньшей скоростью по сравнению с ГА без добавки РЗЭ (рис. 5(а)), а образцы ГА с добавлением 1, 2, 3% Ce3+ обладают большей скоростью растворения по сравнению с гидроксиапатитом без добавок. Исходя из этого, присутствие ионов Ce3+ в структуре ГА может способствовать резорбции материала.
Рис. 5. Кинетические кривые растворения образцов гидроксилапатита в HCl: с добавлением ионов La3+ (а); с добавлением ионов Ce3+ (б).
Обработка кинетических данных методом подбора позволила установить порядок реакций растворения, который является нулевым, что характерно для гетерогенных реакций в растворе. На основании этого с использованием соответствующего уравнения были рассчитаны скорости реакций растворений [25] (табл. 4).
При растворении в ацетатном буфере наблюдается общая тенденция – скорость растворения чистого ГА больше, чем скорости растворения замещенных РЗЭ образцов, наибольшие скорости растворения характерны для La-ГА 1%, Y-ГА 1%, Ce-ГА 1%.
При растворении в среде HCl выявлено, что скорость деградации для замещенных образцов меньше, чем для ГА, синтезированного без введения дополнительных ионов. Из замещенных образцов наибольшие скорости растворения свойственны La-ГА 1% и Ce-ГА 1%. Также для процесса растворения в данном случае осуществляется зависимость: чем больше введено ионов РЗЭ в структуру гидроксиапатита, тем меньше скорость растворения.
Сравнивая значения скоростей растворения в различных растворителях видно, что процесс осуществляется с большей скоростью в HCl, что, связано с сильнокислой средой.
Заключение
Осуществлен синтез замещенных гидроксиапатитов (ГА) с различным содержанием ионов РЗЭ (1–5%, шаг – 1%): La3+, Ce3+. Методом РФА установлено образование замещенного гидроксиапатита La-ГА, Ce-ГА с различным содержанием изоморфно замещенных ионов.
Показано изменение параметров кристаллических решеток допированных ГА, что свидетельствует о замещении ионов Ca2+на ионы РЗЭ в структуре гидроксиапатита.
Методом АЭС с ИСП обнаружено присутствие ионов РЗЭ в твердых фазах. В соответствии с этим предложен состав катион-замещенных гидроксиапатитов.
Методами химического анализа обнаружено, что при увеличении концентрации РЗЭ – содержащих реагентов (1–5%) в исходном растворе способствует росту содержания их в осадках, что ведет к уменьшению отношения Ca/P (1.67), и как следствие замещению ионов кальция на ионы РЗЭ в структуре ГА.
При изучении растворимости синтезированных образцов выявлено, что катион-замещенные гидроксиапатиты менее растворимы, чем недопированный ГА. Наибольшая скорость растворения наблюдается в растворе HCl (pH = 2).
Об авторах
О. А. Голованова
Омский государственный университет им. Ф.М. Достоевского
Автор, ответственный за переписку.
Email: golovanoa2000@mail.ru
Россия, 644077, Омская область, г. Омск, пр. Мира, 55 а
Список литературы
- Баринов С. М., Комлев С.В. Биокерамика на основе фосфатов кальция. М.: Наука, 2005. С. 38-45.
- Dorozhkin S.V. Calcium orthophosphates (CaPO4): occurrence and properties. Review paper // Progres. Biomat. 2016. V. 5. P. 9–70.
- Mucalo M. Hydroxyapatite (HAp) for biomedical applications. // Amsterdam: Elsevier, 2015. 380 p.
- Doremus R.H. Review: Bioceramics // Journal of Material Science. 1992. V.27. P. 285-297.
- Yilmaza A. Y., Yilmaza S. Wet chemical precipitation synthesis of hydroxyapatite (HA) powders // Ceramics International, 2018. V. 44. No. 8. P. 9703–9710.
- Rodrı´guez-Lugo V., Karthik T. V. K., Mendoza-Anaya D., Rubio-Rosas E., Villasenor Ceron L. S., Reyes-Valderrama M. I. and Salinas-Rodrıguez E. Wet chemical synthesis of nanocrystalline hydroxyapatite flakes: effect of pH and sintering temperature on structural and morphological properties // Royal society open science, 2018. V. 5. No. 8. P. 1–12.
- Sophie Cox. Comparison of techniques for the synthesis of hydroxyapatite // Bioinspired Biomimetic and Nanobiomaterials, 2014. V. 1. No. 1. P. 37–47.
- Cawthray J. F., Creagh A. L., Haynes C. A., Orvig C. Ion exchange in hydroxyapatite with lanthanides // Inorganic Chemistry, 2015. V. 54. No. 4. P. 1440–1445.
- Guoqing Ma. Three common preparation methods of hydroxyapatite // Series materials Science and Engineering, 2018. V. 688. P. 1–12.
- Siqi Tang, Xunchang Fei. Refractory Calcium Phosphate-Derived Phosphorus Fertilizer Based on Hydroxyapatite Nanoparticles for Nutrient Delivery // ACS Appl. Nano Mater, 2021. V. 4. No. 2. P. 1364–1376.
- Suphatchaya Lamkhao, Manlika Phaya, Chutima Jansakun, Nopakarn Chandet, Kriangkrai Thongkorn, Gobwute Rujijanagul, Phuwadol Bangrak and Chamnan Randorn. Synthesis of hydroxyapatite with antibacterial properties using a microwave-assisted combustion method // Scientificc reports, 2019. V. 9. No. 1. P. 1–9.
- Noushin Nasiri and Christian Clarke. Nanostructured Gas Sensors for Medical and Health Applications: Low to High Dimensional Materials // National Library of Medicine, 2019. V. 9. No. 1. P. 449–457.
- Suja George, Dhiraj Mehta and Virendra Kumar Saharan. Application of hydroxyapatite and its modified forms as adsorbents for water defluoridation: an insight into process synthesis // Reviews in Chemical Engineering, 2020. V. 36. No. 3. P. 369–400.
- Thales R. Machadoa, Júlio C. Sczancoskia, Héctor Beltrán-Mirb, Máximo S. Lic, Juan Andrésd, Eloisa Cordoncillob, Edson Leitea, Elson Longoa. Structural properties and self-activated photoluminescence emissions in hydroxyapatite with distinct particle shapes // Ceramics International, 2018. V. 44. No. 1. P. 236–245.
- Kazin, P. E., Pogosova, M. A., Trusov, L. A., Kolesnik, I. V., Magdysyuk, O. V., & Dinnebier, R. E. Crystal structure details of La- and Bi-substituted hydroxyapatites: Evid ence for LaO + and BiO + with a very short metal–oxygen bond // Journal of Solid-State Chemistry 2016 V. 237. P. 349–357.
- Kulwinder Kaur, K.J. Singh, Vikas Anand, Nasarul Islam, Gaurav Bhatia, Namarta Kalia and Jatinder Singh Lanthanide (= Ce, Pr, Nd and Tb) ions substitution at calcium sites of hydroxyl apatite nanop articles as fluorescent bio probes: Experimental and Density Functional Theory Study, Ceramics International, 2017. V. 43. No. 13. P. 10097–10108.
- Wieszczycka, K., Staszak, K., Woźniak-Budych, M. J., & Jurga, S. Lanthanides and tissue engineering strategies for bone regeneration // Coordination Chemistry Reviews, 2019. V. 388. P. 248–267.
- Aleksandra Szcześ, Lucyna Hołysz, Emil Chibowski. Synthesis of hydroxyapatite for biomedical applications // Advances in Colloid and Interface Science, 2017. V. 249. P. 321–330.
- Mohammad Reza Maghsoodi, Larissa Ghodszad, Behnam Asgari Lajayer. Dilemma of hydroxyapatite nanoparticles as phosphorus fertilizer: Potentials, challenges and effects on plants // Environmental Technology & Innovation, 2020. V. 9. P. 1–14.
- Masahiro Okada and Tsutomu Furuzono. Hydroxylapatite nanoparticles: fabrication methods and medical applications // Science and technology of advanced materials, 2012. V. 13. P. 1–14.
- Yuguang Lv, Qi Shi, Yuling Jin, Hengxin Ren, Yushan Qin, Bo ь Wang, Shanshan Song. Preparation and Luminescent Properties of the antibacterial materials of the La3+ Doped Sm3+ – Hydroxyapatite // Journal of Physics, 2018. V. 986. P. 1–5.
- Gopi D., Sathishkumar S., Karthika A., & Kavitha L. Development of Ce3+/ Eu3+ dual-substituted hydroxyapatite coating on surgical grade stainless steel for improved antimicrobial and bioactive properties // Industrial & Engineering Chemistry Research, 2014. V. 53 No. 52. P. 20145–20153.
- Васильев Е.К. Качественный рентгенофазовый анализ. Новосибирск: Наука, 1986. 200 с.
- Егоров-Тисменко Ю. К. Кристаллография и кристаллохимия: учебник для вузов / Под ред. В.С.Урусова. 3-е изд. М.: КДУ. 2014. 588 с
- Tsyganova A.A., Golovanova O.A. Synthesis of a composite material based on a mixture of calcium phosphates and sodium alginate // Inorganic Materials. 2019. Т. 55. № 11. С. 1156 – 1161.
Дополнительные файлы







