Синтез и характеризация керамики BaxMg(2 – x)F4, активированной вольфрамом
- Авторы: Лисицын В.М.1, Мусаханов Д.А.2, Коржнева Т.Г.1, Стрелкова А.В.2, Лисицына Л.А.3, Голковский М.Г.2, Жунусбеков А.М.2, Карипбаев Ж.Т.2, Козловский А.Л.2
-
Учреждения:
- Национальный исследовательский Томский политехнический университет
- Евразийский университет им. Л.Н. Гумилева
- Томский государственный архитектурно-строительный университет
- Выпуск: Том 49, № 3 (2023)
- Страницы: 323-329
- Раздел: Статьи
- URL: https://ogarev-online.ru/0132-6651/article/view/139367
- DOI: https://doi.org/10.31857/S0132665122600169
- EDN: https://elibrary.ru/QDIMEM
- ID: 139367
Цитировать
Полный текст
Аннотация
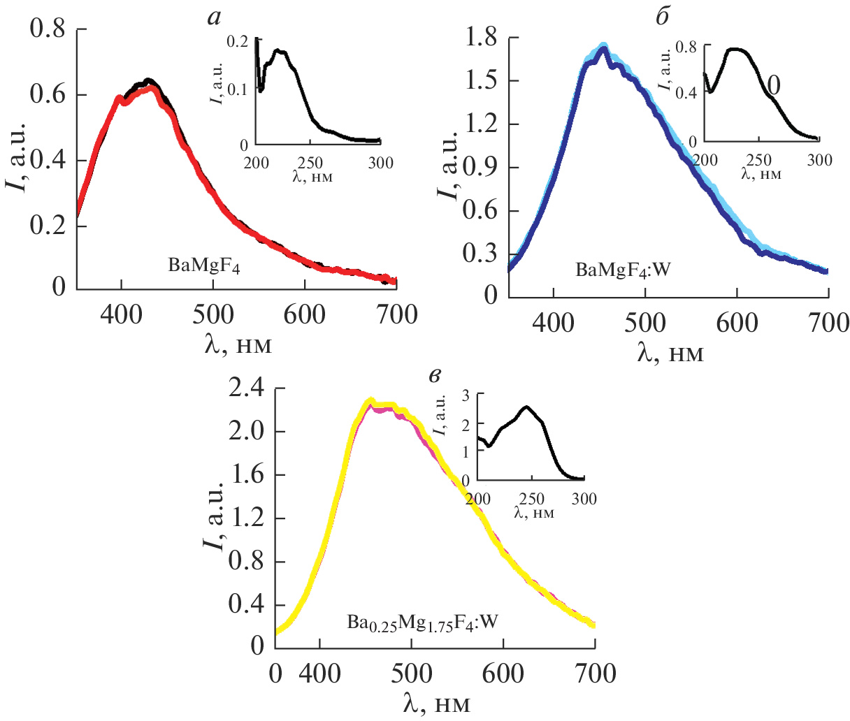
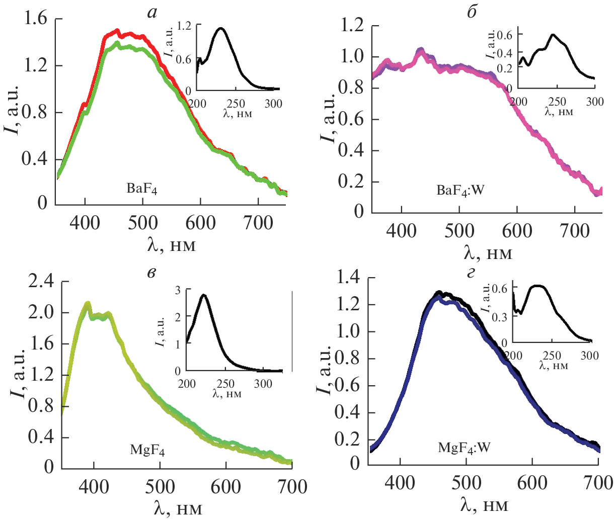
Впервые показана возможность радиационного синтеза люминесцирующей керамики из смеси фторидов Ba, Mg и оксида WO3. Синтез реализован в мощном потоке электронов с энергией 1.4 МэВ путем прямого воздействия радиации на шихту. Показано, что в спектре фотолюминесценции синтезированных материалов наблюдается характерная полоса, обусловленная введением вольфрама, что свидетельствует о вхождении вольфрама в решетку при радиационном синтезе без использования дополнительных веществ в шихте.
Ключевые слова
Об авторах
В. М. Лисицын
Национальный исследовательский Томский политехнический университет
Email: lisitsyn@tpu.ru
Россия, 634050, Томск, Ленина пр., 30
Д. А. Мусаханов
Евразийский университет им. Л.Н. Гумилева
Email: lisitsyn@tpu.ru
Республика Казахстан, 0100008, Нур-Султан, ул. Сатпаева, 2
Т. Г. Коржнева
Национальный исследовательский Томский политехнический университет
Email: lisitsyn@tpu.ru
Россия, 634050, Томск, Ленина пр., 30
А. В. Стрелкова
Евразийский университет им. Л.Н. Гумилева
Email: lisitsyn@tpu.ru
Республика Казахстан, 0100008, Нур-Султан, ул. Сатпаева, 2
Л. А. Лисицына
Томский государственный архитектурно-строительный университет
Email: lisitsyn@tpu.ru
Россия, 634003, Томск, пл. Соляная, 2
М. Г. Голковский
Евразийский университет им. Л.Н. Гумилева
Email: lisitsyn@tpu.ru
Республика Казахстан, 0100008, Нур-Султан, ул. Сатпаева, 2
А. М. Жунусбеков
Евразийский университет им. Л.Н. Гумилева
Email: lisitsyn@tpu.ru
Республика Казахстан, 0100008, Нур-Султан, ул. Сатпаева, 2
Ж. Т. Карипбаев
Евразийский университет им. Л.Н. Гумилева
Email: lisitsyn@tpu.ru
Республика Казахстан, 0100008, Нур-Султан, ул. Сатпаева, 2
А. Л. Козловский
Евразийский университет им. Л.Н. Гумилева
Автор, ответственный за переписку.
Email: lisitsyn@tpu.ru
Республика Казахстан, 0100008, Нур-Султан, ул. Сатпаева, 2
Список литературы
- Атрощенко Л.В., Бурачас С.Ф., Гальчинецкий Л.П., Гринев Б.В., Рыжиков В.Д., Старжинский Н.Г. Кристаллы, сцинтилляторы и детекторы ионизирующих излучений на их основе. Киев: Наук. думка, 1998. 310 с.
- Kore B.P., Kumar A., Erasmus L., Kroon R.E., Terblans J.J., Dhoble S.J., Swart H.C. Energy Transfer Mechanisms and Optical Thermometry of BaMgF4: Yb3+, Er3+ Phosphor // Inorg. Chem. 2018. V. 57. № 1. P. 288−299.
- Lisitsyna L.A., Lisitsyn V.M. Composition nanodefects in doped lithium fluoride crystals // Phys. Solid State. 2013. V. 55. № 11. P. 2297–2303.
- Lisitsyn V.M., Golkovskii M.G., Lisitsyna L.A., Dauletbekova A.K., Musakhanov D.A., Vaganov V.A., Tulegenova A.T., Karipbayev Zh.T. MgF2 – Based Luminescing Ceramics // Russian Physics J. 2019. V. 61. № 10. P. 1908–1913.
- Renfro G.M., Halliburton L.E., Sibley W.A., Belt R.F. Radiation effects in LiYF4 // J. Phys. C: Solid St. Phys. 1980. V. 13. № 10. P. 1941–1950.
- Morato S.P., Masedo T.C.A. Fand photochromic centers in LiYF4:Nd crystals // Rad.eff. 1983. V. 72 № 2. P. 229–235.
- Wang M., Mi C.C., Wang W.X., Liu C.H., Wu Y.F., Xu Z.R., Mao C.B., Xu S.K. Immunolabeling and NIR-excited fluorescent imaging of HeLa cells by using NaYF(4) : Yb,Er upconversion nanoparticles // ACS Nano. 2009. V. 3(6). P. 1580–1586.
- Li Z.Q., Zhang Y., Jiang S. Synthesis of colour tunable lanthanide-ion doped NaYF4 upconversion nanoparticles by controlling temperature // Adv. Mater. 2008. V. 20. P. 4765.
- Yagi K., Mori K., Odawara O., Wada H. Preparation of spherical upconversion nanoparticles NaYF4:Yb, Er by laser ablation in liquid and optical properties // J. Laser Appl. 2020. V. 32. 022062. https://doi.org/10.2351/7.0000089
- Lisitsyn V.M., Golkovskii M.G., Lisitsyna L.A., Dauletbekova A.K., Musakhanov D.A., Vaganov V.A., Tulegenova A.T., Karipbayev Zh.T. MgF2–Based Luminescing Ceramics // Russian Physics J. 2019. V. 61. № 10. P. 1908–1913.
- Gingl F. BaMgF4 and Ba2Mg3F10: new examples for structural relationships between hydrides and fluorides // Z. Anorg. Allg. Chem. 1997. V. 623. P. 705–709.
Дополнительные файлы






