Формирование нанокристаллов Zn0.5Ni0.5Fe2O4 в условиях растворного горения: влияние типа “топлива” на структуру и морфологию
- Авторы: Гаврилова М.А.1, Гаврилова Д.А.1, Кондрашкова И.С.1, Красилин А.А.1,2
-
Учреждения:
- Санкт-Петербургский государственный технологический институт (технический университет)
- Физико-технический институт им. А.Ф. Иоффе РАН
- Выпуск: Том 49, № 4 (2023)
- Страницы: 459-470
- Раздел: Статьи
- URL: https://ogarev-online.ru/0132-6651/article/view/139358
- DOI: https://doi.org/10.31857/S013266512260090X
- EDN: https://elibrary.ru/SGPCMI
- ID: 139358
Цитировать
Полный текст
Аннотация
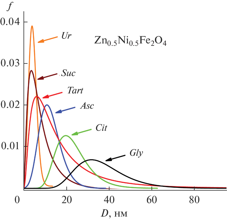
Никель-цинковые ферриты, обладающие ярко выраженными ферримагнитными и полупроводниковыми свойствами, могут быть использованы в качестве перспективных магнитоуправляемых фотокатализаторов для очистки водных сред от органических загрязнителей. Величина удельной площади поверхности в значительной степени влияет на фотокаталитические свойства материала, поэтому возможность ее контроля и варьирования на этапе синтеза представляет большой научный и технический интерес. В представленной работе нанокристаллический феррит состава Zn0.5Ni0.5Fe2O4 получен в условиях растворного горения с использованием различных видов органического “топлива” в качестве основного фактора, влияющего на формирование удельной площади поверхности, и последующей термической обработкой на воздухе при температуре 500°С в течение 2-х часов. Методами рентгенофазового анализа, рентгеноспектрального микроанализа и сканирующей электронной микроскопии исследованы кристаллическая структура, химический состав и морфология Zn0.5Ni0.5Fe2O4. Значения удельной площади поверхности синтезированных нанопорошков рассчитаны на основании проведенного метода жидкофазной адсорбции из раствора метиленового синего и низкотемпературной адсорбции–десорбции азота. Результаты рентгенофазового анализа показали, что происходит формирование однофазного нанокристаллического продукта со структурой шпинели, где средний размер кристаллитов варьируется в пределах 11–23 нм и находится в обратной зависимости от величины удельной площади поверхности, соответственно, после реакции с янтарной кислотой ‒ 39.1 м2/г и с глицином ‒ 20.2 м2/г. Установлено, что выбор “топлива” в значительной степени влияет на формирование нанокристаллов и удельной площади поверхности образцов, а использованный подход позволяет осуществлять контроль ее значений.
Ключевые слова
Об авторах
М. А. Гаврилова
Санкт-Петербургский государственный технологический институт (технический университет)
Email: amonrud@yandex.ru
Россия, 190013, Санкт-Петербург, Московский проспект, 26
Д. А. Гаврилова
Санкт-Петербургский государственный технологический институт (технический университет)
Email: amonrud@yandex.ru
Россия, 190013, Санкт-Петербург, Московский проспект, 26
И. С. Кондрашкова
Санкт-Петербургский государственный технологический институт (технический университет)
Email: amonrud@yandex.ru
Россия, 190013, Санкт-Петербург, Московский проспект, 26
А. А. Красилин
Санкт-Петербургский государственный технологический институт (технический университет); Физико-технический институт им. А.Ф. Иоффе РАН
Автор, ответственный за переписку.
Email: amonrud@yandex.ru
Россия, 190013, Санкт-Петербург, Московский проспект, 26; Россия, 194021, Санкт-Петербург, Политехническая, 26
Список литературы
- Martinson K.D., Kozyritskaya S.S., Panteleev I.B., Popkov V.I. Low coercivity microwave ceramics based on LiZnMn ferrite synthesized via glycine-nitrate combustion // Nanosystems Physics Chemistry Mathematics. 2019. V. 10. № 3. P. 313–317.
- Klumdoung P., Hassadee A., Pankaew P. Effect of nickel ferrite addition on characteristics of nanostructured nickel ferrite/hydroxyapatite ceramic // Materials Today: Proceedings. 2019. V. 17. P. 1752–1760.
- Hajarpour S., Honarbakhsh Raouf A., Gheisari K. Structural evolution and magnetic properties of nanocrystalline magnesium–zinc soft ferrites synthesized by glycine–nitrate combustion process // J. Magnetism and Magnetic Materials. 2014. V. 363. P. 21–25.
- Ombaka L.M., Dillert R., Robben L., Bahnemann D.W. Evaluating carbon dots as electron mediators in photochemical and photocatalytic processes of NiFe2O4 // APL Materials. 2020. V. 8. № 3. P. 031 105.
- Zulfiqar Ahmed M.N., Chandrasekhar K.B., Jahagirdar A.A., Nagabhushana H., Nagabhushana B.M. Photocatalytic activity of nanocrystalline ZnO, α-Fe2O3 and ZnFe2O4/ZnO // Applied Nanoscience. 2015. V. 5. № 8. P. 961–968.
- Suppuraj P., Parthiban S., Swaminathan M., Muthuvel I. Hydrothermal fabrication of ternary NrGO-TiO2/ZnFe2O4 nanocomposites for effective photocatalytic and fuel cell applications // Materials Today: Proceedings. 2019. V. 15. P. 429–437.
- Tsvetkov M.P., Milanova M.M., Cherkezova-Zheleva Z.P., Tsoncheva T.S., Zaharieva J.T., Abrashev M.V., Mitov I.G. Catalytic and photocatalytic properties of zinc–nickel ferrites // J. Chemical Sciences. 2021. V. 133. P. 24.
- Bohra M., Alman V., Arras R. Nanostructured ZnFe2O4: An exotic energy material // Nanomaterials. 2021. V. 11. № 5. P. 1286.
- Ashiq M.N., Naz F., Malana M.A., Gohar R.S., Ahmad Z. Role of Co–Cr substitution on the structural, electrical and magnetic properties of nickel nano-ferrites synthesized by the chemical co-precipitation method // Materials Research Bulletin. 2012. V. 47. № 3. P. 683–686.
- Sunny V., Kurian P., Mohanan P., Joy P.A., Anantharaman M.R. A flexible microwave absorber based on nickel ferrite nanocomposite // J. Alloys and Compounds. 2010. V. 489. № 1. P. 297–303.
- Ichiyanagi Y., Uehashi T., Yamada S. Magnetic properties of Ni–Zn ferrite nanoparticles // Physica Status Solidi C: Conferences. 2004. V. 1. № 12. P. 3485–3488.
- Wang Z., Wang J., Pan Y., Liu F., Lai Y., Li J., Jiang L. Preparation and characterization of a novel and recyclable InVO4/ZnFe2O4 composite for methylene blue removal by adsorption and visible-light photocatalytic degradation // Applied Surface Science. 2020. V. 501. P. 144006.
- Casbeer E., Sharma V.K., Li X.Z. Synthesis and photocatalytic activity of ferrites under visible light: A review // Separation and Purification Technology. 2012. V. 87. P. 1–14.
- Choudhary S., Bisht A., Mohapatra S. Microwave-assisted synthesis of α-Fe2O3/ZnFe2O4/ZnO ternary hybrid nanostructures for photocatalytic applications // Ceramics International. 2021. V. 47. № 3. P. 3833–3841.
- Mady A.H., Baynosa M.L., Tuma D., Shim J.J. Facile microwave-assisted green synthesis of Ag-ZnFe2O4@rGO nanocomposites for efficient removal of organic dyes under UV- and visible-light irradiation // Applied Catalysis B: Environmental. 2017. V. 203. P. 416–427.
- Passi M., Pal B. A review on CaTiO3 photocatalyst: Activity enhancement methods and photocatalytic applications // Powder Technology. 2021. V. 388. P. 274–304.
- Falak P., Hassanzadeh-Tabrizi S.A., Saffar-Teluri A. Synthesis, characterization, and magnetic properties of ZnO-ZnFe2O4 nanoparticles with high photocatalytic activity // J. Magnetism and Magnetic Materials. 2017. V. 441. P. 98–104.
- Kido Y., Nakanishi K., Kanamori K. Sol-gel synthesis of zinc ferrite-based xerogel monoliths with well-defined macropores // RSC Advances. 2013. V. 3. № 11. P. 3661–3666.
- Costa A.C.F.M., Fagury-Neto E., Morelli M.R., Kiminami R.H.G.A. Microwave synthesis of Ni–Zn ferrite powders // Materials Science Forum. 2003. V. 416–418. № 1. P. 705–710.
- Kumar S., Singh V., Aggarwal S., Mandal U.K., Kotnala R.K. Synthesis of nanocrystalline Ni0.5Zn0.5Fe2O4 ferrite and study of its magnetic behavior at different temperatures // Materials Science and Engineering B: Solid-State Materials for Advanced Technology. 2010. V. 166. № 1. P. 76–82.
- Hwang C.C., Tsai J.S., Huang T.H. Combustion synthesis of Ni–Zn ferrite by using glycine and metal nitrates – Investigations of precursor homogeneity, product reproducibility, and reaction mechanism // Materials Chemistry and Physics. 2005. V. 93. № 2–3. P. 330–336.
- Varma A., Mukasyan A.S., Rogachev A.S., Manukyan K.V. Solution Combustion Synthesis of Nanoscale Materials // Chemical Reviews. 2016. V. 116. № 23. P. 14493–14586.
- Tugova E.A., Karpov O.N. Glycine–nitrate combustion engineering of neodymium cobaltite nanocrystals // Rare Metals. 2021. V. 40. № 7. P. 1778–1784.
- Fan G., Gu Z., Yang L., Li F. Nanocrystalline zinc ferrite photocatalysts formed using the colloid mill and hydrothermal technique // Chemical Engineering J. 2009. V. 155. № 1–2. P. 534–541.
- Новиков В.А., Фирсова И.А. Влияние содержания восстановителя в реакции растворного синтеза горением на параметры горения и свойства получаемых продуктов // Современные материалы, техника и технологии. 2017. Т. 6. № 14. С. 93–99.
- Гаврилова Д.А., Гаврилова М.А., Кондрашкова И.С., Пантелеев И.Б. Влияние состава, структуры и морфологии нанокристаллов ZnхMn(1 – х)Fe2O4 на магнитные свойства // Огнеупоры и техническая керамика. 2021. № 11–12. С. 18–24.
- Akhtar M.N., Saleem M., Khan M.A. Al doped spinel and garnet nanostructured ferrites for microwave frequency C and X- band applications // J. Physics and Chemistry of Solids. 2018. V. 123. P. 260–265.
- Hegyesi N., Vad R.T., Pukanszky B. Determination of the specific surface area of layered silicates by methylene blue adsorption: The role of structure, pH and layer charge // Applied Clay Science. 2017. V. 146. P. 50–55.
- Лабораторные работы и задачи по коллоидной химии / Под ред. Ю.Г. Фролова, А.С. Гродского. М.: Химия, 1986. 216 с.
- Amulya M.A.S., Nagaswarupa H.P., Kumar M.R.A., Ravikumar C.R., Prashantha S.C., Kusuma K.B. Sonochemical synthesis of NiFe2O4 nanoparticles: Characterization and their photocatalytic and electrochemical applications // Applied Surface Science Advances. 2020. V. 1. P. 100023.
- Sonu, Sharma S., Dutta V., Raizada P., Hosseini-Bandegharaei A., Thakur V., Nguyen V.-H., Vanle Q., Singh P. An overview of heterojunctioned ZnFe2O4 photocatalyst for enhanced oxidative water purification // J. Environmental Chemical Engineering. 2021. V. 9. № 5. P. 105812.
Дополнительные файлы








