ПОИСК ЛОРАНОВЫХ РЕШЕНИЙ СИСТЕМ ЛИНЕЙНЫХ ДИФФЕРЕНЦИАЛЬНЫХ УРАВНЕНИЙ С УСЕЧЕННЫМИ СТЕПЕННЫМИ РЯДАМИ В РОЛИ КОЭФФИЦИЕНТОВ
- Авторы: Абрамов С.А.1, Рябенко А.А.1, Хмельнов Д.Е.1
-
Учреждения:
- Федеральный исследовательский центр “Информатика и управление” РАН
- Выпуск: № 5 (2023)
- Страницы: 35-46
- Раздел: КОМПЬЮТЕРНАЯ АЛГЕБРА
- URL: https://ogarev-online.ru/0132-3474/article/view/141781
- DOI: https://doi.org/10.31857/S0132347423020036
- EDN: https://elibrary.ru/GYMMYQ
- ID: 141781
Цитировать
Полный текст
Аннотация
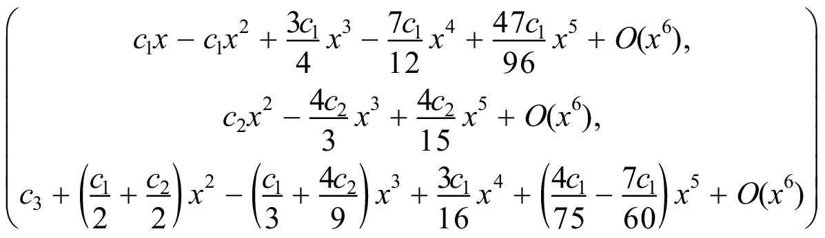
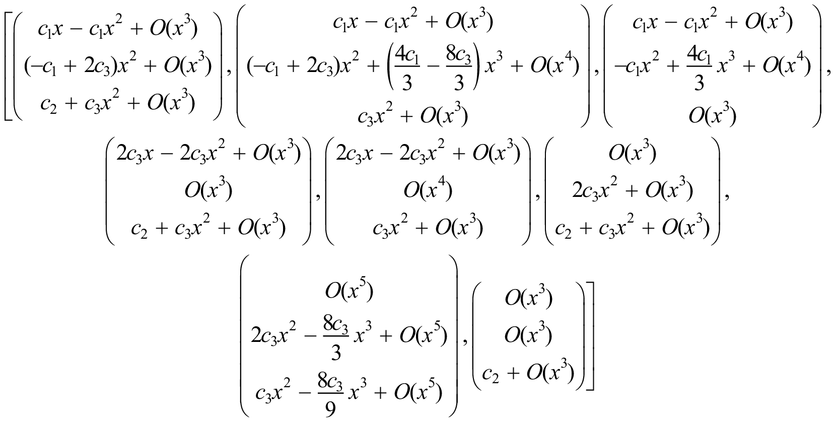
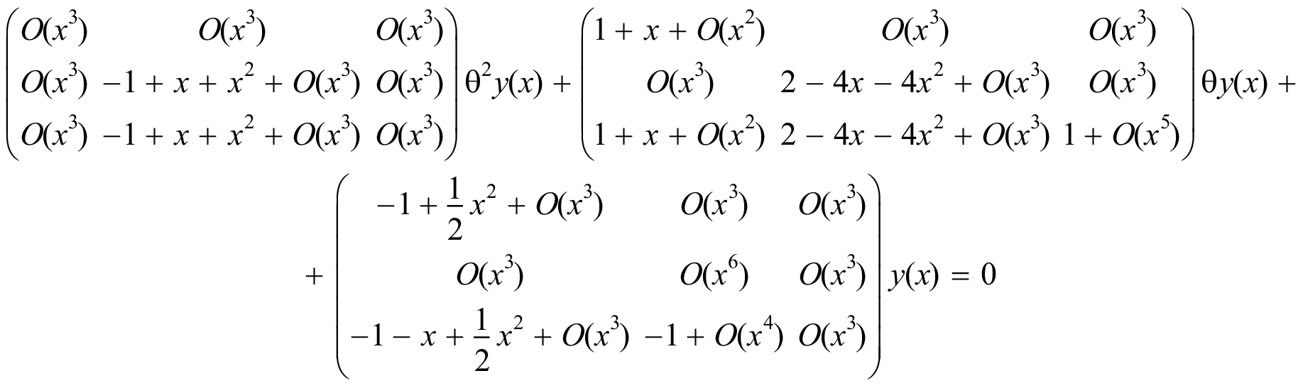
Рассматриваются системы линейных обыкновенных дифференциальных уравнений с бесконечными формальными степенными рядами в роли коэффициентов. Ряды задаются в усеченном виде, при этом степени усечения могут различаться для разных коэффициентов. В качестве средства исследования таких систем привлекаются индуцированные рекуррентные системы и литеральные обозначения незаданных коэффициентов рядов. Для случая, когда определитель ведущей матрицы индуцированной системы отличен от нуля и не содержит литералов, предлагается алгоритм построения лорановых решений системы. Ряды, входящие в решения, вновь являются усеченными. Алгоритм находит для них максимально возможное число членов, инвариантных относительно любых продолжений усеченных коэффициентов исходной системы. Представлены реализация алгоритма в виде Maple-процедуры и примеры ее использования.
Об авторах
С. А. Абрамов
Федеральный исследовательский центр “Информатика и управление” РАН
Автор, ответственный за переписку.
Email: sergeyabramov@mail.ru
Россия, 119333, Москва, ул. Вавилова, 40
А. А. Рябенко
Федеральный исследовательский центр “Информатика и управление” РАН
Автор, ответственный за переписку.
Email: anna.ryabenko@gmail.com
Россия, 119333, Москва, ул. Вавилова, 40
Д. Е. Хмельнов
Федеральный исследовательский центр “Информатика и управление” РАН
Автор, ответственный за переписку.
Email: dennis_khmelnov@mail.ru
Россия, 119333, Москва, ул. Вавилова, 40
Список литературы
- Abramov S.A., Barkatou M.A., Khmelnov D.E. On full rank differential systems with power series coefficients // J. of Symbolic Computation. 2015. V. 68. P. 120–137.
- Абрамов С.А., Хмельнов Д.Е. Регулярные решения линейных дифференциальных систем с коэффициентами в виде степенных рядов // Программирование. 2014. № 2. С. 75–85.
- Рябенко А.А. Экспоненциально-логарифмические решения линейных дифференциальных систем с коэффициентами в виде степенных рядов // Программирование. 2015. № 2. С. 54–62.
- Абрамов С.А., Рябенко А.А., Хмельнов Д.Е. Линейные обыкновенные дифференциальные уравнения и усеченные ряды // Ж. выч. мат. и мат. физ. 2019. Т. 59. № 10. С. 66–77.
- Абрамов С.А., Рябенко А.А., Хмельнов Д.Е. Регулярные решения линейных обыкновенных дифференциальных уравнений и усеченные ряды // Ж. выч. мат. и мат. физ. 2020. Т. 60. № 1. С. 4–17.
- Абрамов С.А., Рябенко А.А., Хмельнов Д.Е. Усеченные ряды и формальные экспоненциально-логарифмические решения линейных обыкновенных дифференциальных уравнений// Ж. вычисл. матем. и матем. физ. 2020. Т. 60. № 10. С. 1664–1675.
- Abramov S.A., Barkatou M.A., Pfluegel E. Higher-order linear differential systems with truncated coefficients // In Proc. of CASC’2011, 2011. P. 10–24.
- Abramov S.A., Barkatou M.A. On Strongly Non-Singular Polynomial Matrices // In: Schneider C., Zima E. (eds) Advances in Computer Algebra. Springer Proceedings in Mathematics & Statistics. 2018. V. 226. P. 1–17.
- Абрамов С.А., Рябенко А.А., Хмельнов Д.Е. Процедуры поиска лорановых и регулярных решений линейных дифференциальных уравнений с усеченными степенными рядами в роли коэффициентов // Труды ИСП РАН. 2019. Т. 31. № 5. С. 233–248.
- Maple online help // http://www.maplesoft.com/support/help/
- Abramov S., Khmelnov D., Ryabenko A. Truncated and infinite power series in the role of coefficients of linear ordinary differential equations // Proc. CASC’2020. Lecture Notes in Computer Science. 2020. V. 12291. P. 63–76.
- Abramov S., Khmelnov D., Ryabenko A. The TruncatedSeries Package for Solving Linear Ordinary Differential Equations Having Truncated Series Coefficients// In: Maple in Mathematics Education and Research, Springer Nature Switzerland. 2021. P. 19–33.
- Абрамов С.А., Рябенко А.А., Хмельнов Д.Е. Процедуры поиска усеченных решений линейных дифференциальных уравнений с бесконечными и усеченными степенными рядами в роли коэффициентов// Программирование. 2021. № 2. С. 56–65.
- Абрамов С.А., Рябенко А.А., Хмельнов Д.Е. Процедуры поиска локальных решений линейных дифференциальных систем с бесконечными степенными рядами в роли коэффициентов // Программирование. 2016. № 2. С. 75–86.
- Abramov S. EG-eliminations. J. of Difference Equations and Applications. 1999. V. 5. P. 393–433.
Дополнительные файлы






