РАЗРАБОТКА АЛГОРИТМИЧЕСКОГО И ПРОГРАММНОГО ОБЕСПЕЧЕНИЯ МОДЕЛИРОВАНИЯ УПРАВЛЯЕМЫХ ДИНАМИЧЕСКИХ СИСТЕМ С ПРИМЕНЕНИЕМ СИМВОЛЬНЫХ ВЫЧИСЛЕНИЙ И СТОХАСТИЧЕСКИХ МЕТОДОВ
- Авторы: Демидова А.В.1, Дружинина О.В.2, Масина О.Н.3, Петров А.А.3
-
Учреждения:
- Российский университет дружбы народов
- Федеральный исследовательский центр “Информатика и управление” РАН
- Елецкий государственный университет им. И.А. Бунина
- Выпуск: № 2 (2023)
- Страницы: 54-68
- Раздел: КОМПЬЮТЕРНАЯ АЛГЕБРА
- URL: https://ogarev-online.ru/0132-3474/article/view/137620
- DOI: https://doi.org/10.31857/S0132347423020085
- EDN: https://elibrary.ru/MFTAWU
- ID: 137620
Цитировать
Полный текст
Аннотация
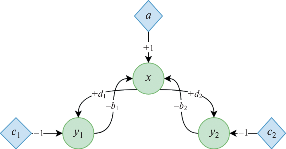
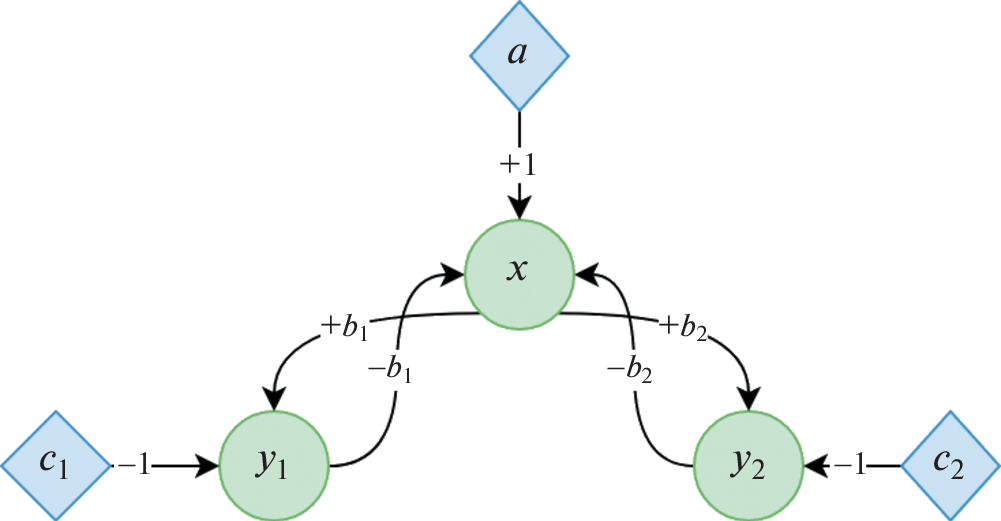
Разработка нового программного обеспечения для решения задач синтеза и анализа управляемых моделей с учетом детерминированного и стохастического описания является актуальным научным направлением. В статье представлены результаты разработки программного комплекса моделирования динамических систем, поведение которых может быть описано одношаговыми процессами. В качестве примеров рассмотрены модели популяционной динамики. Программный комплекс с использованием на входе детерминированного описания модели позволяет получить соответствующую стохастическую модель в символьном виде, а также провести детальный анализ модели (расчет траекторий в детерминированном и стохастическом случаях, поиск управляющих функций, графическая визуализация результатов). Важным аспектом разработки программного комплекса является применение методов компьютерной алгебры в задачах анализа модели и синтеза управлений. В программном комплексе реализованы методы и алгоритмы, базирующиеся на детерминированных и стохастических методах Рунге–Кутты, методах теории устойчивости и теории управления, методе построения самосогласованных стохастических моделей, алгоритмах численной оптимизации и искусственного интеллекта. Предложенный программный комплекс разрабатывается на основе языков высокого уровня Python и Julia. В качестве базового инструментального программного обеспечения используются высокопроизводительные библиотеки для векторно-матричных расчетов, библиотеки символьных вычислений, библиотеки для численного решения обыкновенных дифференциальных уравнений, библиотеки алгоритмов глобальной оптимизации.
Об авторах
А. В. Демидова
Российский университет дружбы народов
Email: demidova-av@rudn.ru
Россия, 117198, Москва, ул. Миклухо-Маклая, д. 6
О. В. Дружинина
Федеральный исследовательский центр “Информатика и управление” РАН
Email: ovdruzh@mail.ru
Россия, 119333, Москва, ул. Вавилова, д. 44, кор. 2
О. Н. Масина
Елецкий государственный университет им. И.А. Бунина
Email: olga121@inbox.ru
Россия, 399770, Липецкая обл., Елец, ул. Коммунаров, д. 28
А. А. Петров
Елецкий государственный университет им. И.А. Бунина
Автор, ответственный за переписку.
Email: xeal91@yandex.ru
Россия, 399770, Липецкая обл., Елец, ул. Коммунаров, д. 28
Список литературы
- Кулябов Д.С., Кокотчикова М.Г. Аналитический обзор систем символьных вычислений // Вестник РУДН. Серия: Математика. Информатика. Физика. 2007. № 1–2. С. 38–45.
- Алтунин К.Ю., Сениченков Ю.Б. О возможности символьных вычислений в пакетах визуального моделирования сложных динамических систем // Информатика, телекоммуникации и управление. 2009. № 3(80). С. 153–158.
- Малашонок Г.И., Рыбаков М.А. Решение систем линейных дифференциальных уравнений и расчет динамических характеристик систем управления в веб-сервисе mathpartner // Вестник российских университетов. Математика. 2014. № 2. С. 517–529.
- Банщиков А.В., Бурлакова Л.А., Иртегов В.Д., Титоренко Т.Н. Символьные вычисления в моделировании и качественном анализе динамических систем // Вычислительные технологии. 2014. № 6. С. 3– 18.
- Фалейчик Б.В. Одношаговые методы численного решения задачи Коши. Минск: БГУ, 2010.
- Platen E. An introduction to numerical methods for stochastic differential equations // Acta Numerica. 1999. V. 8. P. 197–246.
- Kulchitskiy O., Kuznetsov D. Numerical methods of modeling control systems described by stochastic differential equations // Journal of Automation and Information Sciences. 1999. 06. V. 31. P. 47–61.
- Gevorkyan M.N., Velieva T.R., Korolkova A.V. et al. Stochastic Runge–Kutta software package for stochastic differential equations // Dependability Engineering and Complex Systems / Ed. by Wojciech Zamojski, Jacek Mazurkiewicz, Jarosllaw Sugier Cham: Springer International Publishing, 2016. P. 169–179.
- Gevorkyan M.N., Demidova A.V., Korolkova A.V., Kulyabov D.S. Issues in the software implementation of stochastic numerical Runge–Kutta // Distributed Computer and Communication Networks / Ed. by Vladimir M. Vishnevskiy, Dmitry V. Kozyrev. Cham: Springer International Publishing, 2018. V. 919 of Communications in Computer and Information Science. P. 532–546. arXiv: 1811.01719.
- Геворкян М.Н., Демидова А.В., Велиева Т.Р. и др. Реализация метода стохастизации одношаговых процессов в системе компьютерной алгебры // Программирование. 2018. № 2. С. 18–27.
- Демидова А.В. Уравнения динамики популяций в форме стохастических дифференциальных уравнений // Вестник РУДН. Серия: Математика. Информатика. Физика. 2013. № 1. С. 67–76. URL: https://journals.rudn.ru/miph/article/ view/8319.
- Карпенко А.П. Современные алгоритмы поисковой оптимизации. Алгоритмы, вдохновленные природой. 2-е изд. изд. Москва: МГТУ им. Н.Э. Баумана, 2016.
- Firsov A.N., Inovenkov I.N., Nefedov V.V., Tikhomirov V.V. Numerical study of the effect of stochastic disturbances on the behavior of solutions of some differential equations // Modern Information Technologies and IT-Education. 2021. V. 17. № 1. P. 37–43.
- Mao X. Stochastic Differential Equations and Applications, 2nd ed. Cambridge: Woodhead Publ, 2008.
- Korolkova A., Kulyabov D. Onestep stochastization methods for open systems // EPJ Web of Conferences. 2020. V. 226. P. 02014. URL: https://doi.org/10.1051/epjconf/202022602014
- Gardiner C.W. Handbook of Stochastic Methods: For Physics, Chemistry and the Natural Sciences. Heidelberg: Springer, 1985.
- Van Kampen N. Stochastic Processes in Physics and Chemistry. Amsterdam: Elsevier, 1992.
- Bairey E., Kelsic E.D., Kishony R. High-order species interactions shape ecosystem diversity // Nature Communications. 2016. V. 7. P. 12285.
- Голубятников В.П., Подколодная О.А., Подколодный Н.Л., Аюпова Н.Б., Кириллова Н.Е., Юношева Е.В. Об условиях существования циклов в двух базовых моделях циркадного осциллятора млекопитающих // Сиб. журн. индустр. матем. 2021. Т. 24. № 4. С. 39–53.
- Вольтерра В. Математическая теория борьбы за существование. Москва: Наука, 1976.
- Свирежев Ю.М., Логофет Д.О. Устойчивость биологических сообществ. Москва: Наука, 1978.
- Базыкин А.Д. Нелинейная динамика взаимосвязанных популяций. Москва–Ижевск: Институт компьютерных исследований, 2003.
- Dilao R. Mathematical Models in Population Dynamics and Ecology // In Biomathematics: Modelling and Simulation. Singapore: World Scientific, 2006. P. 399–449.
- Четаев Н.Г. Устойчивость движения. Москва: ГИТТЛ, 1964.
- Пых Ю.А. Равновесие и устойчивость в моделях популяционной динамики. Москва: Наука, 1983.
- Шестаков A.А. Обобщенный прямой метод Ляпунова для систем с распределенными параметрами. Москва: Наука, 1990.
- Demidova A.V., Druzhinina O.V., Jacimovic M. et al. The generalized algorithms of global parametric optimization and stochastization for dynamical models of interconnected populations // Optimization and Applications. OPTIMA 2020. Lecture Notes in Computer Science / Ed. by Nicholas Olenev, Yuri Evtushenko, Michael Khachay, Vlasta Malkova. V. 12422. Cham: Springer, 2020. P. 40–54.
- Demidova A.V., Druzhinina O.V., Masina O.N., Petrov A.A. Synthesis and computer study of population dynamics controlled models using methods of numerical optimization, stochastization and machine learning // Mathematics. 2021. V. 9. № 24. URL: https: //www.mdpi.com/2227-7390/9/24/3303.
- Demidova A.V., Druzhinina O.V., Jacimovic M., Masina O.N., Mijajlovic N. Synthesis and analysis of multidimensional mathematical models of population dynamics // Proceedings of the Selected Papers of the 10th International Congress on Ultra Modern Telecommunications and Control Systems ICUMT (Moscow, Russia, November 5–9, 2018). New York: IEEE Xplore Digital Library, 2018. IEEE Catalog Number CFP 1863G-USB. P. 361–366. https://doi.org/10.1109/ICUMT.2018.8631252
- Demidova A., Druzhinina O., Jacimovic M. et al. Problems of synthesis, analysis and optimization of parameters for multidimensional mathematical models of interconnected populations dynamics // Optimization and Applications. OPTIMA 2019. Communications in Computer and Information Science / Ed. by Milojica Jacimovic, Michael Khachay, Vlasta Malkova, Mikhail Posypkin. V. 1145. Cham: Springer, 2020. P. 56–71.
- Demidova A.V., Druzhinina O.V., Masina O.N., Petrov A.A. Computer research of the controlled models with migration rows // Proceedings of the Selected Papers of the 10th International Conference “Information and Telecommunication Technologies and Mathematical Modeling of High-Tech Systems” (ITTMM-2020). CEUR Workshop Proceedings. 2020. V. 2639. P. 117–129.
- Harris C.R., Millman K.J., van der Walt S.J. et al. Array programming with NumPy // Nature. 2020. V. 585. № 7825. P. 357–362. URL: https://doi.org/10.1038/s41586-020-2649-2
- Fuhrer C., Solem J., Verdier O. Scientific Computing with Python 3. Packt Publishing, 2016.
- Lamy R. Instant SymPy Starter. Packt Publishing, 2013.
- Oliphant T.E. Guide to NumPy. 2nd edition. North Charleston, SC, USA: CreateSpace Independent Publishing Platform, 2015. ISBN: 151730007X.
- Virtanen P., Gommers R., Oliphant T.E. et al. SciPy 1.0: fundamental algorithms for scientific computing in Python // Nature Methods. 2020. V. 17. P. 261–272. URL: https://doi.org/10.1038/s41592-019-0686-2
- Bezanson J., Edelman A., Karpinski S., Shah V.B. Julia: A fresh approach to numerical computing // SIAM Review. 2017. V. 59. № 1. P. 65–98.
- Meurer A., Smith C.P., Paprocki M. et al. SymPy: symbolic computing in Python // PeerJ Computer Science. 2017. V. 3. P. e103. URL: https://doi.org/10.7717/ peerj-cs.103
Дополнительные файлы













