Octahedral Halide Clusters of Niobium and Tantalum Bearing the Cluster Core {M6X12}
- Authors: Shamshurin M.V.1, Sokolov M.N.1
-
Affiliations:
- Nikolaev Institute of Inorganic Chemistry of the Siberian Branch of the Russian Academy of Sciences
- Issue: Vol 50, No 10 (2024)
- Pages: 629-647
- Section: Articles
- URL: https://ogarev-online.ru/0132-344X/article/view/273472
- DOI: https://doi.org/10.31857/S0132344X24100012
- EDN: https://elibrary.ru/LQMAKJ
- ID: 273472
Cite item
Full Text
Abstract
Synthesis methods, molecular and electronic structures, and reactivity of the family of the octahedral clusters of niobium and tantalum halides bearing the {M6X12} cluster core are reviewed. Possible fields of the practical use of this class of compounds are considered.
Full Text
Ниобий и тантал в низких степенях окисления проявляют сильную тенденцию к образованию соединений со связями металл–металл (кластеров) [1]. Особенно многочисленно семейство октаэдрических галогенидных кластеров {M6(µ2-X)12}n+ (M = Nb, Ta; X = F, Cl, Br, I; n = 2, 3, 4). В них, помимо мостиковых атомов галогена, каждый атом металла кластерного ядра дополнительно координируется одним терминальным лигандом, что приводит к образованию кластерных комплексов типа [{M6X12}L6] (рис. 1).
Рис. 1. Кластерный анион [Ta6Br18]4– как пример координационного фрагмента [{M6X12}L6] (M = Ta (синий), X = L = Br (зеленый))
Этот дополнительный лиганд L может быть как терминальным, так и мостиковым. Для того чтобы отразить обе возможности, Шефером был разработан особый способ записи химических формул таких соединений. За основу берется изолированный кластерный комплекс, например [Ta6(μ2-Cl)12Cl6]2−. Мостиковые лиганды в составе кластерного ядра помечаются символом «i» (от немецкого “inner” – «внутренний»), а концевые (терминальные) – символом «а» (от немецкого “auβer” – «внешний»). В случае изолированного комплекса [Ta6(μ2-Cl)12Cl6]2− формула запишется следующим образом: [Ta6(μ2-Cli)12Cla6]2−. Запись усложняется при переходе к бинарным галогенидам, обладающих трехмерными структурами, например Nb6Cl14, который в символике Шефера записывается как [{Nb6Cli10Cli-a2/2}Cla-i2/2Cla-a2/2] [2–6]. Двойные индексы указывают на то, что галогенид входит в состав кластерного ядра {Nb6(µ2-Cl)12} и одновременно занимает позиции «а» в соседнем кластере. Такое же строение имеют галогениды тантала Ta6Br14 и Ta6I14.
Структуры галогенидов со стехиометрией M6X15 описываются формулой [M6Xi12Xa-a6/2] и делятся на два структурных подкласса: Nb6F15 и Ta6X15 (X = Cl, Br) [7, 8]. Трехмерный каркас [M6Xi12Xa-a6/2] можно как восстановить, так и окислить с сопутствующей интеркаляцией катионов или анионов в подходящие пустоты. Именно такую структуру имеет бромид Ta6Br15(TaBr6)0.86, содержащий в качестве «гостей» анионы [TaBr6]– [9]. Интересно, что по брутто-составу (TaBr2.94) этот бромид приближается к низшему пределу области гомогенности для бромида TaBr3–x, который был давно обнаружен на фазовой диаграмме системы Ta–Br, но долгое время оставался структурно не охарактеризованным [10].
ОСНОВНЫЕ МЕТОДЫ СИНТЕЗА КЛАСТЕРНЫХ ГАЛОГЕНИДОВ НИОБИЯ И ТАНТАЛА
Бинарные галогениды редко используются как стартовые соединения для получения дискретных комплексов [{M6X12}L6]. Общим методом получения галогенидных кластеров служит восстановление пентагалогенидов MX5 (M = Nb, Ta; X = Hal) избытком соответствующего металла M в присутствии галогенида щелочного металла AX (A = Na, K, Rb; X = Cl, Br), протекающее при 600–700 °C [11]:
.
В случае K4[M6Br18] (M = Nb, Ta) можно использовать бром вместо пентабромида металла с соблюдением общей стехиометрии [12]. Аналогично реакция Ta, Br2 и LiBr приводит к образованию продукта состава Li4[Ta6Br18], экстракция которого диглимом на воздухе приводит, в результате окисления кластера, к кристаллизации комплекса состава [Li(диглим)2]2[Ta6Br18] [13].
Помимо галогенидов щелочных металлов можно использовать металлы 13 группы (галлий, индий, таллий), способные входить в кристаллическую решетку продукта в виде ионов M+. Реакция соответствует уравнению:
(700–800°С).
Восстановлением NbCl5 металлическим Nb в присутствии InCl3 или TlCl3 при 720°С были получены фазы состава ANb6Cl15 (A = In+, Tl+) [14]. Структура In[Nb6Cl15] базируется на трехмерном каркасе, образованном октаэдрами {Nb6Cl12}2+, связанными мостиковыми атомами Cla по всем трем направлениям. Катионы In+ заполняют пустоты (рис. 2).
Рис. 2. Фронтальная проекция структуры In[Nb6Cl15]: в виде октаэдров представлены кластерные ядра Nb6, связанные мостиковыми атомами Cl; одиночные атомы — In+ [14]
Нагреванием смеси Nb, NbCl5 и LiCl при 700 °C получена фаза состава Li2[Nb6Cl16] (рис. 3). В ее структуре присутствуют анионные слои [Nb6Cli12Cla-a4/2Cla2]2-, в плоскости которых расположены катионы лития [15]. Интересно, что экстракция литиевой соли ацетоном в атмосфере аргона приводит, как утверждается, к «щадящему окислению» (за счет ацетона?) кластерного ядра {Nb6Cl12}2+ до состояния {Nb6Cl12}3+. После добавления краун-эфиров (12-краун-4, 15-краун-5, 18-краун-6) были выделены соответствующие соли, содержащие кластерный анион [Nb6Cl18]3– [16].
Рис. 3. Структура Li2[Nb6Cl16]: показаны слой (слева) и трехмерный каркас с участием ионов лития (серые шарики, справа)
Схожее превращение в присутствии хлорида индия протекает по уравнению:
.
Структура In2Li2[Nb6Cl18] состоит из дискретных кластеров [Nb6Cl18]4- в катионном окружении из Li+ и In+ [17]. Сообщается и о Tl4[Nb6Br18], метод получения которого схож с приведенным выше для Ga(In, Tl)4[Ta6Cl18] [18]. K4[Ta6X18] (X = Cl, Br) можно получить в относительно мягких условиях, восстанавливая пентагалогенид тантала Ga или Ga2Cl4 [19]. Оригинальный способ восстановления пентагалогенидов предложили британские ученые А. Уиттакер и Д. Мингос, которые использовали микроволновое излучение в качестве активатора реакции MCl5 (M = Nb, Ta) c Al, причем использовалась бытовая микроволновая печь мощностью 200 ватт (режим «размораживание») [20].
Катионная часть солей на основе [Nb6Cl18]4– может включать в себя также oднозарядные катионы Cu+, двухзарядные Ba2+, Pb2+, Eu2+, Mn2+, V2+ и трехзарядные Ti3+, Gd3+, Lu3+, Er3+. Например, получены фазы со смешанным катионным составом: Rb2Cu2[Nb6Cl18], K2Mn[Nb6Cl18], ATi[Nb6Cl18] (A = K, Rb, Cs, In, Tl) и A2V[Nb6Cl18] (A’ = Tl, In, Rb) [21–24]. Для бромидов описаны CsLn[Nb6Br18] (A = K-Cs, Ln = La-Lu3+ и A2Ln[Ta6Br18] (A = Rb, Cs, Tl, Ln = Eu2+, Yb2+) [25, 26]. Серия бромотанталатов представлена фазами A2Ln[Ta6Br18] (A = K-Cs, Ln = Eu2+, Yb2+), ALn[Ta6Br18] (A = K-Cs, Ln = La-Lu3+, Y3+). Окисленный анион [Ta6Br18]3– присутствует в структуре Ln[Ta6Br18] (Ln = Nd-Tm). Все эти фазы получены нагреванием стехиометрических количеств ABr, RЕBr3, MBr5 и M в кварцевых трубках при 600–750°С в течение суток [27].
Ta6I14 впервые был получен в 1965 году восстановлением TaI5 металлическим Ta: 14TaI5 + 16Ta = 5Ta6I14 [28].
При этом использовалась трехзонная схема: иодид тантала нагревается до 510 °С, металлический тантал — до 665°С, а кристаллический продукт собирался в зоне, нагретой до 528°С. Альтернативно он может быть получен восстановлением пентаиодида тантала алюминием в градиенте температур 475–300°С. Недавно была предложена простая методика синтеза Ta6I14 из простых веществ, не предполагающая использование TaI5 [29]. Строение Ta6I14 показано на рис. 4. Нагревание его с избытком иода в запаянной ампуле при 350°С переводит Ta6I14 в TaI5. При более низких температурах (жидкий иод под давлением, ≤ 250°С) образуется фаза с мольным соотношением I/Ta = 4,6, которой приписывается строение [(Ta6I12)I18] с полииодидными мостиками между кластерами {Ta6I12}2+ [30].
Рис. 4. Строение Ta6I14 ([Ta6Ii10Ii-a2/2}Ia-i2/2Ia-a2/2])
Утверждается, что иодидный кластер Ta6I15 образуется при разложении пентаиодида тантала в токе азота при 100–200°С в виде черных кристаллов кубической сингонии (а = 11.02 Å). На основе сходства порошковых дифрактограмм для него принимается строение, аналогичное Nb6F15 ([(M6Xi12)Xa6/2]) [30]. Комплексы с кластерным ядром {Nb6I12} неизвестны, однако в соединении состава Nb6Cl10.8I3.3 присутствуют кластерные ядра {Nb6Cl11I}2+. Кристаллическая структура другого смешанного галогенида, Nb6Cl12I2, описывается Шеферовской формулой {Nb6Cli12Ia-a-a6/3}, согласно которой кластерные ядра {Nb6Cl12}2+ связаны иодидными мостиками [31]. Что касается фторидов, то Nb6F15 остается единственным примером октаэдрического кластера с ядром {M6Fi12}, хотя известны смешанные фторидгалогениды CsNb6Cl8F7 и KNbf6Cl10F5 [32], Na2Nb6Cl8F7(NbF6) [33], Na2Nb6Cl8F7(NbF6) и Nb6Br8F7 [34], Cs2Nb6Br5F12 [35], Cs4Nb6I9.5F8.5 [36].
ОБЩИЕ СВОЙСТВА ОКТАЭДРИЧЕСКИХ КЛАСТЕРОВ
Поскольку и галогенид- и халькогенид-ионы не являются p-акцепторными лигандами сильного поля, правило 18 электронов и связанные с ним правила Уэйда–Мингоса не применимы для определения «магического числа» электронов, необходимых для стабильности кластера. Для существования устойчивых кластеров [M6Xi12Ya6]n достаточно уже 14 кластерных скелетных электронов с возможностью дополнительного обратимого восстановления в 15- и 16-электронные кластеры. Этим числам отвечают кластерные ядра {M6Xi12}4+, {M6Xi12}3+ и {M6Xi12}2+ соответственно. Такая «электронная емкость», подразумевающая возможность сохранения структуры при потере или присоединении нескольких электронов за счет небольшого изменения геометрических параметров, позволяет рассматривать октаэдрические кластеры как «электронные резервуары». Начиная с 1960-х гг. проводились экспериментальные исследования (ЭПР, электронные спектры поглощения, магнитные измерения) и квантово-химические расчеты электронной структуры кластеров с ядром {M6(µ2-X)12}n+ [37–40]. Было показано, что граничные орбитали (ВЗМО и НВМО) являются металл-центрированными, и их заполнение влияет на связывание металл-металл в кластере. Кластеры {M6X12}4+ (14 кластерных скелетных электронов) и {M6X12}2+ (16 кластерных скелетных электронов) диамагнитны. Почти чисто спиновые магнитные моменты для 15-электронного (M6X12)3+ свидетельствует о том, что при восстановлении {M6X12}4+ электроны занимают невырожденную молекулярную орбиталь a2u (рис. 5). Связывающий характер a2u-орбитали подтверждается заметным удлинением расстояния М–М (около 0,1 Å) при удалении с нее электронов.
Рис. 5. Диаграмма МО {M6(µ2-X)12}2+ [1]
Недавние расчеты, выполненные на современном уровне теории функционала плотности (базисный набор Def2–TZVPP, B3LYP) для серии комплексов [M6Xi12Хa6]4– (X = Cl, Br) подтверждают наличие 8 МО, ответственных за связыванием металл–металл. Орбитали ВЗМО, ВЗМО-1 и ВЗМО-2 действительно отвечают орбиталям a2u, t1u и t2g, соответственно (причем уровень t1u лежит выше, а не ниже по энергии, чем t2g, как следовало из классической схемы). Орбиталь a1g является самой низколежащей и может опускаться даже ниже МО, отвечающих неподеленным парам галогенидных лигандов. Примечательно наличие p-связывания между металлом и терминальным галогенидом, которому отвечает глубоколежащий набор t2g (НОМО-7) [41].
Спектр ЭПР, зарегистрированный для (Bu4N)3[Nb6Cl12Br6] ({Nb6Cl12}3+}, показал, что неспаренный электрон делокализован на шести эквивалентных атомах ниобия. Были измерены величины магнитной восприимчивости и спектры магнитного кругового дихроизма, подтвердившие парамагнетизм 15-электронных кластеров, при этом было показано, что магнитное поведение комплексов [M6X12X6]3– подчиняются закону Кюри [42–45]. Изучены электронные спектры поглощения (ЭСП) для [M6X12(Н2О)6]n+ (X = Cl, Br: n = 2–4) в водных растворах. Близкое сходство ЭСП для ниобия и тантала показывает отсутствие заметного влияния спин-орбитального взаимодействия на энергию молекулярных орбиталей [46, 47].
Химические свойства кластеров [{M6X12}L6] определяются двумя факторами. Во-первых, в реакциях замещения лигандов мостиковый лиганд Х, как правило, инертен, в то время как терминальные лиганды лабильны. Во-вторых, кластеры вступают в обратимые реакции одноэлектронного окисления/восстановления. Ситуация может осложняться тем, что лигандный обмен может сопровождаться изменением состояния окисления кластерного ядра. В кислых растворах кластеры {M6X12}2+ медленно окисляются кислородом воздуха с образованием {M6X12}3+ и {M6X12}4+ [19, 42, 48]. Особенно легко окисляются анионные комплексы [{M6X12}X6]4–, а галогенидные комплексы [{M6X12}X6]2–являются, напротив, наиболее стабильными среди 14-электронных кластеров с ядром {M6X12}4+. В неводных средах окисленные состояния +3 и +4 стабильнее, чем в водных [43]. Природа терминального лиганда оказывает влияние на относительную стабильность 14-, 15- и 16-электронных кластеров [44, 45].
16-ЭЛЕКТРОННЫЕ КЛАСТЕРЫ {M6X12}2+
Как сами бинарные галогениды M6X14, так и соли A4[M6X18] растворимы в воде. Из водных растворов, в зависимости от условий кристаллизации, выделяются гидраты [(M6X12)(H2O)4X2] · nH2O (n = 3 или 4), по традиции записывающиеся как M7X14 · (7-8)H2O. Следует отметить, что в большинстве работ точный состав используемого гидрата, используемого в дальнейших синтезах (тригидрат vs. тетрагидрат), не уточнялся. Восстановление смеси пентабромидов ниобия и тантала кадмием с последующей акватацией привело к выделению смешанных кластеров (Nb,Ta)6Br14·8H2O [46]. Гидраты могут быть переведены в соли [M6Cl18]4– с органическими катионами — производными тетраалкиламмония — экстракцией подходящим растворителем в аппарате Сокслета в присутствии R4NCl в инертной атмосфере [49]. Попытки провести аналогичный обмен на воздухе приводят к окисленным комплексам [M6X18]2– [50].
Для бромидного кластера тантала установлено строение как три-, так и тетрагидрата, причем в обоих случаях строение координационной сферы кластера описывается формулой транс-[(Ta6Br12)(H2O)4Br2]. Тетрагидрат полностью теряет кристаллизационную воду при нагревании до 125°С [50]. Дальнейшая дегидратация аквакомплексов была изучена на примере [(Nb6Cl12)(H2O)4Cl2]. Она сопровождается отщеплением HCl с образованием гидроксида [(Nb6Cl12)(H2O)2(OH)2] и, возможно, [(Nb6Cl12)(H2O)3(О)], для которого может образоваться скелетная перегруппировка с переходом кислорода в одну из 12 мостиковых позиций [51]. Гидраты гидроксокомплексов [(Nb6Cl12)(H2O)2(OH)2] ∙ 6H2O и [(Та6Cl12)(H2O)2(OH)2] ∙ 6H2O могут быть выделены из растворов [36].
Можно добиться полной акватации кластерного ядра {M6X12}2+ с образованием аквакомплексов [(M6X12)(H2O)6]2+ (рис. 6). Среди структурно охарактеризованных производных аквакомплексов можно упомянуть соли [M6Br12(H2O)6][HgBr4] ∙ 12H2O [40, 41], Cs[(Ta6Br12)(H2O)6]Br3 × 6H2O, [(Ta6Br12)(H2O)6]Cl2 ×8H2O, [(Ta6Br12)(H2O)6]SO4 × 8.5H2O [42], а также тетрафенилбораты [Ta6I12(H2O)6](BPh4)2 · H2O и [Ta6Br12(H2O)6](BPh4)2 · 4H2O (рис. 7).
Рис. 6. Кластерный катион [(Ta6Br12)(H2O)6]2+
Рис. 7. Строение кластера [Та6I12(DMF)6]2+
Аквакомплексы способны входить в полость γ-циклодекстрина (γ-CD). Образование супрамолекулярного комплекса «гость-хозяин» {[Nb6Cl12(H2O)6]@γ-CD}2+ со стехиометрией 1 : 1 изучено методами ЯМР, изотермического калориметрического титрования и масс-спектрометрии. Константа устойчивости аддукта составляет 2.2×103 M–1. Стехиометрия 1 : 1 сохраняется в растворе в большом интервале соотношений реагентов, но кристаллизация приводит к продукту состава [Nb6Cl12(H2O)6@(γ-CD)2]Cl2 ∙ 20H2O, в структуре которого кластер связан с двумя молекулами γ-CD. Для моделирования взаимодействия между хозяином и гостем выполнены квантово-химические расчеты [52]. Аналогичный комплекс тантала отличается большей устойчивостью (К = 1,5×105 M–1, причем, в отличие от ниобия, в растворе зафиксировано образование аддукта с двумя молекулами циклодекстрина с К = 1.3×105 M–2 [53].
Гидраты M6X14 · 8H2O хорошо растворимы в спиртах, при этом из растворов могут быть выделены продукты состава [M6X12(ROH)6]X2 (M = Nb, Ta; X = Br, Cl; R = CH3, C2H5, i-C3H7, i-C4H9). Комплексы [M6X12(C2H5OH)6]X2 служат стартовыми соединениями для получения галогенидных кластерных комплексов с различными лигандами в безводных растворителях, например [M6X12(DMF)6]X2 (M = Nb, Ta; X = = Cl, Br) [54]. Экстракция Ta6I14 диметилформамидом приводит к образованию зеленого раствора, из которого удалось выделить [Та6I12(DMF)6]I2 (рис. 7) [29].
Титрование метанольного раствора аквакомплексов тантала щелочью в отсутствии кислорода воздуха дает метоксидные комплексы [Ta6Cl12(OCH3)2(CH3OH)4] [55]. Возможно вхождение в координационную сферу большего числа алкоксидных лигандов, о чем свидетельствует выделение [Na(222-crypt)]2 [Na(CH3OH)4]2[Nb6Cl12(OCH3)6] · 7CH3OH [56]. В случае тантала при доступе кислорода воздуха выделены окисленные метилатные комплексы A2[Ta6Cl12(OCH3)6] · 6CH3OH (A = = Li — Rb) [57]. В жестких условиях (115°С) реакции A4[Nb6Cl18] с алкоголятами (CH3ONa, C2H5ONa) в соответствующих спиртах приводят к полному замещению мостиковых галогенидов на алкоксидные с сохранением общей структуры кластерного ядра {Nb6(m-OR)12}4+. В результате выделены и структурно охарактеризованы кластерные комплексы состава [K(CH3OH)4]2[Nb6(OCH3)18] и [Na(18-crown-6)(C2H5OH)2]2[Nb6(OC2H5)12 (NCS)6] [58]. Позднее были получены A2[Nb6(OC2H5)12I6] (A = Ph4P, PPN) [59], а также [Mg(CH3ОН)6][Ta6(CH3О)18] · 6CH3OH и A2[Nb6(OC2H5)12I6] (A = Ph4P, PPN) [60].
Реакции лигандного обмена A4[M6X18], Nb6Cl14 и [(Nb6Cl12)Cl2(H2O)4]Cl2 · 4H2O с тиоцианатами, азидами или цианидами приводят к кластерам состава A4[Nb6X12X’6] ( A = щелочной металл, Х = Cl-, Br-; X’ = NCS-, N3–, CN–), но из-за медленной кинетики замещения протекание этих реакций при комнатной температуре требует длительного времени (иногда до недели) [61, 62]. Отмечается, что кристаллы азидного комплекса Rb4[Nb6Br12(N3)6] · 2H2O взрываются при механическом воздействии или нагревании [63]. В недавней работе описано превращение K4[Nb6Cl18] в (BMIm)4[Nb6Cl12(NCS)6] по реакции с ионной жидкостью (BMIm)NCS (BMIm = 1-бутил-3-метилимидазолий) в ацетонитриле в сольвентотермальных условиях (110°С); и в этих условиях реакция требует нагревания в течение 3 дней. На основе (BMIm)4[Nb6Cl12(NCS)6] был получен координационный полимер состава (BMIm)2(Cu(CH3CN)2)2[Nb6Cl12(NCS)6] · 2CH3CN. В нем образуется трехмерный каркас за счет координации роданидного лиганда по мостиковому типу атомом азота к Nb и атомом серы к Cu+ [64].
Совсем недавно были разработаны простые подходы для получения всей серии цианидных комплексов [Nb6X12(CN)6]4- (X = Cl, Br) и [Ta6X12 (CN)6]4- (X = Cl, Br, I) [65] (стоит не по порядку). Цианиды могут служить для создания координационных полимеров. Например, получен аналог «берлинской лазури» состава (Me4N)2[MnNb6Cl12(CN)6], в структуре которой роль анионов [Fe(CN)6]3– играют топологически сходные анионы [Nb6Cl12(CN)6]4– [66]. На основе [Nb6Cl12(CN)6]4-, [Mn(salen)]+ (salen — N,N’-этилен-бис(салицилиден)иминат) и моноядерных цианидных комплексов ([Fe(CN)6]4–, [Cr(CN)6]3–, [Ni(CN)4]2–, [Fe(CN)5(NO)]2–) получена серия трехмерных координационных полимеров с кубической гранецентрированной решеткой. Они могут быть описаны как аналоги берлинской лазури, в узлах которой находятся чередующиеся кластерные и моноядерные цианидные комплексы, разделенные дитопическими катионами [Mn(salen)]+ [67].
Принудительная сольватация кластерных ядер {M6X12}2+ донорными растворителями может быть достигнута растворением A4[M6X18] в присутствии сильных кислот Льюиса. Описано получение [Nb6Cl12(Py)6][AlCl4]2 и [Nb6Cl12(NMP)6][GaCl4]2 по двухстадийной методике, включающей реакцию A4[Nb6Cl18] (A = K, Rb) с AlCl3 или GaCl3 в ацетонитриле с последующем добавлением в раствор растворителя с более высоким донорным числом (N-метилпирролидона (NMP), пиридина). Очевидно, реакция протекает через промежуточное образование [Nb6Cl12(CH3CN)6]2+ [68].
Взаимодействие гидратов M6Cl14 · (7-8)H2O c триалкилфосфинами приводит к замещению молекул воды на фосфиновые лиганды с образованием (в случае тантала) смесей цис- и транс-изомеров [Ta6Cl12Cl2(PR3)4] (R = C2H5, n-C3H7, n-C4H9), которые разделяют с помощью хроматографии, в то время как для ниобиевых кластеров выделен только транс-изомер [69, 70]. В публикациях почти полувековой давности описан ряд структурно не охарактеризованных комплексов с нейтральными лигандами типа [(M6X12)X2L4] (L = ДМСО, ДМФА, Ph3PO, Ph3AsO, PyNO (Py = пиридин), P(OR)3) [71, 72]. Рациональный подход к синтезу таких аддуктов из аквакомплексов базируется на использовании дегидратирующих агентов, таких как уксусный или пивалевый ангидрид в присутствии лиганда в подходящем растворителе. Таким путем была получена серия [(Nb6Cl12)Cl2L4], где L — пиримидин, N-метилимидазол, изобутиронитрил, изопропанол, Ph3PO, ДМСО. В структурах, по данным РСА, присутствуют исключительно транс-изомеры. С учетом того, что выходы продуктов не достигают количественных, не исключено присутствие цис-изомера в маточных растворах. Лиганд ДМСО координирован через атомы кислорода [73].
Недавно был предложен новый подход к замещению лигандов в аквакомплексах, основанный на реакциях гидратов M6Х14 · (7-8)H2O с ионными жидкостями. Обработка Nb6Cl14 · 8H2O трифторацетатом тетраметилгуанидиния в присутствии трифторуксусного ангидрида для связывания воды при 60°С в течение недели приводит к образованию трифторацетатных комплексов [Nb6Cl12(CF3COO)6]4–, которые кристаллизуются виде солей с ацилированным по иминному атому азота катионом тетраметилгуанидиния [74]. Nb6Cl14 · 8H2O в основных ионных жидкостях на основе имидазола (imH) и минеральной кислоты (HCl, H2SO4, H3AsO4, H2CrO4) превращается в имидазольные комплексы [Nb6Cl12(imH)6]2+, выделенные и структурно охарактеризованные в виде солей с соответствующими анионами [75].
Образование фторидных комплексов [{(NbxTa6–x)Cl12}F6]4– было использовано для характеристики сложной смеси, содержащей гетерометаллические кластеры {NbxTa6-xCl12}2+ с различным соотношением Nb : Ta с помощью ЯМР на ядрах 19F. При этом хроматографически было выделено семь индивидуальных фракций с высокой степенью обогащения по индивидуальной кластерной форме [43]. Дальнейшего развития это направление не получило.
15-ЭЛЕКТРОННЫЕ КЛАСТЕРЫ {M6X12}3+
В бинарных галогенидах Nb6F15, Ta6Br15 и Та6Cl15 кластерные группировки {M6X12}3+ связаны мостиковыми галогенидными лигандами в трехмерные сетки [M6Xi12Xa-a6/2] [5, 76]. Для хлорида тантала была показана возможность электрохимической интеркаляции лития по схеме: Ta6Cl15 + xLi = LixTa6Cl15, где вблизи химического равновесия Тa6Cl15 принимает 1 моль лития с образованием 16-электронного кластера LiNb6Cl15. Обратимая емкость при достаточно высоких потенциалах (2 В) слишком мала, чтобы использовать Ta6Cl15 в качестве анода в Li-ионных батареях. Тем не менее ячейки Li/Ta6Cl15 выдерживают не менее 1500 циклов заряда и разряда [77]. К этому же семейству принадлежит и бромид состава TaBr2.94, строение которого отвечает формуле [{Ta6Br12} Br3{TaBr6}0.86}], т.е. по сути частично окисленному кластеру Ta6Br15. Для ниобия аналогичного соединения не описано [78]. Кластеры {Nb6Cl12}3+ присутствуют в структуре LnNb6Cl18 [9]. Соли Li, Na и Cs также известны [79].
15-Электронные кластерные комплексы обычно получают восстановлением или окислением кластеров {M6X12}4+ и {M6X12}2+ соответственно. Ниобиевые кластеры {Nb6Cl12}3+ образуются при быстрым окислении {Nb6Cl12}2+ кислородом воздуха; дальнейшее окисление до состояния +4 происходит медленно. Напротив, окисление {Ta6Cl12}3+ до {Ta6Cl12}4+ кислородом воздуха происходит достаточно быстро [60]. Контролируемое окисление 16-электронных кластеров {M6X12}2+ (как правило, в кислых средах) с помощью Fe3+, Br2, Cl2 или O2 может быть использовано для получения гидратов [{M6X12}X3(H2O)3] · 3H2O и анионных комплексов [{M6X12}Cl6]3– [26]. Разработана методика синтеза аквакомплексов [{Ta6Cl12}(H2O)6]3+ контролируемым восстановлением гидроксокомплексов [{Ta6Cl12}(OH)6]2– соляной или бромистоводородной кислотами [69]. Аналогичные реакции в метанольных средах позволяют получить [{Ta6Cl12}(CH3OH)6]3+ [50]. Фосфиновые комплексы цис- и транс-[(Ta6Cl12)Cl2(PEt3)4] при окислении NOBF4 образуют катионные комплексы [(Ta6Cl12)Cl2(PEt3)4]+, причем расположение терминальных хлоридных лигандов сохраняется [80]. Перекристаллизация [Ta6Cl12(ROH)6]Cl2 из валеронитрила на воздухе привела к темно-красным кристаллам состава 2[(Ta6Cl12)Cl3(BuCN)3] · [(Ta6Cl12)Cl4(BuCN)2] · BuCN с низким выходом, в которых присутствуют нейтральные молекулярные комплексы [(Ta6Cl12)Cl3(BuCN)3] и [(Ta6Cl12)Cl4(BuCN)2] в соотношении 1 : 1 [81]. Кратко сообщалось о получении [Nb6Cl12(C6H5CN)6](SbCl6)3 [82]. Описаны также комплексы с диметилсульфоксидом состава [(M6Cl12)Cl3(Dmso)3] и (Et4N)2[(Nb6Cl12)Cl5(Dmso)] [55].
Трифлатные комплексы образуются по реакции галогенидных комплексов с метилтрифлатом без изменения окислительного состояния кластерного ядра:
.
Трифлатный комплекс можно получать также реакцией обмена (Bu4N)3[Nb6Cl12Cl6] с AgOSO2CF3 [83]. Трифлатные комплексы легко вступают в реакции лигандного обмена:
(X = Cl, Br, I, NCS).
Для полного замещения необходим избыток галогенида. Аналогичные комплексы тантала получаются в реакциях [Ta6Cl12(SO3CF3)6]2–, но в этом случае часть лиганда расходуется на восстановление кластерного ядра. Для (Bu4N)3 [Nb6Cl12Br6] снят спектр ЭПР в хлористом метилене при комнатной температуре, в котором реально удалось наблюдать лишь 41 линию из 55 ожидаемых для неспаренного электрона, связанного сверхтонким взаимодействием с шестью ядрами 93Nb (I = 9/2).
14-ЭЛЕКТРОННЫЕ КЛАСТЕРЫ {M6X12}4+
Это самое высокое из доступных для данного семейства кластеров состояние окисления может быть достигнуто окислением кластеров {M6X12}2+ хлором или бромом, взятыми в избытке. Нередки случаи, когда окисление медленно протекает при хранении 16- или 15-электронных кластерных комплексов на воздухе. Например, твердыe образцы Ta6Cl14 · 8H2O претерпевают обратимое топотактическое окисление, сопровождающееся переносом протона:
(0 ≤ x ≤ 1.5)
Особенно легко окисляются галогенидные анионные комплексы [{M6X12}X6]2–, а галогенидные комплексы [{M6X12}X6]2–, соответственно, являются наиболее стабильными производными кластеров с ядром {M6X12}4+. В неводных средах окисленные состояния +3 и +4 оказываются стабильнее, чем в водных. Так, реакция [{Nb6Cl12}(H2O)4Cl2]·4H2O с Me4NCl в абсолютном этаноле дает комплекс (Me4N)4[Nb6Cl18], который можно окислить Cl2 в (Me4N)2[Nb6Cl18]. Обработка [{Nb6Cl12}(H2O)4Cl2] · 4H2O SOCl2 в присутствии диэтилового эфира позволяет получить ((Et2O)2H)2[Nb6Cl18] в виде крупных темно-зеленых кристаллов. Необычным макроскопическим свойством вещества является способность к кристаллизации в виде крупных полых трубок длиной в несколько сантиметров и диаметром 2 мм. В катионе ((Et2O)2H)+ две молекулы диэтилового эфира связаны сильной водородной связью с расстоянием О…О 2.439(9) Å. Окислителем в данной реакции выступает SOCl2 [84].
Облучение {Ta6Br12}2+ в деаэрированном солянокислом растворе приводит к фотохимическому окислению кластерного ядра до состояния {Ta6Br12}4+ и образованию Н2. Предполагается, что ключевой этап включает в себя двухэлектронный перенос с ядра {Ta6Br12}2+ к молекуле воды, образование {Ta6Br12}4+ и координированного гидрид-иона H– с последующим взаимодействием гидрид ионов с H+ с образованием H2 [85].
Исходя из галогенидных комплексов получены комплексы с трифлатными лигандами:
.
Однако при попытках заместить трифлат на такие лиганды, как NCS–, Br– и I–, происходит одно- или двухэлектронное восстановление кластерного ядра. Так, реакция (Bu4N)2[Ta6Cl12(OSO2CF3)6] с Bu4NX (X = Cl, Br, I, NCS, CN) сопровождается восстановлением, приводящим к (Bu4N)3[Ta6Cl12X6]. Тенденция к восстановлению кластерного ядра и замещению возрастает в ряду Cl– < Br– < NCS– < I– < CN– [83]. Примечательно, что лишь в реакции с металлорганическим лигандом [CpMn(CO)2(CN)]– замещение не сопровождается восстановлением кластерного ядра и приводит к двенадцатиядерному гетерометаллическому комплексу (Bu4N)2 [(Ta6Cl12)(NC(CO)2MnCp)6], в котором цианидный лиганд выступает в качестве мостикового по отношению к Та (через атом азота) и Mn (через атом углерода) [86].
Из аквакомплекса [(Ta6Br12)Br2(H2O)4] · 4H2O и диметилсульфоксида в HCl был получен нейтральный комплекс [(Ta6Br12)(Dmso)2Cl4] [57] (рис. 8).
Рис. 8. Строение [(Ta6Br12)(Dmso)2Cl4]
ПЕРСПЕКТИВЫ ПРИМЕНЕНИЯ ОКТАЭДРИЧЕСКИХ ГАЛОГЕНИДНЫХ КЛАСТЕРОВ НИОБИЯ И ТАНТАЛА
Октаэдрические галогенидные кластеры, первые представители которых были получены в самом начале 20 века, долгое время оставались лабораторным курьезом, в лучшем случае удостаиваясь упоминания в учебниках для иллюстрации концепции «кластер». Хотя уже почти 100 лет назад было замечено, что водные растворы «Ta6Br14» проявляют свойства неорганического красителя и окрашивают шелк в зеленый несмывающийся цвет [87], развития эта идея не получила. Ранние весьма немногочисленные работы сводились к попыткам инжиниринга кристаллов, содержащих кластерные фрагменты, модификации поверхностей, интеркаляции в слоистые матрицы, получение солей с проводящей катионной подрешеткой. Они подробно суммированы в обзоре [1]. Лишь с начала XXI столетия обозначились практически значимые области применения, что в первую очередь связано с гетерогенным катализом и фотокатализом.
ГЕТЕРОГЕННЫЙ КАТАЛИЗ
Исследовательская группа из Японии под руководством Т. Тихара и С. Камигути опубликовала серию работ, посвященных изучению каталитической активности галогенидных кластеров ниобия и тантала. В работе использовались [(М6Х12)Х2(H2O)4] · 4H2O (M = Nb, Ta; X = Cl, Br), которые активировали с помощью высокотемпературной дегидратации. При этом кластерное ядро останется интактным, а атомы металла с вакансией вместо терминальных лигандов выступают в качестве каталитических центров. Сохранение кластерного ядра было подтверждено с помощью рентгеновской дифракции, спектрометрии КР и анализом дальней тонкой структуры рентгеновских спектров поглощения (EXAFS). Появление активных центров подтверждено методами термогравиметрически-дифференциального термического анализа (ТГ–ДТА), инфракрасной спектрометрии (ИК), инфракрасного спектра адсорбированного пиридина, адсорбции монооксида углерода, титрования кислоты индикаторами Гаммета и элементного анализа. Активация кластера проводилась нагреванием при 200–400°С в течении часа в токе гелия или азота. Конечными продуктами дегидратации оказались [{М6Cl11(OH)}(OH)2(H2O)] и [{М6Cl11(O)}(OH)(H2O)2] [88].
При дегидратации на начальном этапе происходит замещение одного из мостиковых хлоридных лигандов на OH– c отщеплением HCl, и возникают два типа активных центров: кислотно-основные центры Бренстеда и координационно-ненасыщенный центр при атоме металла за счет удаления молекулы воды (схема 1). Мостиковый гидроксид за счет повышенной кислотности представляет собой сильную кислоту Бренстеда, в то время как сопряженное основание — мостиковый оксидный лиганд — может выступать в качестве основного катализатора [89]. Такие катализаторы эффективны в разнообразных реакциях, таких как дегидрирование спиртов, изомеризация, алкилирование и ацилирование тиолов, циклизации, пиролиз и др. [90–94].
Схема 1. Образование каталитических центров при термической обработке [(М6Х12)Х2(H2O)4] · 4H2O
В реакциях дегидрирования первичных и вторичных спиртов измельченные и просеянные (150–200 меш) образцы [(M6Cl12)Cl2(H2O)4] · · 4H2O активировали при 300°C в токе гелия в течение часа. Далее вводили спирт в поток гелия без изменения температуры. В случае дегидратации этанола на ниобиевом кластере каталитическая активность проявлялась в температурном интервале 225–350°С, причем максимальная активность достигалась при 300–330°С. Основным продуктом был этилен. Селективность по диэтиловому эфиру снижается с повышением температуры. Кластерный бромид ниобия [(Nb6Br12)Br2(H2O)4] · 4H2O также проявил каталитическую активность, причем основным продуктом при 300°С был этилен. Результаты экспериментов для ряда спиртов представлены в табл. 1.
Таблица 1. Дегидрирование спиртов над галогенидными кластерамиа
Спирт | Катализатор | Конверсия (%)b | Селективность, %c | |||
1-олефины | цис-2-олефины | транс-2-олефины | др.d | |||
Пропанол-1 | [{Nb6Cl12}Cl2(H2O)4]·4H2O | 61.3 | 97.7 | 0 | 0 | 2.3 |
[{Ta6Cl12}Cl2(H2O)4]·4H2O | 9.0 | 98.9 | 0 | 0 | 1.1 | |
Бутанол-1 | [{Nb6Cl12}Cl2(H2O)4]·4H2O | 27.6 | 56.2 | 26.1 | 14.6 | 3.1 |
Пентанол-1 | [{Nb6Cl12}Cl2(H2O)4]·4H2O | 4.8 | 53.0 | 26.2 | 17.4 | 3.4 |
Пропанол-2 | [{Nb6Cl12}Cl2(H2O)4]·4H2O | 100.0 | 99.9 | 0 | 0 | 0.1 |
[{Ta6Cl12}Cl2(H2O)4]·4H2O | 16.2 | 99.7 | 0 | 0 | 0.3 | |
Бутанол-2 | [{Nb6Cl12}Cl2(H2O)4]·4H2Oe | 73.6 | 25.5 | 40.2 | 34.2 | 0.1 |
а После активации кластера (30 мг) в потоке гелия (1.2 л/ч) при 300° С в течение 1 ч.
b Конверсия = продукты/(продукты + восстановленный спирт) ×100% (через 5 ч после начала реакции).
c Конверсия = продукт/смесь продуктов ×100% (через 5 ч после начала реакции).
d Эфиры и ацетали не образуются.
e Масса катализатора 10 мг.
Весьма подробно были изучены реакции каталитического алкилирования тиолов алкилирующими реагентами разных типов — спиртами, простыми и сложными эфирами, карбонатами, ортоэфирами, алкилагогенидами, олефинами [95].
В качестве тиола использовался фенилмеркаптан C6H5SH. В реакции с метанолом в присутствии нанесенного на SiO2 хлорида ниобия [(Nb6Cl12)Cl2(H2O)4] · 4H2O практически никакой каталитической активности не наблюдалось ниже 200°C. Каталитическая активность развивается выше 250°С и увеличивается с повышением температуры, достигая максимума при 400°С с образованием почти исключительно метилфенилсульфида. Побочными реакциями были сочетание фенилмеркаптана с образованием дифенилсульфида и дифенилдисульфида с селективностью 0,2 и 1,8% соответственно. Частота оборота катализатора (TOF) в течение 2–4 ч при 400°С составила 95,6 ч–1, если предположить, что все молекулы кластера активны. В реакцию с фенилмеркаптаном вводили также алифатические спирты C(2)–C(6) при 400°С. Во всех случаях происходило S-алкилирование, при этом чем длиннее алкильная цепь спирта, тем ниже реакционная способность и селективность по отношению к алкилфенилсульфиду. При использовании первичных спиртов разветвленные алкилсульфиды практически не образовывались. Алкильные катионы, по-видимому, не образуются в качестве промежуточных продуктов. Реакционная способность вторичного спирта была низкой, а третичный спирт не вступал в реакцию.
Простые эфиры с алкильными группами C(2)–C(4) были также протестированы как алкилирующие агенты для C6H5SH в присутствии [(Nb6Cl12)Cl2(H2O)4] · 4H2O/SiO2 при 400°С. Более короткие алкильные цепи проявляют более высокую селективность в отношении образования алкилфенилсульфида. Несимметричный эфир дает два соответствующих алкилфенилсульфида, предпочтительно с более короткой алкильной цепью. Реакционная способность простых эфиров была выше, чем у спиртов для тех же алкильных групп.
В аналогичных условиях реакции с диметил- и диэтилкарбонатом также давали соответствующие алкилфенилсульфиды с высокой селективностью. Реакционная способность карбонатов была намного выше реакционной способности спиртов или простых эфиров. В случае несимметричного карбоната были получены два ожидаемых алкилфенилсульфида, причем преобладал более алкилфенилсульфид с более короткой алкильной цепью. При использовании метил- и этилортоформиата при 400°С над ниобиевым кластером конверсия составила 93%, а селективность — 94%. При использовании ацетатов в аналогичных условиях основной реакцией является S-ацетилирование: метил, этил и пропилацетат образуют S-фенилтиоацетат с селективностью 50–75% [96].
Терминальные алкилгалогениды C(4)–C(6) также выступают как алкилирующие агенты. В реакции 1-хлорбутана с С6H5SH до 300°С был получен бутилфенилсульфид с селективностью 58%. Чем длиннее алкильная цепь хлоралкана, тем ниже как конверсия, так и селективность алкилирования. Бромоалканы также оказались эффективными реагентами. Реакционная способность бромида аналогичным образом снижается с увеличением длины алкильной цепи. Во всех случаях образовывалось незначительное количество вторичных алкилфенилсульфидов или они вообще не образовывались.
При использовании олефинов как алкилирующих агентов ниже 150°C реакции протекали одинаково как в присутствии, так и в отсутствие [(Nb6Cl12)Cl2(H2O)4] · 4H2O/SiO2 с образованием в основном дифенилдисульфида. Выше 200°C реакционная способность 1-гексена возрастала как в присутствии, так и в отсутствие катализатора, и реакция переключалась на S-алкилирование с образованием н-гексилфенилсульфида. При более высоких температурах [(Nb6Cl12)Cl2(H2O)4] · · 4H2O/SiO2 оказался эффективным катализатором алкилирования. Образования разветвленного алкилфенилсульфида не обнаружено.
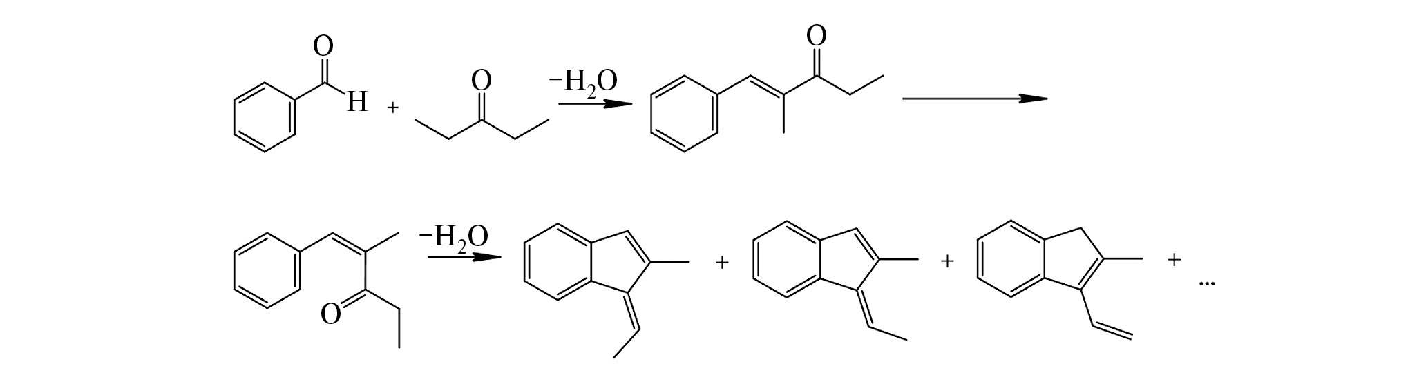
В реакциях бензальдегида с кетонами, катализируемых активированным [(Ta6Cl12)Cl2(H2O)4] · · 4H2O/SiO2, наблюдалось образование инденов согласно предлагаемой схеме (схема 2) [97].
Схема 2. Образование инденов из бензальдегида и 3-пентанона
Выходы продуктов для разных кетонов сопоставлены в табл. 2.
Таблица 2. Реакции кетонов с бензальдегидом над [{Ta6Cl12}Cl2(H2O)4] · 4H2O/SiO2a
Кетон | Конверсия, % | Селективность, % | |||
E-C6H5CHCR1COR2 | Индены | C6H5R (R=H, CH3, CHCH3) | Прочие | ||
Ацетон | 23.3 | 72.3 (R1=H, R2=CH3) | 6.4b | 16.3 | 5.0 |
Бутанон | 8.4 | 9.6 (R1=H, R2=C2H5) | 23.4c | 47.9 | 19.1 |
2-пентанон | 13.8 | 17.9 (R1=H, R2=C3H7) | 31.4d | 15.7 | 16.0 |
3-пентанон | 29.7 | 0.0 (R1=CH3, R2=C2H5) | 78.4e | 10.2 | 11.4 |
3,3-диметил-2-бутанон (6) | 20.0 | 81.1 (R1=H, R2=tBu) | 0.0 | 8.1 | 10.8 |
Е-4-фенил-3-бутен-2-он (3а)f | 21.6 | 35.8g | 13.9 | 50.3h | |
аПосле активации кластера (100 мг, 2.9 мкмоль) в токе гелия (300 мл/ч) при 400°С в течение 1 ч реакция начиналась с введения кетона (0.575 ммоль/ч) и бензальдегида (58 мл/ч, 0.57 ммоль/ч) в поток без изменения температуры. Анализ проводили через 3 ч после начала реакции.
b1-метиленинден (2.2%) и 3-метилинден (4.2%).
c2-метил-1-метиленинден (4.5%) и 2,3-диметилинден (18.9%).
d2-этил-1-метиленинден (13.6%) и 2-этил-3-метиленинден (17.8%).
eZ-1-этилиден-2-метилинден (45.9%), Е-1-этилиден-2-метилинден (14.7%), 2-метил-3-винилиден (6.1%) и 3-этил-2-метилинден (11.7%).
fраствор бутилового эфира (15%) в отсутствии бензальдегида.
g1-метиленинден (3.5%) и 3-метилинден (32.3%).
h4-фенил-2-бутанон, 1-фенил-1-бутен, нафталин и т.д.
Каталитическая система [(Ta6Cl12)Cl2(H2O)4] · · 4H2O/SiO2 катализирует многочисленные реакции циклизации (табл. 3).
Таблица 3. Внутримолекулярная циклизация над [{Ta6Cl12}Cl2(H2O)4] · 4H2O/SiO2
Реагент | Конверсия, % | Продукт | Селективность, % |
26.3 | 91.0 | ||
100.0 | 98.9 | ||
99.7 | 1.1 | ||
99.9 | 99.9 | ||
9.7 | 73.0 (1.7 для бензофурана) | ||
100.0 | 96.9 (2.3 для индола) | ||
99.6 | 94.3 (4.5 для изоиндола) | ||
56.8 | 61.8 (10.9 для бензотиофена) |
В реакцию также были вовлечены простые α,ω-дизамещенные алифатические соединения, содержащие группы –OH, –SH или –NH2 (схема 3). Циклизация HR(CH2)nRH (R = O, S или NH; n = 4–6) до (CH2)nR с отщеплением H2R протекает селективно на галогенидных кластерных катализаторах при ≥200°С [98, 99].
Схема 3. Циклизация α,ω-дизамещенных алифатических соединений
Термически активированный в атмосфере гелия гидрат [(Nb6Cl12)Cl2(H2O)4] · 4H2O катализирует пиролиз фенилацетата выше 200°C. Активность достигает максимума при 300°C. Продуктами являются исключительно фенол и кетен. Аналогичную каталитическую активность проявляют бромидный кластер [(Nb6Br12)Br2(H2O)4] · 4H2O и хлоридный кластер тантала [(Ta6Cl12)Cl2(H2O)4] · 4H2O.
ФОТОКАТАЛИЗ
Облучение {Ta6Br12}2+ в деаэрированном солянокислом растворе приводит к фотохимическому окислению кластерного ядра до состояния {Ta6Br12}4+ и образованию диводорода [85]. Фотолиз {Ta6Br12}2+ осуществляется эффективнее, если использовать более кислую среду и более коротковолновое излучение. Так, квантовый выход фотохимической реакции в 1M растворе HCl возрастает на два порядка (с 10–4 до 10–2) при переходе с 640 на 254 нм. В этом же исследовании предложен механизм, согласно которому фотовозбужденное кластерное ядро {Ta6Br12}2+ претерпевает двухэлектронное окисление протоном. Образуются координированные гидрид-ионы, которые с протонами среды образуют водород, а компропорционирование {Ta6Br12}2+ с {Ta6Br12}4+ приводит к {Ta6Br12}3+ [85]. Эта фотохимическая реакция является не каталитическим, а стехиометрическим процессом.
Фотокаталитический процесс был реализован с использованием метанола, уксусной и молочной кислот в качестве жертвенных доноров электронов (D) и HBr и H3PO4 в качестве источников протонов. Источником света выступала ксеноновая лампа. Схема каталитического цикла представлена на схеме 4.
Схема 4. Схема каталитического цикла фотохимического окисления кластерного ядра {Ta6Br12}
Оптимальной комбинацией с точки зрения выхода H2 и устойчивости кластера оказалось сочетание метанола и HBr было признано оптимальным. С помощью методологии поверхности отклика были установлены оптимальные концентрации метанола (4,83 М) и HBr (0.7 M). Увеличение концентрации кислоты вызывает выпадение кластера в осадок с одновременным снижением выделения водорода. Оптимальные концентрации MeOH и HBr составляют 4,83 и 0,7 моль/л соответственно. Выход Н2 составил 442 мкмоль/г ч, а частота оборота катализатора — 0.3 мс–1 [100]. На данный момент, это самая высокая производительность в реакции выделения водорода (HER — hydrogen evolution reaction), достигнутая на материалах на основе соединений тантала.
Гетерогенно-каталитический вариант был реализован в работе [101], в которой были получены наноструктурированные гибридные материалы нанесением кластера из раствора [{Ta6Br12}Br2(H2O)4] · 4H2O в тетрагидрофуране на оксид графена. Закрепление происходит за счет координации кластерных групп {Ta6Br12}2+ к карбоксилатным и гидроксильным группам оксида графена, как следует из данных ИК- и КР-спектров. Эти наногибриды показали более высокие выходы в гетерогенных реакциях фотовосстановления водорода из газовой фазы водяной пар — метанол — HBr, чем взятые по отдельности компоненты. Усиление фотокаталитического эффекта объясняется тем, что координационная иммобилизация кластера на поверхности оксида графена способствует переносу электрона из фотовозбужденного кластера в p-систему графеноксида (рис. 9).
Рис. 9. Энергетическая диаграмма переноса электрона с орбитали НСМО [{Ta6Br12}Br2(H2O)4] в p-систему графеноксида
Лучшая каталитическая эффективность соответствует материалу с 20% по массе загрузкой [{Ta6Br12}Br2(H2O)4] · 4H2O. Стоит подчеркнуть, что хотя достигнутая активность катализатора (4 мкмоль г–1 ч–1) имеет тот же порядок величины, что и активность других танталовых фотокатализаторов, таких как MTaO3 (M = Li, Na, Mg) и танталаты MTa2O6 (M = Mg, Ba) [102], эта величина существенно (на два порядка) уступает активности, достигнутой в гомогенно-каталитическом варианте. Достоинством гетерогенного варианта является то, что не происходит падения каталитической активности в течении трех последовательных циклов по 24 часа.
БИОМЕДИЦИНСКИЕ ПРИМЕНЕНИЯ
Рентгеновская компьютерная томография является важный инструментом визуализации внутренних органов в клинических исследованиях. Подбор контрастных агентов, систем визуализации, схем сбора данных и стратегии анализа изображений позволяют осуществлять визуализацию за счет ослабления рентгеновских лучей в изучаемом органе и появления сигнала на компьютерной томограмме. На сегодняшний день иод (Z = 53) остается наиболее используемым элементом в клинической практике, и коммерческие контрастные агенты представляют собой иодорганические соединения. Тантал имеет K-край поглощения при 67 кэВ и обладает высоким коэффициентом ослаблением рентгеновских лучей, обеспечивая больший контраст по сравнению с иодом [103]. Благодаря этим свойствам кристаллизация с [{Ta6Br12}Br2(H2O)4] · · 4H2O использовалась для определения фазы изоморфных производных белков в биомакромолекулярной кристаллографии [104]. Тантал также является нетоксичным абиогенным элементом. Предложены рентгеноконтрастные препараты на основе наночастиц металлического тантала, Ta2O5 и LaTaO4 [105, 106]. В связи с этим привлекательной представляется возможность использования иодидных кластеров тантала {Ta6I12}2+, сочетающих в одном кластерном ядре 18 тяжелых атомов (6Ta + 12I), в качестве рентгеноконтрастных средств. Однако аквакомплекс [Ta6I12(H2O)6]2+ нестабилен в водной среде и деградирует в течение нескольких дней с образованием Ta2O5. Присутствие полистиролсульфоната повышает стабильность кластера за счет образования частиц стехиометрии Na[Та6I12(H2O)6](C7H7SO3)3, имеющих микронные размеры. При их редиспергировании в воде образуются коллоидные растворы, обладающие высокой рентгеновской плотностью, в 8 раз превосходящей таковую для стандартного коммерческого препарата — йогексола [29].
В связи с этим встает вопрос о потенциальной токсичности октаэдрических кластеров {M6X12}. Для кластеров тантала данные о токсичности отсутствуют, а для аквакомплекса [{Nb6Cl12}(H2O)6]2+ была изучена цитотоксичность по отношению к раковым клеткам эпителия человека линии Нер-2. Показано, что кластер проникает через мембрану в клетку, где способен проникать в ядро и митохондрии и связываться с ДНК. Цитотоксичность обусловлена способностью кластера генерировать активные формы кислорода, видимо, за счет окислительно-восстановительных реакций. Интересно, что присутствие g-циклодекстрина снижает цитотоксичность кластера, несмотря на усиление клеточного поглощения. Способность кластера проникать во внутренние структуры клетки можно использовать для доставки различных биологически активных молекул, предварительно координированных к кластерному ядру [52]. Вопрос о том, насколько эти результаты можно экстраполировать на поведение рентгеноконтрастных наночастиц Na[Та6I12(H2O)6](C7H7SO3)3, остается открытым.
ФИЛЬТРЫ ДЛЯ УФ- И БЛИЖНЕГО ИК-ИЗЛУЧЕНИЯ
Концепция новых современных материалов энергосбережения для экологически чистого строительства требует поиска материалов, прозрачных в видимом диапазоне длин волн и позволяющих управлять солнечным светом и передачей тепла. Следовательно, необходимо найти блокаторы УФ-излучения, задерживающие излучение в диапазоне 300–400 нм, которое разлагает органические вещества, включая строительные полимеры, с образованием вредных летучих органических соединений. С другой стороны, ближние ИК-лучи (700–3000 нм) ответственны за тепловое излучение. Эффективный контроль пропускания окнами солнечной энергии оптимизирует таким образом работу систем кондиционирования воздуха. Поскольку обычные стекла и полимеры, используемые в зданиях, не отражают и не поглощают ближнее ИК-излучение, требуются специальные солнцезащитные покрытия. Октаэдрические кластеры ниобия и тантала обладают богатыми многополосными электронными спектрами поглощения, которые захватывают УФ-, видимую и ближнюю ИК-области. Кроме того, кластеры способны обратимо переключаться между тремя состояниями окисления, что в перспективе позволяет создавать переключаемые фильтры, поскольку окислительно-восстановительные переходы сопровождаются характерными изменениями электронных спектров поглощения. Эта концепция была реализована в работах французской группы С. Кордье путем замены катиона калия в K2[Ta6Br18] на додецил-11-(метакрилоилокси)ундецил)диметиламмоний. Этот катион несет метакрилатные группы, и полученная соль может быть сополимеризована с метилметакрилатом. Таким образом, были получены полимерные пленки с включенным кластерным анионом. Эти пленки демонстрируют свойства фильтров для УФ- и ближнего ИК-излучения, причем максимумы поглощения зависят от зарядового состояния аниона [Ta6Br18]2– или [Ta6Br18]4-. Дальнейшая настройка может быть обеспечена, например, заменой части атомов тантала в кластере на атомы ниобия [107]. Действительно, [{Nb5TaCl12}Cl6]4– обладает интенсивным поглощением, подходящим для применения в системах контроля солнечной активности, которое комплементарно оксиду индия-олова (ITO) Интегрированный в поливинилпирролидон (ПВП) и осажденный на ITO кластер дает композитное стекло, которое позволяет фильтровать самые активные компоненты УФ- и ближних ИК-волн. Недостатком пока является то, что матрица ПВП водорастворима и демонстрирует плохие механические свойства [108].
В заключение отметим, что за четверть века с момента написания обзора [1] наблюдается устойчивый рост интереса к химии галогенидных кластеров ниобия и тантала. За это время впервые обозначились области возможного применения таких соединений, которые включают катализ и фотокатализ, получение рентгеноконтрастных препаратов, фильтров для УФ- и ближнего ИК-изучения, химических источников тока. Обладая высоким синтетическим и прикладным потенциалом, кластерные галогениды ниобия и тантала внесут весомый вклад в развитие координационной химии.
Авторы заявляют, что у них нет конфликта интересов.
БЛАГОДАРНОСТИ
Авторы благодарят за поддержку Министерство науки и высшего образования Российской Федерации (№ 121031700313-8).
About the authors
M. V. Shamshurin
Nikolaev Institute of Inorganic Chemistry of the Siberian Branch of the Russian Academy of Sciences
Email: caesar@niic.nsc.ru
Russian Federation, Novosibirsk
M. N. Sokolov
Nikolaev Institute of Inorganic Chemistry of the Siberian Branch of the Russian Academy of Sciences
Author for correspondence.
Email: caesar@niic.nsc.ru
Russian Federation, Novosibirsk
References
- Prokopuk N., Shriver D.F. // Adv. Inorg. Chem. 1998. V. 56. P. 1.
- Artelt H.M., Meyer G. // Z. Kristallogr. Cryst. Mater. 1993. V. 206. № 2. P. 306.
- Simon A., Georg Schnering H., Wöhrle H., Schäfer H. // Z. Anorg. Allg. Chem. 1965. V. 339. № 3–4. P. 155.
- Lin Z., Williams I.D. // Polyhedron. 1996. V. 15. № 19. P. 3277.
- Schäfer H., Gerken R., Scholz H. // Z. Anorg. Allg. Chem. 1965. V. 335. № 1–2. P. 96.
- Schäfer H., Dohmann K.-D. // Z Anorg Allg Chem. 1959. V. 300. № 1–2. P. 1.
- Schäfer H., Schnering H.G., Niehues K.J., Nieder-Vahrenholz H.G. // J. Less. Comm. Met. 1965. V. 9. № 2. P. 95.
- Von Schnering H.G., Vu D., Jin S.L., Peters K. // Z. Kristallogr. 1999. V. 214. № 1. P. 15.
- Habermehl K., Mudring A., Meyer G. // Eur. J. Inorg. Chem. 2010. P. 4075.
- McCarley R.E., Boatman J.C. // Inorg. Chem. 1965. V. 4. P. 1486.
- Hughes B.G., Meyer J.L., Fleming P.B., McCarley R. // Inorg Chem. 1970. V. 9. № 6. P. 1343.
- Sokolov M.N., Abramov P.A., Mikhailov M. A. et al. // Z. Anorg. Allg. Chem. 2010. V. 636. № 8. P. 1543.
- Shamshurin M.V., Abramov P.A., Mikhaylov M.A., Sokolov M.N. // J. Struct. Chem. 2022. V. 63. № 1. P. 81.
- Womelsdorf H., Meyer H.-J., Lachgar, A. // Z. Anorg. Allg. Chem. 1997. V. 623. № 1–6. P. 908.
- Baján B., Meyer H. // Z. Anorg. Allg. Chem. 1997. V. 623. № 1–6. P. 791.
- Ströbele M., Meyer H-J. // Z. Naturforsch. 2001. 56b. P. 1025.
- Lachgar A., Meyer H.-J. // J Solid State Chem. 1994. V. 110. № 1. P. 15.
- Womelsdorf H., Meyer H.-J. // Z Kristallogr Cryst Mater. 1995. V. 210. № 8. P. 608.
- Duraisamy T., Hay D. N., Messerle L. et al. // Inorg. Synth. 2014. V. 36. P. 1.
- Whittaker A.G., Mingos D.M.P. // Dalton Trans. 1995. № 12. P. 2073.
- Sitar J., Lachgar A., Womelsdorf H. et al. // J. Solid State Chem. 1996. V. 122. № 2. P. 428.
- Nägele A., Anokhina E., Sitar J. et al. // Z. Naturforsch. B. 2000. V. 55. № 2. P. 139.
- Duraisamy T., Lachgar A. // Acta Crystallogr. C. 2003. V. 59. № 4. P. 127.
- Duraisamy T., Qualls J.S., Lachgar A. // J. Solid State Chem. 2003. V. 170. № 2. P. 227.
- Cordier S., Perrin C., Sergent M. // Z. Anorg. Allg. Chem. 1993. V. 619. № 4. P. 621.
- Ramlau R., Duppel V., Simon A. et al. // J. Solid State Chem. 1998. V. 141. № 1. P. 140.
- Cordier S., Perrin C., Sergent M. //J. Solid State Chem. 1995. V. 118. №. 2. P. 274.
- Kòrösy., F. // J. Am. Chem. Soc. 1939. V. 61. № 4. P. 838.
- Shamshurin M. V., Mikhaylov M. A., Sukhikh T. et al. // Inorg Chem. 2019. V. 58. № 14. P. 9028.
- Bauer D., Schnering H.G., Schäfer H. // J. Less Comm. Met. 1968. V. 14. № 4. P. 476.
- Sägebarth M., Simon A. // Z. Anorg. Allg. Chem. 1990. V. 587. № 1. P. 119.
- Cordier S., Hernandez O., Perrin C. // J. Fluorine Chem. 2001. V. 107. № 2. P. 205.
- Cordier S., Simon A. // Solid State Sci. 1999. V. 1. №. 4. P. 199.
- Cordier S., Hernandez O., Perrin C. //J. Solid State Chem. 2001. V. 158. № 2. P. 327.
- Cordier S., Hernandez O., Perrin C. //J. Solid State Chem. 2002. V. 163. №.. 1. P. 319.
- Cordier S., Perrin C. //J. Solid State Chem. 2004. V. 177. № 3. P. 1017.
- Mingos. D.M P. // Acc. Chem. Res. 1984. V. 17. № 9. P. 311.
- Robin M.B., Kuebler N.A. // Inorg. Chem. 1965. V. 4. № 7. P. 978.
- Cotton F.A., Haas T.E. // Inorg. Chem. 1964. V. 3. № 1. P. 10.
- Schott E., Zarate X., Arratia-Pérez R. // Polyhedron. 2012. V. 36. № 1. P. 127.
- Shamshurin M.V., Martynova., S.A., Sokolov.M.N. et al. // Polyhedron. 2022. V. 226. P. 116107.
- Juza D., Schäfer H. // Z. Anorg. Allg. Chem. 1970. V. 379. № 2. P. 122.
- Perrin C., Ihmaine S., Sergent M. // New J. Chem. 1988. V. 12. № 6–7. P. 321.
- Cordier S., Perrin C., Sergent M. // Z. Anorg. Allg. Chem. 1993. V. 619. № 4. P. 621.
- Ihmaïne S., Perrin C., Peña O. et al. // Physica. B. 1990. V. 163. P. 615.
- Schäfer H., Spreckelmeyer B. // J. Less-Comm. Met. 1966. V. 11. № 1. P. 73.
- Vojnović M., Antolić S., Kojić‐Prodić B. et al. // Z. Anorg. Allg. Chem. 1997. V. 623. № 8. P. 1247.
- Simon A., von Schnering H.-G., Schäfer H. // Z. Anorg. Allg. Chem. 1968. V. 361. № 5–6. P. 235.
- Koknat F. W., McCarley R. E. // Inorg. Chem. 1972. V. 11. P. 812.
- Wilmet M., Lebastard C., Sciortino F. et al. // Dalton Trans. 2021. V. 50. P. 8002.
- Kamiguchi S., Watanabe M., Kondo K. et al. // J. Mol. Cat. A. 2003. V. 203. P. 153.
- Ivanov A.A., Pozmogova T.N., Solovieva A.O. et al. // Chem. Eur. J. 2020. V. 26. P. 7479. https://doi.org/10.1002/chem.202000739.
- Moussawi M.A., Leclerc-Laronze N., Floquet S. et al. // J. Am. Chem. Soc. 2017. V. 139. P. 12793.
- Širac S., Planinić P., Marić L. et al. // Inorg. Chim. Acta. 1998. V. 271. № 1–2. P. 239.
- Brničevič N., Nothig-Hus D., Kojic-Prodic B. et al. // Inorg. Chem. 1992. V. 31. № 19. P. 3924.
- Beck U., Simon A., Brničević N. et al. // Croat Chem Acta. 1995. V. 68. P. 837.
- Brničevič N., Muštovič F., McCarley R.E. // Inorg Chem. 1988. V. 27. P. 4532.
- Flemming A., Köckerling M. // Angew. Chem. Int. Ed. 2009. V. 48. P. 2605.
- Schröder F., Köckerling M. // J. Clust. Sci. 2022. V. 22. Р. 1.
- Schröder F., Köckerling M. // Z. Anorg. Allg. Chem. 2021. V. 647. P. 1625.
- Reckeweg O., Meyer H. // Z. Anorg. Allg. Chem. 1996. V. 622. № 3. P. 411.
- Naumov N.G., Cordier S., Perrin C. // Solid State Sci. 2003. V. 5. № 10. P. 1359.
- Meyer H.-J. // Z Anorg Allg Chem. 1995. V. 621, № 6. P. 921.
- Pigorsch A., Köckerling M. // Cryst Growth Des. 2016. V. 16, № 8. P. 4240.
- Shamshurin M., Gushchin A., Adonin S. et al. // Inorg. Chem. 2022. V. 61. № 42. P. 16586.
- Yan B., Zhou H., Lachgar A. // Inorg Chem. 2003. V. 42. № 26. P. 8818.
- Zhang J.-J., Lachgar A. // Inorg Chem. 2015. V. 54. № 3. P. 1082.
- Fleming A., König J., Köckerling M. // Z. Anorg. Allg. Chem. 2013. V. 639. P. 2527.
- Klendworth D.D., Walton R.A. // Inorg. Chem. 1981. V. 20. P. 1151.
- Field R.A., Kepert D.L. // J. Less Comm. Met. 1967. V. 13. № 4. P. 378.
- Imoto H. Hayakawa S., Morita N., Saito T. // Inorg Chem. 1990. V. 29. № 10. P. 2007.
- Field R.A., Kepert D.L., Robinson B.W. et al. // Dalton Trans. 1973. V. 18. P. 1858.
- Sperlich E., König J., Weiβ D.H. et al. // Z. Anorg. Allg. Chem. 2019. V. 645. P. 233.
- Weiβ D.H., Schröder F., Köckerling M. // Z. Anorg. Allg. Chem. 2017. V. 643. P. 345.
- Sperlich E., Köckerling M. // ChemistryOpen. 2021. V. 10. P. 248.
- Von Schnering H.G., Vu D., Jin S.L. et al. // Z. Kristallogr. 1999. V. 214. № 1. P. 15.
- Kuhn A., Dill S., Meyer H.J. // Z. Anorg. Allg. Chem. 2005. V. 631. № 9. P. 1565.
- Espenson J.H., Boone D.J. // Inorg. Chem. 1968. V. 7. № 4. P. 636.
- Jacobson R.A., Thaxton C.B. // Inorg. Chem. 1971. V. 10. № 7. P. 1460.
- Mikhailov M.A. Octahedral cluster niobium, tantalum, molybdenum, and tungsten halide complexes: Cand. Sci. (Chem.) Dissertation, Novosibirsk: Institute of Inorganic Chemistry, Siberian Branch of the Russian Academy of Sciences, 2013.
- Klendworth D.D., Walton R.A. // Inorg. Chem. 1981. V. 20. № 4. P. 1151.
- Beck U., Simon A., Širac S. et al. // Z. Anorg. Allg. Chem. 1997. V. 623. № 1. P. 59.
- Prokopuk N., Weinert C. S., Kennedy V. O. et al. // Inorg. Chim. Acta. 2000. V. 300. P. 951.
- König J., Köckerling M. // Chem. Eur. J. 2019. V. 25. № 61. P. 13836.
- Vogler A., Kunkely H. // Inorg. Chem. 1984. V. 23. № 10. P. 1360.
- Prokopuk N., Kennedy V.O., Stern C.L. et al. // Inorg. Chem. 1998. V. 37. № 19. P. 5001.
- Chapin W. H. // J. Am. Chem. Soc. 1910. V. 32. № 3. P. 323.
- Kamiguchi S., Nagashima S., Chihara., T. // Metals. 2014. V. 4. P. 84.
- Kamiguchi S., Nishida S., Kurokawa H. et al. // J. Mol. Catal. A. 2005. V. 226. P. 1.
- Nagashima S., Kamiguchi S., Chihara T. // Metals. 2014. V. 4. P. 235.
- Кamiguchi S., Noda M., Miyagishi Y. et al. // J. Mol. Catal. A. 2003. V. 195. P. 159.
- Nagashima S., Kamiguchi S., Ohguchi S. et al. // J. Clust. Sci. 2011. V. 22. P. 647.
- Kamiguchi S., Takahashi I., Kurokawa H. et al. // Appl. Catal. A. 2006. V. 309. P. 70.
- Kamiguchi S., Nakamura A., Suzuki A. et al. // J. Catal. 2005. V. 230. P. 204.
- Nagashima S., Kudo K., Yamazaki H. et al. // Appl. Catal. A. 2013. V. 450. P. 50.
- Nagashima S., Yamazaki H., Kudo K. et al. // Appl. Catal. A. 2013. V. 464. P. 332.
- Kamiguchi S., Nishida S., Takahashi I. et al. // J. Mol. Catal. A. 2006. V. 255. P. 117.
- Nagashima S., Kamiguchi S., Kudo K. et al. // Chem. Lett. 2011. V. 40. P. 78.
- Nagashima S., Sasaki T., Yamazaki H. Proceedings of the 7th International Symposium on Acid-Base Catalysis. Tokyo (Jpn): 2013. PA-051.
- Hernández J. S., Guevara D., Shamshurin M. et al. // Inorg. Chem. 2023. V. 62. № 46. P. 19060.
- Hernández J.S., Shamshurin M., Puche M. et al. // Nanomaterials. 2022. V. 12. P. 3647.
- Kato H., Kudo A. // Chem. Phys. Lett. 1998. V. 295. P. 487.
- Butts M.D., Torres A.S., Fitzgerald P.F. et al. // Invest. Radiol. 2016. V. 51. P. 786.
- Dahms S.O., Kuester M., Streb C. et al. // Acta Crystallogr. D. 2013. V. 69. P. 284.
- Zuev M.G., Larionov L.P. Tantalovye Rentgenokontrastnye Veshchestva (Tantalum X-Ray Constrast Compounds). Ekaterinburg: UrO RAN, 2002.
- Chakravarty S., Hix J.M.L., Wiewiora K.A. et al. // Nanoscale. 2020. V. 12. P. 7720.
- Lebastard C., Wilmet M., Cordier S. et al. // Nanomaterials. 2022. V. 12. P. 2052.
- Lebastard C., Wilmet M., Cordier S. et al. // Sci. Tech. Adv. Mater. 2022. V. 23. P. 446.
Supplementary files































